Перейти к:
Снижение частоты сердечно-сосудистых заболеваний у пациентов с сахарным диабетом 2 типа, получавших ингибитор натрий-глюкозного котранспортера-2, по сравнению с ингибитором дипептидилпептидазы-4: ретроспективный анализ реальных данных из административной базы данных в Японии
https://doi.org/10.14341/DM13029
Аннотация
ЦЕЛИ. Оценить преимущество ингибиторов натрий-глюкозного котранспортера-2 (иНГЛТ-2) по сравнению с ингибиторами дипептидилпептидазы-4 (иДПП-4) в снижении частоты сердечно-сосудистых заболеваний (ССЗ) у пациентов с сахарным диабетом 2 типа (СД2) с ССЗ и без них.
МАТЕРИАЛЫ И МЕТОДЫ. В этом ретроспективном когортном исследовании использовались административные данные японских больниц из базы данных Medical Data Vision (с января 2015 г. по апрель 2020 г.). В исследование были включены пациенты с СД2 (n=625 739), впервые начавшие принимать иНГЛТ-2 (n=57 070; 9,1%) или иДПП-4 (n=568 669; 90,9%). Исходы включали госпитализацию по поводу сердечной недостаточности (гСН), смерть от всех причин и сочетание гСН и смерти от всех причин. Для сравнения рисков сердечно-сосудистых событий между группами лечения были рассчитаны отношения рисков (ОР) с использованием модели пропорциональных рисков Кокса с обратным взвешиванием вероятностей.
РЕЗУЛЬТАТЫ. По сравнению с иДПП-4, иНГЛТ-2 были связаны со значительным снижением риска гСН среди пациентов без ССЗ в анамнезе (ОР 0,507; 95% доверительный интервал [ДИ] 0,283–0,907), но не в полной когорте или у пациентов с ССЗ в анамнезе. иНГЛТ-2 были связаны со значительным снижением риска смерти от всех причин (ОР 0,592; 95% ДИ 0,481–0,729) и сочетания гСН и смерти от всех причин (ОР 0,712; 95% ДИ 0,613–0,826) по сравнению с иДПП-4 в полной когорте; аналогичные результаты наблюдались среди пациентов с ССЗ и без них.
ЗАКЛЮЧЕНИЕ. В этом исследовании реальных данных у лиц, получавших иНГЛТ-2, по сравнению с данными лиц, получавших иДПП-4, было выявлено значительное снижение частоты гСН, смерти от всех причин и их сочетания у пациентов с СД2 без ССЗ в анамнезе.
Ключевые слова
Для цитирования:
Kashiwagi A., Shoji S., Onozawa S., Kosakai Y., Waratani M., Ito Y. Снижение частоты сердечно-сосудистых заболеваний у пациентов с сахарным диабетом 2 типа, получавших ингибитор натрий-глюкозного котранспортера-2, по сравнению с ингибитором дипептидилпептидазы-4: ретроспективный анализ реальных данных из административной базы данных в Японии. Сахарный диабет. 2023;26(2):157-171. https://doi.org/10.14341/DM13029
For citation:
Kashiwagi A., Shoji S., Onozawa S., Kosakai Y., Waratani M., Ito Yu. Reduction in cardiovascular disease events in patients with type 2 diabetes mellitus treated with a sodium–glucose cotransporter 2 inhibitor versus a dipeptidyl peptidase-4 inhibitor: A real-world retrospective administrative database analysis in Japan. Diabetes mellitus. 2023;26(2):157-171. (In Russ.) https://doi.org/10.14341/DM13029
ВВЕДЕНИЕ
В нескольких рандомизированных контролируемых исследованиях (РКИ) среди пациентов с высоким риском сердечно-сосудистых заболеваний (ССЗ) было показано, что ингибиторы натрий-глюкозного котранспортера-2 (иНГЛТ-2) снижают частоту ССЗ и смертность у пациентов с сахарным диабетом 2 типа (СД2) [1–6]. В обсервационных исследованиях, проведенных в реальной клинической практике, также было показано профилактическое действие иНГЛТ-2 на различные сердечно-сосудистые события по сравнению с другими сахароснижающими препаратами у пациентов с имеющимся ССЗ и без него [7–9]. Более того, в популяционном обсервационном исследовании в Корее пожилых пациентов с СД2 иНГЛТ-2 были значимо связаны со сниженным риском сердечно-сосудистых событий по сравнению с ингибиторами дипептидилпептидазы-4 (иДПП-4) у пациентов с ССЗ в анамнезе и у лиц в возрасте <75 лет, но не у лиц без ССЗ в анамнезе [10]. Напротив, в других обсервационных исследованиях, включая анализ японских пациентов, значимое снижение риска различных сердечно-сосудистых событий наблюдалось при применении иНГЛТ-2 по сравнению с иДПП-4 только у пациентов без имеющихся в настоящее время ССЗ и почечных заболеваний [11–13]. Таким образом, несмотря на эти новые данные, кардиопротекторные преимущества иНГЛТ-2 у пациентов с СД2 с ССЗ и без них остаются спорными.
В Японии иНГЛТ-2 в настоящее время рекомендуются только для пациентов с СД2 с сердечной недостаточностью (СН) или высоким риском СН [14], и выбор лечения зависит от решения врача [15]; иДПП-4 являются наиболее часто назначаемыми антидиабетическими препаратами [16], хотя они и не показали кардиопротекторных преимуществ при СД2 [14]. Таким образом, дальнейшие исследования, изучающие связь между использованием иНГЛТ-2 и ССЗ, оцениваемую с помощью другой методологии у реальных японских пациентов с СД2, могут дать лучшее представление о роли иНГЛТ-2 в лечении последнего, что может затем помочь врачам в выборе подходящих препаратов для пациентов.
Используя модель пропорциональных рисков Кокса с обратным взвешиванием вероятностей, мы проанализировали реальные данные из японской административной базы данных, чтобы оценить риск различных сердечно-сосудистых событий у пациентов с СД2, которые впервые начали принимать иНГЛТ-2, по сравнению с иДПП-4. Мы также сравнили кардиопротекторные эффекты иНГЛТ-2 по сравнению с иДПП-4 среди пациентов с ССЗ и без них.
МАТЕРИАЛЫ И МЕТОДЫ
Источник данных
Было проведено ретроспективное когортное исследование с использованием реальных данных из базы данных Medical Data Vision Co., Ltd. (MDV) в Японии. MDV представляет собой административную базу данных больниц неотложной помощи в Японии, которые используют комбинированную систему диагностики [17]. Данные о заявках в системе медицинского страхования в этой базе обезличены и содержат только характеристики пациентов (например, возраст и пол) и информацию о заболевании (например, диагноз, лекарственные средства и процедуры). По состоянию на март 2020 г. база данных MDV содержала сведения о более чем 30 млн пациентов из 399 больниц с комбинированной системой диагностики. Этическое одобрение и информированное согласие не требовались, поскольку использовались обезличенные данные.
Участники исследования
В Японии иДПП-4 и иНГЛТ-2 были впервые одобрены для клинического применения в 2009 и 2014 гг. соответственно [18][19]. В настоящее исследование, проведенное в период с 1 января 2015 г. по 30 апреля 2020 г. (рис. Д1), были включены пациенты в возрасте ≥20 лет, которым впервые был назначен иНГЛТ-2 или иДПП-4 1 января 2015 г. или позже (коды препаратов см. в табл. Д1). Поскольку устройство базы данных MDV не позволяет нам напрямую идентифицировать пациентов, которым недавно были назначены эти препараты, в качестве суррогата для определения «новых пользователей» был установлен «период вымывания в течение 1 года». Пациенты исключались из исследования, если у них было что-либо из следующего: записи о назначении иНГЛТ-2 или иДПП-4, в том числе в комбинированном препарате с фиксированной дозой, в течение предындексного периода (от 1 года до 1 дня до индексной даты); одновременные записи о назначении как иНГЛТ-2, так и иДПП-4 или комбинированного препарата с фиксированной дозой, содержащей как иНГЛТ-2, так и иДПП-4, на индексную дату; диагноз сахарного диабета 1 типа (Международная классификация болезней, 10-й пересмотр [МКБ-10], код E10.x) на индексную дату или ранее; диагноз гестационного диабета (код МКБ-10 O24.x) в предындексный период или на индексную дату; или в течение 60 дней до нее. гСН определялась как сердечная недостаточность (СН) (код ICD-10 I50), диагностированная врачом и требующая госпитализации.
Итоговые показатели
Основной конечной точкой была первая запись о гСН после индексной даты; частоту гСН сравнивали между группами лечения у всех пациентов с СД2 и у пациентов, стратифицированных по анамнезу ССЗ (с анамнезом ССЗ и без него). Дополнительными конечными точками были первая запись о смерти от всех причин (определяемая как любая смерть, произошедшая в больнице), сочетании гСН или смерти от всех причин, госпитализации по поводу инфаркта миокарда (ИМ; коды МКБ-10, содержащие I21) и по поводу инсульта (коды МКБ-10, содержащие I60–I64) после индексной даты. Частоту этих сердечно-сосудистых событий сравнивали между группами лечения в полной когорте, а также у пациентов с ССЗ и без них. Считалось, что пациенты имели ССЗ в анамнезе, если у них было одно или несколько из следующих состояний и/или процедур: ИМ, СН, нестабильная стенокардия, инсульт, фибрилляция предсердий и/или окклюзия периферических артерий, чрескожное коронарное вмешательство или аортокоронарное шунтирование (табл. Д2).
Статистический анализ
Исходные характеристики пациентов, включая возраст, пол, индекс массы тела, индекс коморбидности Чарлсона, адаптированный индекс тяжести осложнений диабета [20], сопутствующие заболевания и принимаемые лекарственные средства из данных, доступных на индексную дату или в период до нее, были обобщены по группам лечения (иНГЛТ-2 или иДПП-4) и по группам лечения, стратифицированным по времени гСН от индексной даты (стратификация задним числом: <30 и ≥30 сут). Коды для переменных, используемых для расчета индекса коморбидности Чарлсона и адаптированного индекса тяжести осложнений диабета, показаны в табл. Д3 и Д4. Взвешенные характеристики пациентов были рассчитаны с использованием метода обратного взвешивания вероятностей, который был оценен с использованием логистической регрессии. Для оценки степени баланса между группами лечения использовалась стандартизированная средняя разница; если она превышала 0,1 между группами лечения, это считалось ковариативным дисбалансом. Категориальные переменные представлены с использованием частот и процентов; непрерывные переменные представлены с использованием среднего значения (стандартное отклонение [SD]) и медианы (межквартильный интервал [МКИ]; первый квартиль [Q1] и третий квартиль [Q3]). Где это необходимо, были исчислены недостающие данные; для недостающих значений индекса массы тела применялось однократное исчисление среднего значения в каждой страте, созданной по полу, возрасту и группе лечения. Приверженность лечению, определяемая как время от исходной даты до прекращения лечения, суммировалась с использованием среднего значения (SD) и медианы [Q1; Q3] и оценивалась по льготному периоду в 60 дней. Таким образом, считалось, что пациенты прекратили лечение, если период между датой предыдущего назначения плюс дневной запас препарата и текущим назначением составлял >60 сут или если пациент переключился на препарат сравнения или добавил его. Однако если этот период составлял ≤60 сут, пациенты считались продолжающими лечение. Как для основных, так и для дополнительных показателей примерный уровень заболеваемости на 1000 человеко-лет для каждого интересующего сердечно-сосудистого события (гСН, смерть от всех причин, сочетание гСН или смерти от всех причин, ИМ и инсульта) рассчитывался путем деления числа произошедших сердечно-сосудистых событий после индексной даты на общее время от индексной даты до конца наблюдения, определяемого как дата, когда произошло любое из следующих событий: конец периода данных; первое основное событие после индексной даты; прекращение лечения. Для сравнения риска сердечно-сосудистых событий между группами лечения были рассчитаны отношения рисков (ОР) и 95% доверительные интервалы (ДИ) с использованием модели Кокса с обратным взвешиванием вероятностей. Для оценки времени от начала лечения до возникновения сердечно-сосудистых событий проводился взвешенный анализ Каплана–Мейера с использованием оценочного обратного взвешивания вероятностей на исходном уровне. Пациенты подвергались цензуре, если они переходили с иНГЛТ-2 на иДПП-4 или наоборот; анализ данных проводился до цензурирования. Были проведены анализы чувствительности для примерного уровня заболеваемости и ОР для гСН. Для ОР сердечно-сосудистых событий был проведен апостериорный анализ подгрупп с использованием возраста пациента (<75 и ≥75 лет). Все анализы проводились для полной когорты и подгрупп с ССЗ с использованием программного обеспечения SAS Studio 3.8 (Basic Edition; SAS Institute, Кэри, Северная Каролина, США).
РЕЗУЛЬТАТЫ
Участники исследования
В исследование были включены 625 739 пациентов с СД2, которые соответствовали критериям отбора в течение периода исследования и не имели записей после смерти (рис. 1). Из них 57 070 пациентов (9,1%) впервые получали иНГЛТ-2, а 568 669 пациентов (90,9%) — иДПП-4. Среди принимавших иНГЛТ-2 23 015 пациентов (40,3%) имели ССЗ в анамнезе, а 34 055 пациентов (59,7%) — нет. Среди принимавших иДПП-4 237 923 пациента (41,8%) имели ССЗ в анамнезе, а 330 746 (58,2%) — нет. После корректировки с обратным взвешиванием вероятностей полная когорта включала 623 705 пациентов: 53 772 впервые начали принимать иНГЛТ-2 (с ССЗ в анамнезе: n=21 651; без ССЗ в анамнезе: n=33 159) и 569 933 впервые начали прием иДПП-4 (с ССЗ в анамнезе: n=238 574; без ССЗ в анамнезе: n=330 996).
Демографические и исходные клинические характеристики пациентов
Взвешенные демографические и исходные клинические характеристики пациентов в целом были сходными между группами иНГЛТ-2 и иДПП-4 в полной когорте и в подгруппах ССЗ (табл. 1). В полной когорте средний возраст пациентов в группах иНГЛТ-2 и иДПП-4 составил 69,4 года (SD 12,4 года) и 70,2 года (SD 13,0 лет) соответственно; >60% пациентов были мужчинами. Уровни гликированного гемоглобина (HbA1c) были выше в группе иНГЛТ-2 по сравнению с группой иДПП-4 в полной когорте и в подгруппах ССЗ. Тем не менее этот показатель не использовался для оценки с обратным взвешиванием вероятностей, потому что базовые записи пациентов о HbA1c были ограничены. Наиболее распространенными препаратами классов иНГЛТ-2 и иДПП-4 были эмпаглифлозин (32,3%) и ситаглиптин (38,2%) соответственно (табл. Д5).
Приверженность лечению
Среднее время от индексной даты до прекращения лечения было в целом одинаковым или немного больше у пациентов, получавших иНГЛТ-2, по сравнению с пациентами, получавшими иДПП-4, в полной когорте и обеих подгруппах ССЗ (табл. Д6).
Примерная частота интересующих ССЗ
В полной когорте пациенты, получавшие иНГЛТ-2, имели более низкую общую частоту гСН по сравнению с пациентами, получавшими иДПП-4 (иНГЛТ-2: 10,97 на 1000 человеко-лет; иДПП-4: 15,26 на 1000 человеко-лет; табл. 2). Аналогично примерная частота гСН была численно ниже у пациентов, получавших иНГЛТ-2, чем у пациентов, получавших иДПП-4, среди пациентов без ССЗ в анамнезе (1,42 против 5,18 на 1000 человеко-лет), но была одинаковой среди пациентов с ССЗ в анамнезе (26,21 против 28,72 на 1000 человеко-лет). Кроме того, общая частота смерти от всех причин, сочетания гСН и/или смерти от всех причин и госпитализации по поводу инсульта также была ниже у пациентов, получавших иНГЛТ-2, по сравнению с пациентами, получавшими иДПП-4, в полной когорте и обеих подгруппах ССЗ. Однако общая частота госпитализации по поводу ИМ была ниже у пациентов, получавших иНГЛТ-2, по сравнению с пациентами, получавшими иДПП-4, только среди пациентов без ССЗ в анамнезе; аналогично примерная частота между группами лечения наблюдалась в полной когорте и обеих подгруппах ССЗ.
Снижение риска гСН
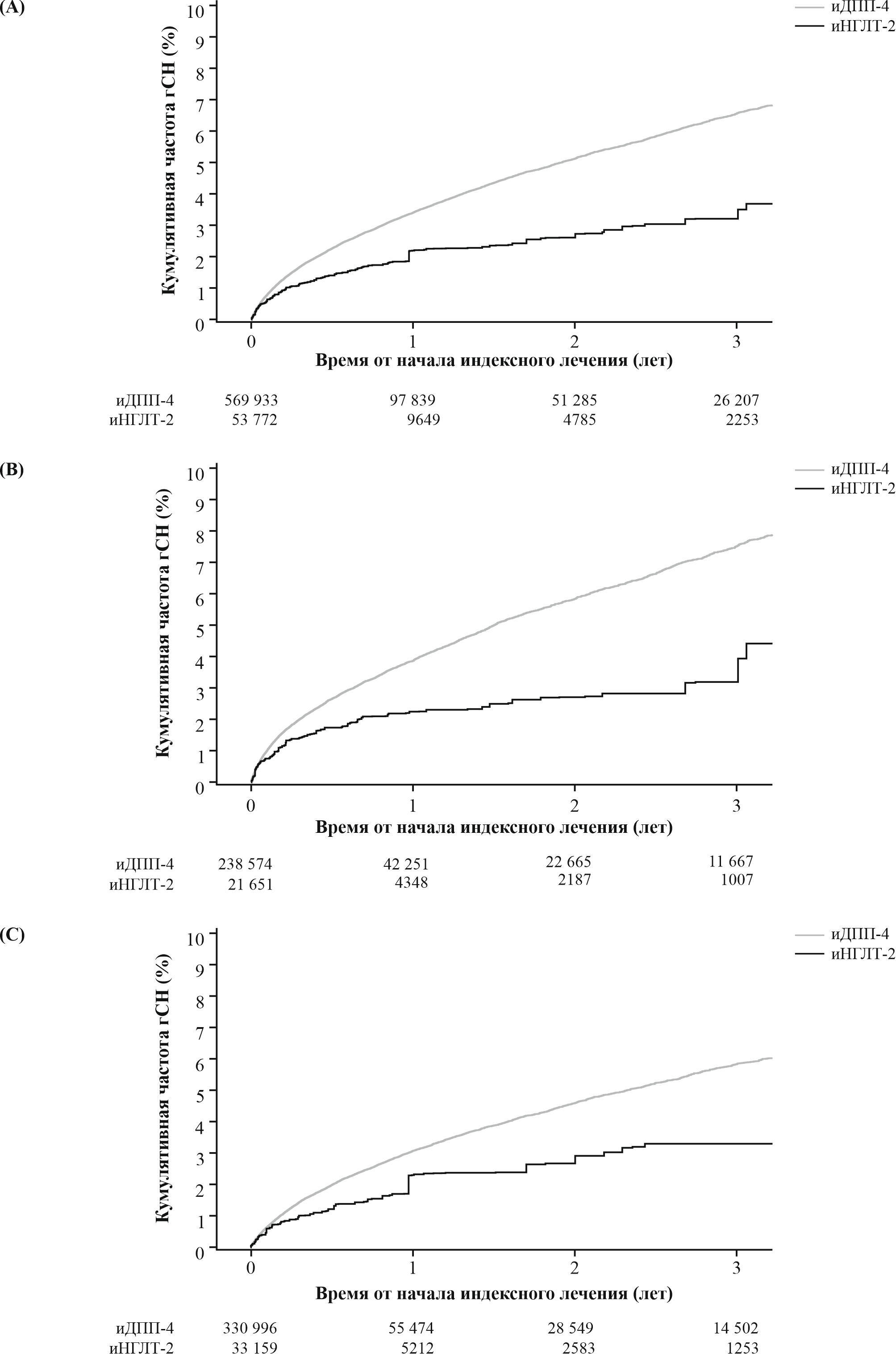
Модель Кокса с обратным взвешиванием вероятностей показала, что было значительное снижение риска гСН у пациентов, получавших иНГЛТ-2, по сравнению с пациентами, получавшими иДПП-4, среди пациентов без ССЗ в анамнезе (ОР 0,507; 95% ДИ 0,283–0,907), но не во всей когорте (ОР 0,936; 95% ДИ 0,765–1,146) или среди пациентов с ССЗ в анамнезе (ОР 0,978; 95% ДИ 0,707–1,353; рис. 2). В трех анализах чувствительности с обратным взвешиванием вероятностей ОР для гСН в полной когорте и обеих подгруппах ССЗ наблюдались последовательные результаты (табл. 7).
В анализе Каплана–Мейера взвешенная кумулятивная частота гСН оказалась выше у пациентов, получавших иНГЛТ-2, по сравнению с пациентами, получавшими иДПП-4, примерно до 60 сут после начала лечения для всей когорты и среди пациентов с ССЗ в анамнезе (рис. 3 A, B; табл. Д8 и Д9). Среди пациентов без ССЗ в анамнезе взвешенная кумулятивная частота гСН, как правило, была ниже у пациентов, получавших иНГЛТ-2, чем у пациентов, получавших иДПП-4, почти во всех временных точках, начиная с 90-х суток после начала лечения (рис. 3 C; табл. Д10).
Среди пациентов с ССЗ в анамнезе и эпизодом гСН <30 сут от индексной даты наличие гипогликемии было выше у пациентов, получавших иНГЛТ-2 (37,8%; 54 из 143), по сравнению с пациентами, получавшими иДПП-4 (1,2%; 8 из 642; табл. Д11). Аналогично средний возраст пациентов с гипогликемией, получавших иНГЛТ-2, был выше, чем пациентов, получавших иДПП-4 (84,7 и 78,6 года соответственно), и у большей доли пациентов индексный год был 2015 (97,5 и 24,1% соответственно). Кроме того, пациенты, получавшие иНГЛТ-2, имели более высокую распространенность сопутствующей хронической болезни почек, нефропатии и дислипидемии, а также использовали несколько противодиабетических препаратов, включая инсулины, чем пациенты, получавшие иДПП-4. И наоборот, гипогликемия отмечалась всего у 3,2% пациентов, получавших иНГЛТ-2, с ССЗ в анамнезе и эпизодом гСН ≥30 сут с индексной даты, что было аналогично пациентам, получавшим иДПП-4 (1,9%; табл. Д12).
Снижение риска смерти от всех причин
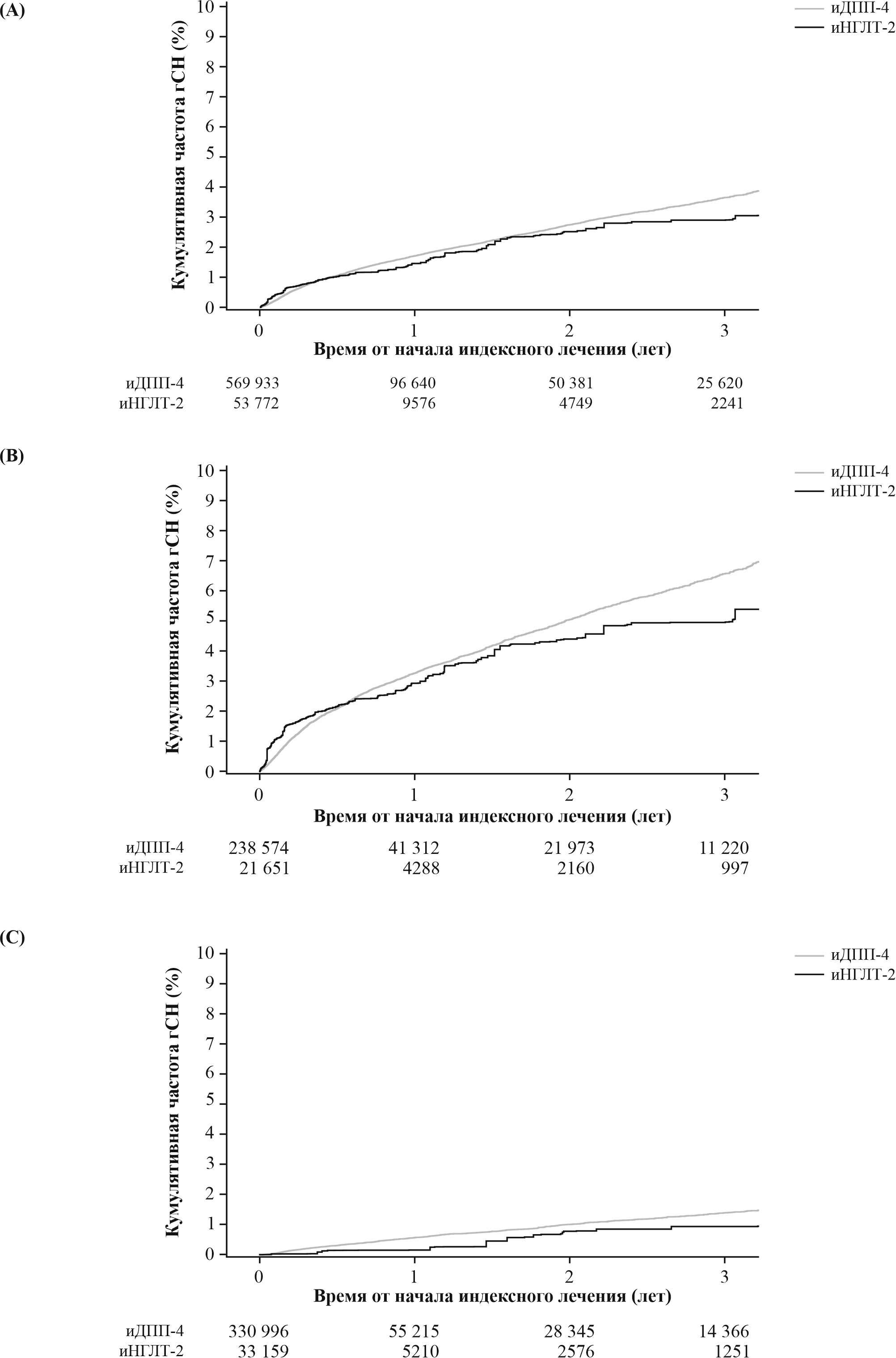
Риск смерти от всех причин был значительно ниже у пациентов, получавших иНГЛТ-2, по сравнению с пациентами, получавшими иДПП-4, во всей когорте (ОР 0,592; 95% ДИ 0,481–0,729), пациентов как с ССЗ (ОР 0,573; 95% ДИ 0,437–0,752), так и без них (ОР 0,640; 95% ДИ 0,457–0,897) в анамнезе (рис. 2). Взвешенная кумулятивная частота смерти от всех причин была ниже у пациентов, получавших иНГЛТ-2, по сравнению с пациентами, получавшими иДПП-4, во всех временных точках после начала лечения в полной когорте и обеих подгруппах ССЗ (рис. 4, табл. Д8–Д10).
Снижение риска сочетания гСН и/или смерти от всех причин
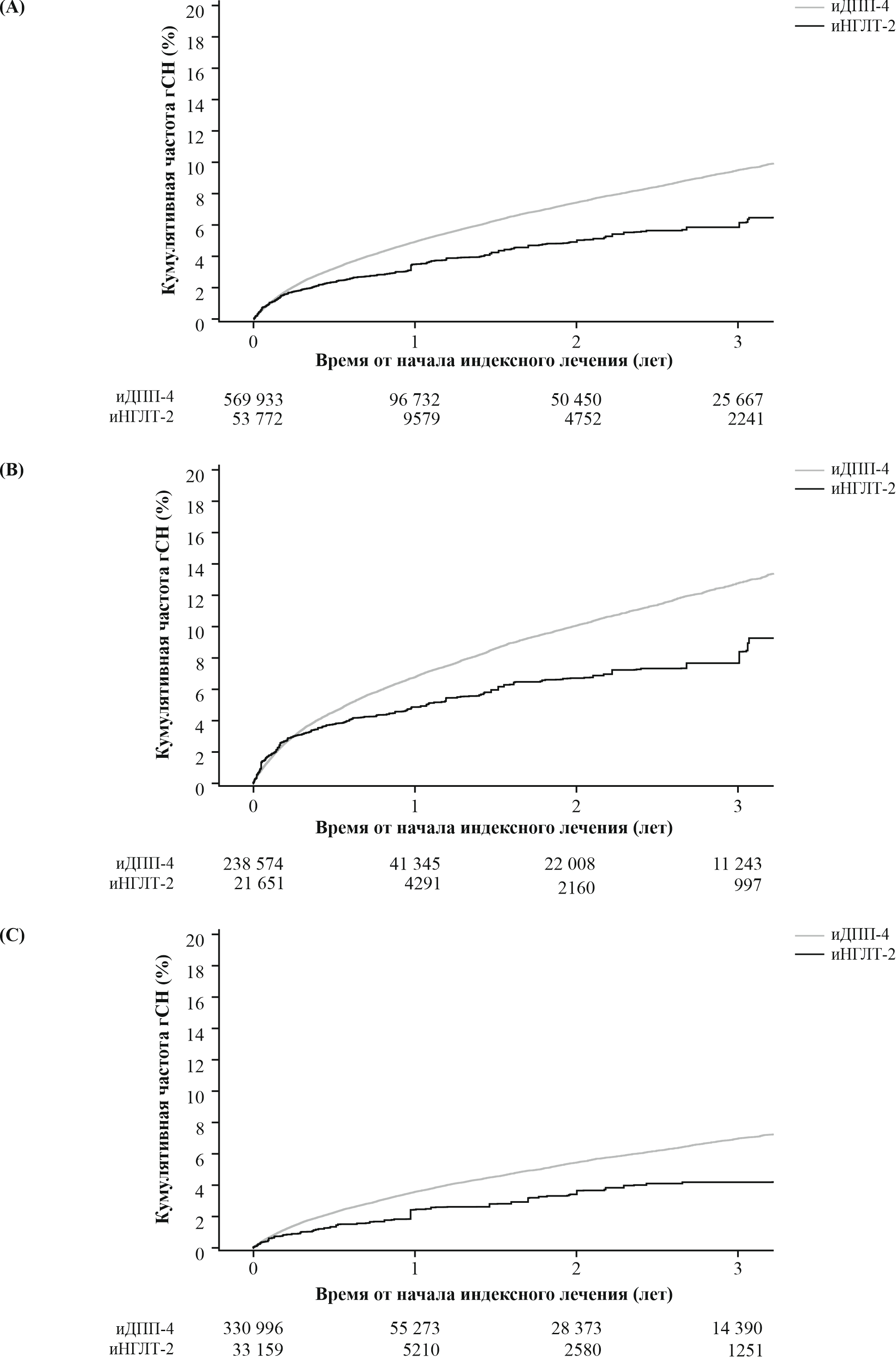
Значительное снижение риска сочетания гСН и/или смерти от всех причин наблюдалось у пациентов, получавших иНГЛТ-2, по сравнению с пациентами, получавшими иДПП-4, в полной когорте и обеих подгруппах ССЗ (рис. 2). Взвешенная кумулятивная частота сочетания гСН и/или смерти от всех причин также была ниже у пациентов, получавших иНГЛТ-2, по сравнению с пациентами, получавшими иДПП-4, почти во всех временных точках после начала лечения в полной когорте и обеих подгруппах ССЗ (рис. 5; табл. Д8– Д10).
Снижение риска госпитализации по поводу ИМ или инсульта
Значительного снижения риска госпитализации по поводу ИМ или инсульта у пациентов, получавших иНГЛТ-2, по сравнению с пациентами, получавшими иДПП-4, в полной когорте и обеих подгруппах ССЗ не наблюдалось (рис. 2). Совокупная частота госпитализаций по поводу ИМ или инсульта была одинаковой в обеих группах лечения во всех временных точках после начала лечения в полной когорте и обеих подгруппах ССЗ (табл. Д8– Д10).
Анализ по подгруппам
В полной когорте и среди пациентов с ССЗ в анамнезе риск всех сердечно-сосудистых событий, за исключением госпитализации по поводу ИМ, был значительно ниже при использовании иНГЛТ-2 по сравнению с иДПП-4 у пациентов в возрасте <75 лет, но не у пациентов в возрасте ≥75 лет (рис. 6).
Среди пациентов без ССЗ в анамнезе риск смерти от всех причин и сочетания гСН или смерти от всех причин был значительно ниже при использовании иНГЛТ-2 по сравнению с иДПП-4 только у пациентов в возрасте <75 лет. Однако риск госпитализации по поводу ИМ или инсульта был значительно снижен на фоне приема иНГЛТ-2 только у пациентов в возрасте ≥75 лет.

Рисунок 1. Распределение пациентов. ССЗ — сердечно-сосудистые заболевания; иДПП-4 — ингибиторы дипептидилпептидазы-4; иНГЛТ-2 — ингибиторы натрий-глюкозного котранспортера-2; гСН — госпитализация по поводу сердечной недостаточности; MDV — база данных Medical Data Vision; СД2 — сахарный диабет 2 типа.
Таблица 1. Взвешенные демографические данные пациентов и исходные клинические характеристики†
Характеристики‡ | Полная когорта | С анамнезом ССЗ | Без анамнеза ССЗ | ||||||
иНГЛТ-2 (n=53 772) | иДПП-4 (n=569 933) | SMD | иНГЛТ-2 (n=21 651) | иДПП-4 (n=238 574) | SMD | иНГЛТ-2 (n=33 159) | иДПП-4 (n=330 996) | SMD | |
Возраст (лет) | |||||||||
Медиана [Q1; Q3] | 71 | 72 | 0,0580 | 73 | 74 | 0,0575 | 69 | 70 | 0,0568 |
Среднее§ (SD) | 69,4 | 70,2 | 72,3 | 72,9 | 67,5 | 68,2 | |||
Мужчины | 34 550 (64,3) | 352 051 (61,8) | 0,0514 | 14 499 (67,0) | 156 066 (65,4) | 0,0328 | 20 500 (61,8) | 195 678 (59,1) | 0,0554 |
Средний ИМТ, кг/м2 (SD) | 24,7 | 24,4 | 0,0879 | 24,4 | 24,1 | 0,0894 | 24,8 | 24,6 | 0,0655 |
HbA1c (%), n | 4442 | 48 734 | – | 1930 | 21 228 | – | 2571 | 27 462 | – |
Среднее (SD) | 8,0 | 7,7 | 0,1761 | 7,9 | 7,5 | 0,2917 | 8,2 | 7,9 | 0,1315 |
Средний индекс коморбидности Чарлсона (SD) | 2,9 | 2,8 | 0,0122 | 3,5 | 3,5 | 0,0034 | 2,4 | 2,4 | 0,0038 |
Средний индекс осложнений сахарного диабета (SD) | 1,4 | 1,3 | 0,0323 | 2,5 | 2,5 | 0,0087 | 0,5 | 0,5 | 0,0151 |
Курение, n | 34 751 | 415 478 | – | 14 344 | 185 330 | – | 21 759 | 230 028 | – |
Курильщики | 16 901 (48,6) | 187 209 (45,1) | 0,0717 | 7048 (49,1) | 87 465 (47,2) | 0,0388 | 10 386 (47,7) | 99 547 (43,3) | 0,0895 |
Сопутствующие заболевания | |||||||||
Хроническая болезнь почек | 4505 (8,4) | 44 878 (7,9) | 0,0184 | 2632 (12,2) | 28 074 (11,8) | 0,0119 | 1793 | 16 811 (5,1) | 0,0147 |
Нефропатия | 8400 (15,6) | 84 638 (14,9) | 0,0215 | 4187 (19,3) | 44 071 (18,5) | 0,0221 | 4186 (12,6) | 40 516 (12,2) | 0,0116 |
Ретинопатия | 5553 (10,3) | 59 692 (10,5) | 0,0048 | 2126 (9,8) | 23 304 (9,8) | 0,0018 | 3520 (10,6) | 36 328 (11,0) | 0,0116 |
Инфаркт миокарда | 1977 (3,7) | 18 547 (3,3) | 0,0231 | 1781 (8,2) | 18 377 (7,7) | 0,0193 | 0 | 0 | 0 |
Инсульт | 6633 (12,3) | 67 022 (11,8) | 0,0177 | 6147 (28,4) | 67 153 (28,1) | 0,0054 | 0 | 0 | 0 |
Сердечная недостаточность | 9241 (17,2) | 91 116 (16,0) | 0,0322 | 8427 (38,9) | 90 981 (38,1) | 0,0162 | 0 | 0 | 0 |
Стенокардия | 9143 (17,0) | 92 078 (16,2) | 0,0228 | 8482 (39,2) | 91 907 (38,5) | 0,0134 | 0 | 0 | 0 |
Фибрилляция предсердий | 4349 | 44 035 (7,7) | 0,0134 | 3965 (18,3) | 44 040 (18,5) | 0,0038 | 0 | 0 | 0 |
Заболевания периферических артерий | 648 | 7233 | 0,0058 | 591 | 7240 | 0,0183 | 0 | 0 | 0 |
Артериальная гипертония | 28 248 (52,5) | 303 667 (53,3) | 0,0150 | 15 083 (69,7) | 165 478 (69,4) | 0,0066 | 13 012 (39,2) | 138 084 (41,7) | 0,0504 |
Дислипидемия | 21 717 (40,4) | 232 223 (40,7) | 0,0073 | 11 532 (53,3) | 126 323 (52,9) | 0,0063 | 9929 (29,9) | 105 694 (31,9) | 0,0430 |
Процедуры | |||||||||
Аортокоронарное шунтирование | 280 | 1945 | 0,0274 | 257 | 1942 | 0,0374 | 0 | 0 | 0 |
Чрескожное коронарное вмешательство | 2182 | 20 060 (3,5) | 0,0282 | 1955 | 19 907 (8,3) | 0,0244 | 0 | 0 | 0 |
Вмешательство на сонных артериях | 83 | 644 | 0,0113 | 77 | 627 | 0,0164 | 1 | 20 | 0,0034 |
Бариатрические операции | 0 | 6 | 0,0014 | 0 | 1 | 0,0001 | 0 | 3 | 0,0008 |
Лекарственные средства | |||||||||
БГ | 11 715 (21,8) | 123 027 (21,6) | 0,0049 | 3942 (18,2) | 40 447 (17,0) | 0,0329 | 8189 (24,7) | 82 413 (24,9) | 0,0047 |
Производные сульфонилмочевины | 9777 (18,2) | 96 099 (16,9) | 0,0348 | 3958 (18,3) | 39 431 (16,5) | 0,0463 | 6097 (18,4) | 56 654 (17,1) | 0,0333 |
Агонисты рецептора ГПП-1 | 870 | 9754 | 0,0073 | 348 | 4023 | 0,0062 | 527 | 5786 | 0,0125 |
Глиниды | 3009 | 30 000 (5,3) | 0,0147 | 1322 | 12 840 (5,4) | 0,0312 | 1763 | 17 149 (5,2) | 0,0061 |
Тиазолидиндионы только/с БГ или СМ | 3032 | 28 380 (5,0) | 0,0294 | 1162 | 11 275 (4,7) | 0,0293 | 1936 | 17 068 (5,2) | 0,0300 |
Ингибиторы α-глюкозидазы | 6488 (12,1) | 65 577 (11,5) | 0,0174 | 3038 (14,0) | 29 471 (12,4) | 0,0497 | 3675 (11,1) | 36 089 (10,9) | 0,0057 |
Инсулины | 18 178 (33,8) | 190 820 (33,5) | 0,0069 | 7612 (35,2) | 82 978 (34,8) | 0,0079 | 11 105 (33,5) | 107 868 (32,6) | 0,0192 |
Липидоснижающие средства | 22 113 (41,1) | 229 906 (40,3) | 0,0160 | 11 228 (51,9) | 120 877 (50,7) | 0,0238 | 10 930 (33,0) | 108 804 (32,9) | 0,0019 |
α-Блокаторы | 1788 | 18 037 (3,2) | 0,0090 | 876 | 9975 | 0,0067 | 888 | 8066 | 0,0153 |
β-Блокаторы | 9437 (17,5) | 92 921 (16,3) | 0,0332 | 6566 (30,3) | 70 619 (29,6) | 0,0159 | 2551 | 22 051 (6,7) | 0,0399 |
Блокаторы кальциевых каналов | 18 525 (34,5) | 193 392 (33,9) | 0,0109 | 8925 (41,2) | 95 871 (40,2) | 0,0211 | 9812 (29,6) | 97 445 (29,4) | 0,0033 |
Ингибиторы АПФ | 3365 | 34 639 (6,1) | 0,0075 | 2236 (10,3) | 24 323 (10,2) | 0,0044 | 1030 | 10 170 (3,1) | 0,0019 |
БРА | 13 021 (24,2) | 140 743 (24,7) | 0,0112 | 6277 (29,0) | 69 619 (29,2) | 0,0042 | 6942 (20,9) | 71 138 (21,5) | 0,0136 |
БРА с блокаторами кальциевых каналов | 2636 | 26 123 (4,6) | 0,0150 | 1064 | 11 318 (4,7) | 0,0080 | 1625 | 14 779 (4,5) | 0,0206 |
БРА с диуретиками | 1027 | 10 232 (1,8) | 0,0086 | 438 | 4743 | 0,0024 | 601 | 5493 | 0,0117 |
Диуретики | 9848 (18,3) | 95 946 (16,8) | 0,0389 | 5928 (27,4) | 63 498 (26,6) | 0,0172 | 3837 (11,6) | 32 364 (9,8) | 0,0581 |
Антагонисты альдостерона | 3023 | 29 041 (5,1) | 0,0234 | 1971 | 20 655 (8,7) | 0,0156 | 1020 | 8345 | 0,0336 |
† Данные были получены на основе данных, доступных на индексную дату или на дату, ближайшую к индексной дате в период до индексации. Индексная дата была определена как дата первого зарегистрированного приема ингибитора натрий-глюкозного котранспортера-2 (иНГЛТ-2) или ингибитора дипептидилпептидазы-4 (иДПП-4). Предындексный период определялся как период от 1 года до 1 дня до индексной даты. ‡ Данные n (%), если не указано иное. § Средний возраст > 100 лет был округлен до 100 лет. АПФ — ангиотензинпревращающий фермент; БРА — блокаторы рецепторов ангиотензина; БГ — бигуаниды; ИМТ — индекс массы тела; ССЗ — сердечно-сосудистые заболевания; ГПП-1 — глюкагоноподобный пептид-1; HbA1c — гликированный гемоглобин; SD — стандартное отклонение; SMD — стандартизированная разность средних значений; СМ — сульфонилмочевина.
Таблица 2. Частота сердечно-сосудистых заболеваний, представляющих интерес
Полная когорта | С анамнезом ССЗ | Без анамнеза ССЗ | ||||
иНГЛТ-2 (n=57 070) | иДПП-4 (n=568 669) | иНГЛТ-2 (n=23 015) | иДПП-4 (n=237 923) | иНГЛТ-2 (n=34 055) | иДПП-4 (n=330 746) | |
гСН (основной анализ) | ||||||
События, n | 390 | 4708 | 359 | 3795 | 31 | 913 |
Человеко-лет | 35 557,4 | 308 481,8 | 13 698,6 | 132 143,6 | 21 858,8 | 176 338,2 |
Заболеваемость† (95% ДИ) | 10,97 (9,91–12,11) | 15,26 (14,83–15,70) | 26,21 (23,57–29,06) | 28,72 (27,81–29,65) | 1,42 (0,96–2,01) | 5,18 (4,85–5,52) |
гСН (анализ чувствительности)‡ | ||||||
События, n | 359 | 4125 | 329 | 3345 | 30 | 780 |
Человеко-лет | 33 231,4 | 285 361,8 | 12 946,2 | 122 692,7 | 20 285,2 | 162 669,1 |
Заболеваемость† (95% ДИ) | 10,80 | 14,46 | 25,41 (22,74–28,31) | 27,26 (26,35–28,20) | 1,48 (1,00–2,11) | 4,80 (4,46–5,14) |
Смерть от всех причин | ||||||
События, n | 260 | 10 486 | 162 | 5300 | 98 | 5186 |
Человеко-лет | 35 777,2 | 312 419,8 | 13 891,5 | 135 121,2 | 21 885,7 | 177 298,6 |
Заболеваемость† (95% ДИ) | 7,27 (6,41–8,21) | 33,56 (32,92–34,21) | 11,66 (9,94–13,60) | 39,22 (38,18–40,29) | 4,48 (3,64–5,46) | 29,25 (28,46–30,06) |
гСН или смерть от всех причин | ||||||
События, n | 631 | 14 651 | 503 | 8649 | 128 | 6002 |
Человеко-лет | 35 580,1 | 309 104,0 | 13 708,8 | 132 431,5 | 21 871,3 | 176 672,6 |
Заболеваемость† (95% ДИ) | 17,73 (16,38–19,17) | 47,40 (46,63–48,17) | 36,69 (33,55–40,04) | 65,31 (63,94–66,70) | 5,85 (4,88–6,96) | 33,97 (33,12–34,84) |
Госпитализация по поводу ИМ | ||||||
События, n | 69 | 733 | 52 | 476 | 17 | 257 |
Человеко-лет | 35 747,8 | 311 902,6 | 13 871,4 | 134 770,9 | 21 876,4 | 177 131,7 |
Заболеваемость† (95% ДИ) | 1,93 (1,50–2,44) | 2,35 (2,18–2,53) | 3,75 (2,80–4,92) | 3,53 (3,22–3,86) | 0,78 (0,45–1,24) | 1,45 (1,28–1,64) |
Госпитализация по поводу инсульта | ||||||
События, n | 173 | 3672 | 117 | 2689 | 56 | 983 |
Человеко-лет | 35 714,9 | 310 206,9 | 13 846,2 | 133 530,8 | 21 868,6 | 176 676,2 |
Заболеваемость† (95% ДИ) | 4,84 (4,15–5,62) | 11,84 (11,46–12,23) | 8,45 (6,99–10,13) | 20,14 (19,38–20,91) | 2,56 (1,93–3,33) | 5,56 (5,22–5,92) |
†Заболеваемость — число событий на 1000 человеко-лет. ‡ Анализ чувствительности с использованием льготного периода в 30 дней. ДИ — доверительный интервал; ССЗ — сердечно-сосудистые заболевания; иДПП-4 — ингибиторы дипептидилпептидазы-4; иНГЛТ-2 — ингибитор натрий-глюкозного котранспортера-2; гСН — госпитализация по поводу сердечной недостаточности; ИМ — инфаркт миокарда.

Рисунок 2. Лесовидная диаграмма риска госпитализации по поводу сердечной недостаточности (гСН), смерти от всех причин, сочетания гСН и/или смерти от всех причин, госпитализации по поводу инфаркта миокарда (ИМ) и госпитализации по поводу инсульта в полной когорте и у пациентов с сердечно-сосудистыми заболеваниями (ССЗ) или без них в анамнезе. ДИ — доверительный интервал; ОР — отношение рисков; иНГЛТ-2 — ингибитор натрий-глюкозного котранспортера-2; иДПП-4 — ингибиторы дипептидилпептидазы-4.

Рисунок 3. Кривая Каплана–Мейера кумулятивной частоты госпитализаций по поводу сердечной недостаточности (гСН) в (А) полной когорте, (B) у пациентов с сердечно-сосудистыми заболеваниями (ССЗ) в анамнезе и (C) у пациентов без ССЗ в анамнезе. Взвешенная кумулятивная частота гСН у пациентов, получавших ингибитор натрий-глюкозного котранспортера-2 (иНГЛТ-2), была выше, чем у пациентов, получавших ингибитор дипептидилпептидазы-4 (иДПП-4), через 30–60 сут после индексной даты, в полной когорте и у пациентов с ССЗ в анамнезе; кумулятивная частота гСН имела тенденцию быть ниже у пациентов, получавших иНГЛТ-2, чем у пациентов, получавших иДПП-4, через 1 год с индексной даты. Напротив, среди пациентов без ССЗ в анамнезе кумулятивная частота гСН у пациентов, получавших иНГЛТ-2, была ниже почти во всех временных точках, начиная с 90 дней после индексной даты, чем у пациентов, получавших иДПП-4.

Рисунок 4. Кривая Каплана–Мейера кумулятивной частоты смерти от всех причин в (A) полной когорте, (B) у пациентов с сердечно-сосудистыми заболеваниями (ССЗ) в анамнезе и (С) у пациентов без ССЗ в анамнезе. Взвешенная кумулятивная частота смерти от всех причин была ниже у пациентов, получавших ингибитор натрий-глюкозного котранспортера-2 (иНГЛТ-2), по сравнению с пациентами, получавшими лечение ингибитором дипептидилпептидазы-4 (иДПП-4), во всех временных точках после начала приема соответствующих препаратов в полной когорте и в обеих подгруппах по ССЗ.

Рисунок 5. Кривая Каплана–Мейера кумулятивной частоты сочетания госпитализаций по поводу сердечной недостаточности (гСН) и/или смерти от всех причин в (А) полной когорте, (B) у пациентов с сердечно-сосудистыми заболеваниями (ССЗ) в анамнезе и (C) у пациентов без ССЗ в анамнезе. Взвешенная кумулятивная частота сочетания гСН и/или смерти от всех причин была ниже у пациентов, получавших ингибитор натрий-глюкозного котранспортера-2 (иНГЛТ-2), по сравнению с пациентами, получавшими лечение ингибитором дипептидилпептидазы-4 (иДПП-4), почти во всех временных точках после начала приема соответствующих препаратов в полной когорте и в обеих подгруппах по ССЗ.

Рисунок 6. Подгрупповой анализ (<75 лет; ≥75 лет). Лесовидная диаграмма риска госпитализации по поводу сердечной недостаточности (гСН), смерти от всех причин, гСН или смерти от всех причин, госпитализации по поводу инфаркта миокарда (ИМ) и госпитализации по поводу инсульта в (А) полной когорте, (B) у пациентов с сердечно-сосудистыми заболеваниями (ССЗ) в анамнезе и (C) у пациентов без ССЗ в анамнезе. ДИ — доверительный интервал; ОР — отношение рисков; иНГЛТ-2 — ингибитор натрий-глюкозного котранспортера-2; иДПП-4 — ингибиторы дипептидилпептидазы-4.
ОБСУЖДЕНИЕ
В настоящем крупном ретроспективном когортном исследовании, основанном на административных данных больниц, изучался риск развития сердечно-сосудистых событий у >600 000 пациентов с СД2, недавно начавших прием иНГЛТ-2 или иДПП-4, с использованием моделей Кокса с обратным взвешиванием вероятностей. В этом исследовании риск гСН, смерти от всех причин и сочетания гСН или смерти от всех причин был значительно снижен при использовании иНГЛТ-2 по сравнению с иДПП-4 среди пациентов без ССЗ в анамнезе. Во всей когорте и среди пациентов с ССЗ в анамнезе, по сравнению с иДПП-4, иНГЛТ-2 также были связаны со значительным снижением риска смерти от всех причин и сочетания гСН и/или смерти от всех причин, но не гСН. Эти результаты свидетельствуют о том, что раннее лечение иНГЛТ-2 может помочь предотвратить развитие гСН и смерть от всех причин у пациентов с СД2 без ССЗ в анамнезе. Кроме того, эти результаты подчеркивают пользу иНГЛТ-2 и поддерживают использование этого класса препаратов у японских пациентов с СД2.
На сегодня положительные эффекты иНГЛТ-2 для профилактики гСН при СД2 противоречивы. Четыре РКИ продемонстрировали преимущества иНГЛТ-2 в снижении заболеваемости гСН по сравнению с плацебо у пациентов с СД2 с высоким риском ССЗ [1–6]; в этих исследованиях наблюдалось относительно одинаковое процентное снижение случаев гСН [21]. Аналогичным образом, два обсервационных исследования (CVD-REAL и CVD-REAL 2) показали значительно более низкий риск гСН у пациентов с СД2, получавших иНГЛТ-2, по сравнению с другими сахароснижающими препаратами, независимо от наличия у пациентов ССЗ [7–9]. В настоящем исследовании иНГЛТ-2 значительно снижали риск гСН почти на 50% у пациентов без ССЗ в анамнезе, что согласуется с результатами крупного многонационального обсервационного исследования применения иНГЛТ-2 у пациентов с СД2 без ССЗ и почечных заболеваний [12]. Эти результаты также отражают итоги недавнего обсервационного исследования, в котором сообщалось о значительном улучшении функции левого желудочка в группе эмпаглифлозина по сравнению с контрольной группой, особенно при ранней кардиомиопатии, связанной с СД2, по сравнению с прогрессирующей кардиомиопатией [22]. Кроме того, в настоящем исследовании иНГЛТ-2 были связаны со значительно сниженным риском развития гСН у пациентов с СД2 в возрасте до 75 лет, но не у пациентов в возрасте ≥75 лет, что позволяет предположить зависимость положительных эффектов иНГЛТ-2 от возраста пациентов с СД2 [10]. Таким образом, хотя на эффект иНГЛТ-2 в предотвращении гСН потенциально влияют другие факторы, включая возраст, тяжесть ССЗ, наличие микро- и макрососудистых осложнений и этническую принадлежность, которые в дополнение к более строгим критериям приемлемости РКИ также могут объяснить различия, наблюдаемые между РКИ и обсервационными исследованиями, результаты настоящего исследования показали, что раннее лечение иНГЛТ-2 может быть эффективным для снижения риска гСН у пациентов без ССЗ в анамнезе.
В настоящем исследовании кумулятивная заболеваемость гСН была выше при применении иНГЛТ-2, чем при применении иДПП-4, на ранних этапах лечения в полной когорте и среди пациентов с ССЗ в анамнезе. Эти результаты могут быть частично объяснены тем фактом, что пациенты, получавшие иНГЛТ-2, с ССЗ в анамнезе и эпизодом гСН вскоре после начала лечения имели исходные характеристики, свидетельствующие о более высоком риске гСН по сравнению с пациентами, получавшими иДПП-4. По сравнению с пациентами, получавшими иДПП-4, эти пациенты, получавшие иНГЛТ-2, были старше и имели более высокую распространенность гипогликемии, поскольку их лечили несколькими противодиабетическими препаратами с инсулином или без него. Распространенность сопутствующих заболеваний, включая хроническую болезнь почек и нефропатию, также была выше у этих пациентов, получавших иНГЛТ-2, чем у пациентов, получавших иДПП-4, и почти все они начали лечение в 2015 г., то есть приблизительно вскоре после того, как иНГЛТ-2 стали впервые назначаться в Японии. Кроме того, учитывая, что результаты исследования сердечно-сосудистых исходов эмпаглифлозина у пациентов с СД2 (EMPA-REG OUTCOME – Empagliflozin Cardiovascular Outcome Event Trial in Type 2 Diabetes Mellitus Patients) были опубликованы в 2015 г. [1], врачи в то время, возможно, предпочли бы назначать иНГЛТ-2 пациентам с более тяжелой формой СД2 и ССЗ. Тем не менее в более поздней фазе наблюдалась более низкая кумулятивная частота событий гСН, что позволяет предположить, что долгосрочное использование иНГЛТ-2 может показать бόльшую пользу в снижении риска гСН независимо от ССЗ в анамнезе пациентов.
Как и в предыдущих исследованиях, начало приема иНГЛТ-2 было связано со значительным снижением риска смерти от всех причин и сочетания гСН или смерти от всех причин по сравнению с началом приема иДПП-4 у пациентов без ССЗ в анамнезе [12][13][23]. В настоящем исследовании кумулятивная частота смерти от всех причин и сочетания гСН и/или смерти от всех причин также была ниже во всех временных точках после начала лечения. В Японии назначение иНГЛТ-2 остается редким по сравнению с иДПП-4 [16][24]. В действующем японском руководстве по лечению сахарного диабета нет конкретной схемы лечения СД2, и выбор препарата осуществляется лечащим врачом с учетом фармакологического профиля и безопасности, а также возраста пациента и течения заболевания [15]. Фактически иНГЛТ-2 рекомендуется по сравнению с другими противодиабетическими препаратами только у пациентов с атеросклеротическими ССЗ или высоким/очень высоким риском ССЗ в соответствии с европейскими рекомендациями [25], а также у пациентов с СН или высоким риском ССЗ в японском консенсусном заявлении [14]. Таким образом, результаты настоящего исследования показали, что иНГЛТ-2 также могут быть рекомендованы для более широкой популяции пациентов. Кроме того, иНГЛТ-2 являются потенциальными препаратами первой линии для лечения СД2 в Японии с целью предотвращения гСН, смерти от всех причин и сочетания гСН и смерти от всех причин даже у пациентов без ССЗ в анамнезе.
В настоящем исследовании иНГЛТ-2 не были связаны со значительным снижением риска госпитализации по поводу ИМ или инсульта по сравнению с иДПП-4 в полной когорте и обеих подгруппах ССЗ. Эти результаты были аналогичны результатам предыдущих обсервационных исследований [11][12]. Однако противоречивые результаты наблюдались в субанализе исследования «Сравнительная эффективность сердечно-сосудистых исходов у новых пользователей ингибиторов натрий-глюкозного котранспортера-2» (CVD-REAL 2), которое показало, что иНГЛТ-2 значительно снижают риск ИМ и инсульта по сравнению с иДПП-4 [23]. Кроме того, корейское ретроспективное когортное исследование пожилых пациентов с СД2 и недавнее японское когортное исследование пациентов с СД2 без установленных ССЗ и почечных заболеваний показали, что иНГЛТ-2 были связаны со значительно сниженным риском инсульта, но не ИМ, по сравнению с иДПП-4 [10][13]. В настоящем исследовании риск госпитализации по поводу инсульта был значительно снижен у пациентов в возрасте до 75 лет, получавших иНГЛТ-2, по сравнению с иДПП-4, в полной когорте и среди пациентов с ССЗ в анамнезе, но частота госпитализации по поводу ИМ или инсульта была значительно снижена при использовании иНГЛТ-2 по сравнению с иДПП-4 у пациентов в возрасте ≥75 лет без ССЗ в анамнезе. Таким образом, преимущества иНГЛТ-2 при этих сердечно-сосудистых событиях также могут зависеть от характеристик пациента, включая возраст и сопутствующие заболевания.
Сильные стороны настоящего исследования включали статистические методы. Для оценки эффекта лечения у пациентов с СД2 из базы данных MDV использовали обратное взвешивание вероятностей, а эффекты лечения иНГЛТ-2 и иДПП-4 сравнивали с использованием реальных характеристик пациентов, только что начавших терапию препаратами этих классов. В этом исследовании приняли участие 57 070 и 568 669 пациентов, впервые начавших прием иНГЛТ-2 и иДПП-4 соответственно. Средний возраст пациентов был выше, чем в предыдущих исследованиях [12][13][23], что, по-видимому, лучше отражает истинный возраст населения Японии с СД2. Таким образом, метод обратного взвешивания вероятностей мог бы обеспечить бόльшую обобщаемость результатов исследования, чем в предыдущих исследованиях, в которых обычно использовалось сопоставление показателей склонности. Кроме того, предыдущие исследования должны были рассмотреть «систематическую ошибку выжившего» [26]; в настоящем исследовании, поскольку был выбран дизайн для новых пользователей, нам не требовалось устранять эту ошибку.
Ограничения настоящего исследования включали административную базу данных. Мы не смогли учесть какие-либо неизвестные искажающие факторы, которые потенциально определяли выбор терапии и исходы. Поскольку важная клиническая информация и информация о заболевании, включая тяжесть ССЗ в анамнезе пациентов, не была доступна в базе данных MDV, в этом исследовании также не удалось оценить, как тяжесть ССЗ могла повлиять на исходы. База данных также не отслеживает пациентов, если они меняют больницу; следовательно, пациенты могли быть подсчитаны и зарегистрированы несколько раз. Кроме того, смерти, произошедшие вне больниц, не учитывались. Тем не менее, поскольку большинство смертей в Японии происходит в больницах [27], предполагается, что влияние этого ограничения незначительно.
ЗАКЛЮЧЕНИЕ
Настоящее исследование дополнительно подтвердило, что иНГЛТ-2 связаны со значительным снижением сердечно-сосудистых событий в более широкой популяции пациентов с СД2 в Японии, особенно у тех, у кого нет анамнеза ССЗ. Полученные данные свидетельствуют о том, что раннее начало терапии иНГЛТ-2 может оказывать кардиопротективное действие у пациентов без ССЗ в анамнезе. В совокупности иНГЛТ-2 не следует исключать в качестве варианта лечения первой линии для улучшенного и комплексного контроля СД2 и профилактики ССЗ, особенно гСН и смерти от всех причин, у пациентов с СД2.
ДОПОЛНИТЕЛЬНАЯ ИНФОРМАЦИЯ
Благодарности. Это исследование спонсировалось Astellas Pharma Inc. Помощь в составлении медицинских текстов была предоставлена Hana Nomura, BPharm (с отличием), и Prudence Stanford, доктор философии, из ProScribe — Envision Pharma Group, и финансировалась Astellas Pharma Inc. Услуги ProScribe соответствуют международным рекомендациям для надлежащей практики публикации (GPP3). Помощь в разработке протокола и окончательного отчета об исследовании была предоставлена Broadstreet HEOR и профинансирована Astellas Pharma Inc. Astellas Pharma Inc. участвовала в разработке дизайна исследования, сборе данных, анализе данных и подготовке рукописи.
Конфликт интересов. A. Kashiwagi получал финансирование в качестве консультанта группы Sunstar. S. Shoji, S. Onozawa, Y. Kosakai и Y. Ito являются сотрудниками Astellas Pharma Inc. M. Waratani является бывшим сотрудником Astellas Pharma Inc. M. Waratani сменила место работы после завершения исследования; в настоящее время она работает директором по исследованиям экономики здравоохранения и результатов, медицинские вопросы, Alexion Pharma GK Alexion-AstraZeneca Rare Disease, AstraZeneca.
Одобрение протокола исследования. Комитет Японии по рассмотрению протоколов по медицинским вопросам рассмотрел и одобрил протокол исследования до начала исследования.
Информированное согласие: не требуется.
Дата утверждения реестра и регистрационный номер исследования: нет данных.
Исследования на животных: недоступны.
ЗАЯВЛЕНИЕ О ДОСТУПНОСТИ ДАННЫХ
Исследователи могут запросить доступ к анонимным данным участников, данным испытаний и протоколам клинических испытаний, спонсируемых Astellas, на сайте www.clinicalstudydatarequest.com. Критерии Astellas по обмену данными см. на странице https://clinicalstudydatarequest.com/Study-Sponsors/Study-Sponsors-Astellas.aspx
ДОПОЛНИТЕЛЬНЫЕ МАТЕРИАЛЫ
Таблица Д1. Терапевтическая категория: коды ингибиторов натрий-глюкозного котранспортера-2 (иНГЛТ-2) или коды ингибиторов дипептидилпептидазы-4 (иДПП-4)
Препарат | Код YJ† |
иНГЛТ-2 | 3969018, 3969019, 3969020, 3969021, 3969022, 3969023 |
иДПП-4 | 3969010, 3969011, 3969012, 3969014, 3969015, 3969016, 3969017, 3969024, 3969025, 3969103, 3969104, 3969105, 3969109 |
Комбинированные препараты, содержащие фиксированные дозы иНГЛТ-2 и иДПП-4 | 3969106, 3969107, 3969108 |
† Показаны только первые 7 цифр кодов YJ.
иДПП-4 — ингибитор дипептидилпептидазы-4; иНГЛТ-2 — ингибитор натрий-глюкозного котранспортера-2.
Таблица Д2. Сердечно-сосудистый анамнез: заболевания или вмешательства и их коды
Заболевание или вмешательство | Тип кода | Код |
Сердечная недостаточность | МКБ-10 | I50 |
Инфаркт миокарда | МКБ-10 | I21 |
Нестабильная стенокардия | МКБ-10 | I20 |
Инсульт | МКБ-10 | I60–I64 |
Фибрилляция предсердий | МКБ-10 | I48 |
Окклюзия периферической артерии | МКБ-10 | I74.2–I74.4 |
Код операции | K614 | |
Чрескожные вмешательства на коронарных артериях | Код операции | K546–K550 |
Коронарное шунтирование | Код операции | K551, K552 |
МКБ-10 — Международная классификация болезней, 10-й пересмотр.
Таблица Д3. Диагностические коды индекса коморбидности Чарлсона
Сопутствующие заболевания | МКБ-10 | Несовместимое событие | Балл |
Инфаркт миокарда | I21.x, I22.x, I25.2 | 1 | |
Застойная сердечная недостаточность | I09.9, I11.0, I13.0, I13.2, I25.5, I42.0, I42.5–I42.9, I43.x, I50.x, P29.0 | 1 | |
Заболевания периферических сосудов | I70.x, I71.x, I73.1, I73.8, I73.9, I77.1, I79.0, I79.2, K55.1, K55.8, K55.9, Z95.8, Z95.9 | 1 | |
Цереброваскулярные заболевания | G45.x, G46.x, H34.0, I60.x-I69.x | 1 | |
Деменция | F00.x-F03.x, F05.1, G30.x, G31.1 | 1 | |
Хронические заболевания легких | I27.8, I27.9, J40.x-J47.x, J60.x-J67.x, J68.4, J70.1, J70.3 | 1 | |
Ревматоидный артрит | M05.x, M06.x, M31.5, M32.x-M34.x, M35.1, M35.3, M36.0 | 1 | |
Язвенная болезнь желудка | K25.x-K28.x | 1 | |
Легкие поражения печени | B18.x, K70.0–K70.3, K70.9, K71.3–K71.5, K71.7, K73.x, K74.x, K76.0, K76.2–K76.4, K76.8, K76.9, Z94.4 | не «умеренные и тяжелые поражения печени» | 1 |
Сахарный диабет неосложненный | E10, E11, E12, E13, E14, E10.0, E10.1, E10.6, E10.8, E10.9, E11.0, E11.1, E11.6, E11.8, E11.9, E12.0, E12.1, E12.6, E12.8, E12.9, E13.0, E13.1, E13.6, E13.8, E13.9, E14.0, E14.1, E14.6, E14.8, E14.9 | не «сахарный диабет осложненный» | 1 |
Сахарный диабет осложненный | E10.2–E10.5, E10.7, E11.2–E11.5, EE11.7, E12.2–E12.5, E12.7, E13.2–E13.5, E13.7, E14.2–E14.5, E14.7 | 2 | |
Гемиплегия или параплегия | G04.1, G11.4, G80.1, G80.2, G81.x, G82.x, G83.0–G83.4, G83.9 | 2 | |
Заболевание почек | I12.0, I13.1, N03.2–N03.7, N05.2–N05.7, N18.x, N19.x, N25.0, Z49.0–Z49.2, Z94.0, Z99.2 | 2 | |
Любые злокачественные новообразования, в том числе лимфома и лейкоз, кроме злокачественных новообразований кожи | C00.x-C26.x, C30.x-C34.x, C37.x-C41.x, C43.x, C45.x-C58.x, C60.x-C76.x, C81.x-C85.x, C88.x, C90.x-C97.x | не «метастазы солидных опухолей» | 2 |
Умеренные или тяжелые поражения печени | I85.0, I85.9, I86.4, I98.2, K70.4, K71.1, K72.1, K72.9, K76.5, K76.6, K76.7 | 3 | |
Метастазы солидных опухолей | C77.x-C80.x | 6 | |
СПИД/ВИЧ-инфекция | B20.x-B22.x, B24.x | 6 |
МКБ-10 — Международная классификация болезней; ВИЧ — вирус иммунодефицита человека; 10-й пересмотр; СПИД — синдром приобретенного иммунодефицита.
Таблица Д4. Коды Адаптированной шкалы оценки тяжести осложнений сахарного диабета (Adapted Diabetes Complications Severity Index — aDCSI)†
Балл | Оригинальная DCSI, использующая МКБ-9 [1] | Коды МКБ-10 или коды диагнозов по японскому стандарту для aDCSI | ||
Ретинопатия | ||||
1 | 250.5x | Болезни глаз, обусловленные сахарным диабетом | E11.3 | Сахарный диабет 2-го типа с офтальмологическими осложнениями |
362.01 | Фоновая диабетическая ретинопатия | E14.3 | Сахарный диабет неуточненный с офтальмологическими осложнениями | |
1 | 362.1 | Другие фоновые ретинопатии и изменения сосудов сетчатки | H35.0 | Фоновая ретинопатия и изменения сосудов сетчатки |
362.81 362.82 362.83 | Кровоизлияние в сетчатку Ретинальный экссудат и депозиты Отек сетчатки | H35.6 H35.8 H35.9 | Кровоизлияние в сетчатку Другие уточненные поражения сетчатки Неуточненные поражения сетчатки | |
1 | 362.53 | Кистоидная макулярная дегенерация | 8830980 8838768 | Кистоидный отек макулы |
2 | 361.xx | Отслойка сетчатки | H33.x | Отслойка и разрывы сетчатки |
2 | 362.02 | Пролиферативная ретинопатия | H35.2 | Другая пролиферативная ретинопатия |
2 | 369.xx | Слепота или резкое падение зрения | H54.x | Слепота или резкое падение зрения |
2 | 379.23 | Кровоизлияние в стекловидное тело | H43.1 | Кровоизлияние в стекловидное тело |
Нефропатия‡ | ||||
1 | 250.4 | Сахарный диабет с почечными проявлениями | E11.2 | Сахарный диабет 2-го типа с поражением почек |
E14.2 | Сахарный диабет неуточненный с поражением почек | |||
1 | 580 | Острый гломерулонефрит | N00.x | Острый нефротический синдром |
1 | 581 | Нефротический синдром | N04.x | Нефротический синдром |
1 | 581.81 | Нефротический синдром по другой классификации | N08.x | Гломерулярные расстройства при других заболеваниях |
1 | 582 | Хронический гломерулонефрит | N03.x | Хронический нефротический синдром |
1 | 583 | Нефрит или нефропатия без указания острого или хронического характера | N05.x | Нефротический синдром неуточненный |
1 | – | – | 8844106 8847577 8847578 8847579 8847580 8847581 | Хроническая болезнь почек (ХБП) ХБП, стадия 1 ХБП, стадия 2 ХБП, стадия 3 ХБП, стадия 3a ХБП, стадия 3b |
1 | Лабораторный показатель | Белок мочи ≥30 мг/л Протеинурия по данным исследования тест-полоской | – | – |
1 | Лабораторный показатель | Креатинин сыворотки ≥1,5, но ≤2,0 мг% | – | – |
2 | 585 586 593.9 | Хроническая болезнь почек Почечная недостаточность, NO-синтаза Заболевание почек и мочеточников без точного указания характера | 8847582 8847583 8848103 N18.0 | ХБП, стадия 4 ХБП, стадия 5 ХБП, стадия 5d Конечная стадия заболевания почек |
N18.9 | Хроническая почечная недостаточность неуточненная | |||
N19.x | Почечная недостаточность неуточненная | |||
2 | Лабораторный показатель | Креатинин сыворотки > 2 мг% | – | – |
Нейропатия | ||||
1 | 250.6 | Сахарный диабет с неврологическими проявлениями | E11.4 | Сахарный диабет 2-го типа с неврологическими осложнениями |
357.2 | Диабетическая полинейропатия | E14.4 | Сахарный диабет неуточненный с неврологическими осложнениями | |
1 | 337.0 | Идиопатическая периферическая автономная нейропатия | G90.0 | Идиопатическая периферическая автономная нейропатия |
337.1 | Периферическая автономная нейропатия при других неклассифицированных расстройствах | |||
1 | 354.x 355.x | Мононеврит верхней или нижней конечности и множественная мононейропатия | G56.x G57.x G58.7 | Мононейропатия верхней конечности Мононейропатия нижней конечности Множественная мононейропатия |
1 | 356.9 | Наследственная неуточненная или идиопатическая периферическая нейропатия | G60.9 | Наследственная или идиопатическая нейропатия неуточненная |
1 | 358.1 | Миастенический синдром при других заболеваниях | G73.0 | Миастенические синдромы при эндокринных заболеваниях |
1 | 458.0 | Ортостатическая гипотония | I95.1 | Ортостатическая гипотония |
1 | 536.3 | Гастропарез | 8848108 | Диабетический гастропарез |
1 | 564.5 | Функциональная диарея | K59.1 | Функциональная диарея |
1 | 596.54 | Нейрогенный мочевой пузырь, NO-синтаза | N31.9 | Нервно-мышечная дисфункция мочевого пузыря неуточненная |
1 | 713.5 | Артропатия, связанная с неврологическими расстройствами | M14.6 | Сустав Шарко |
1 | 951.0 951.1 951.3 | Повреждение глазодвигательного, блокового, отводящего нервов | S04.x H49.0 H49.1 H49.2 | Поражение черепного нерва Паралич третьего [глазодвигательного] нерва Паралич четвертого [блокового] нерва Паралич шестого [отводящего] нерва |
Цереброваскулярные поражения | ||||
1 | 435 | Преходящая ишемическая атака | G45.x | Преходящая ишемическая атака и родственные ей синдромы |
2 | 431 | Внутричерепное кровоизлияние | I61.x | Внутричерепное кровоизлияние |
2 | 433 434 | Окклюзия или стеноз прецеребральных артерий Окклюзия церебральных артерий | I63.x I64.x I65.x I66.x I69.0 | Церебральный инфаркт Инсульт, геморрагический или ишемический, без уточнения Окклюзия и стеноз прецеребральных артерий без церебрального инфаркта Окклюзия и стеноз церебральных артерий без церебрального инфаркта Последствия цереброваскулярных поражений |
2 | 436 | Острое цереброваскулярное поражение, не поддающееся точному определению | – | – |
Сердечно-сосудистые поражения | ||||
1 | 411 | Острая или подострая ишемия миокарда | I24.x | Другая острая ишемическая болезнь сердца |
1 | 413 | Стенокардия | I20.x | Стенокардия |
1 | 414 | Другие формы хронической ишемической болезни сердца | I25.0, I25.1, I25.3–I25.9 | Хроническая ишемическая болезнь сердца |
1 | 429.2 | Сердечно-сосудистое заболевание без точного указания диагноза | – | – |
1 | 440.x, исключаются 440.23, 440.24 | Атеросклероз | I70.0, I70.1, I70.8, I70.9 | Атеросклероз |
2 | 410 | Острый инфаркт миокарда | I21.x I22.x I23.x | STEMI и NSTEMI Последующий STEMI и NSTEMI Осложнения STEMI и NSTEMI |
2 | 412 | Инфаркт миокарда в прошлом | I25.2 | Инфаркт миокарда в прошлом |
2 | 427.1 | Пароксизмальная желудочковая тахикардия | I47.2 | Желудочковая тахикардия |
2 | 427.3 | Фибрилляция/трепетание предсердий | I48.x | Фибрилляция и трепетание предсердий |
2 | 427.4 | Фибрилляция/трепетание желудочков | I49.0 | Фибрилляция и трепетание желудочков |
2 | 427.5 | Остановка сердечной деятельности | I46.x | Остановка сердечной деятельности |
2 | 428.x | Сердечная недостаточность | I50.x | Сердечная недостаточность |
2 | 440.23, 440.24 | Атеросклероз непротезированных артерий конечностей с изъязвлением и (или) гангреной | I70.2 | Атеросклероз артерий конечностей |
2 | 441 | Аневризма аорты/расслаивающая | I71.x | Аневризма аорты/расслаивающая |
Поражения периферических сосудов | ||||
1 | 250.7 | Диабетические расстройства периферического кровообращения | E11.5 E14.5 | Сахарный диабет 2-го типа, осложненный расстройствами периферического кровообращения Сахарный диабет неуточненный, осложненный расстройствами периферического кровообращения |
1 | 442.3 | Аневризма артерии нижней конечности | I72.4 | Аневризма артерии нижней конечности |
1 | 443.81 443.9 | Периферическая ангиопатия при других заболеваниях Заболевание периферических сосудов неуточненное | I73.9 | Заболевание периферических сосудов неуточненное Перемежающаяся хромота |
1 | 892.1 | Только открытая рана стопы, кроме пальцев, осложненная | S91.3 | Открытая рана стопы |
2 | 040.0 | Газовая гангрена | A48.0 | Газовая гангрена |
2 | 444.22 | Эмболия и тромбоз артерии нижней конечности | I74.3 | Эмболия и тромбоз артерий нижних конечностей |
2 | 707.1x | Язва нижней конечности, кроме декубитальной | L97.x | Язва нижней конечности, не имеющая иного диагностического кода |
2 | 785.4 | Гангрена | R02.x | Гангрена, не имеющая иного диагностического кода |
Метаболические расстройства | ||||
2 | 250.1 | Диабетический кетоацидоз | E11.1 E14.1 | Сахарный диабет 2-го типа с кетоацидотическими осложнениями Сахарный диабет неуточненный с кетоацидотическими осложнениями |
2 | 250.2 250.3 | Диабетическая гиперосмолярная кома Иная диабетическая кома | E11.0 E14.0 | Сахарный диабет 2-го типа с комой Сахарный диабет неуточненный с комой |
† Использована версия МКБ-10 2003 г. Алгоритм двух предшествующих исследований [2][3] использовал коды МКБ-10. В оригинальной статье при описаниях, не соответствующих перечню ВОЗ, коды не изменяли, но пересматривали описание.
‡ Использовали доступные лабораторные показатели. Если критерии по лабораторному показателю и по диагнозу не соответствовали друг другу, выбирали соответствующий более тяжелому осложнению.
aDCSI — адаптированная шкала оценки тяжести осложнений сахарного диабета; DCSI — шкала оценки тяжести осложнений сахарного диабета; NO-синтаза — синтаза оксида азота; NSTEMI — инфаркт миокарда без повышения сегмента ST; STEMI — инфаркт миокарда с повышением сегмента ST; ВОЗ — Всемирная организация здравоохранения; МКБ-9/10 — Международная классификация болезней, 9-й и 10-й пересмотр.
Таблица Д5. Невзвешенные индексы терапии
Индекс терапии, n (%) | Вся группа | Имеющие в анамнезе сердечно-сосудистые заболевания | Не имеющие в анамнезе сердечно-сосудистых заболеваний |
иНГЛТ-2 | 57 070 | 23 015 | 34 055 |
Эмпаглифлозин | 18 453 (32,3) | 8 721 (37,9) | 9 732 (28,6) |
Дапаглифлозин | 12 038 (21,1) | 4 684 (20,4) | 7 354 (21,6) |
Ипраглифлозин | 8 717 (15,3) | 3 072 (13,3) | 5 645 (16,6) |
Канаглифлозин | 8 396 (14,7) | 3 232 (14,0) | 5 164 (15,2) |
Тофоглифлозин | 5 623 (9,9) | 1 984 (8,6) | 3 639 (10,7) |
Лузеоглифлозин | 3 902 (6,8) | 1 343 (5,8) | 2 559 (7,5) |
иДПП-4 | 568 669 | 237 923 | 330 746 |
Ситаглиптин | 217 424 (38,2) | 85 425 (35,9) | 131 999 (39,9) |
Линаглиптин | 122 965 (21,6) | 59 994 (25,2) | 62 971 (19,0) |
Вилдаглиптин | 88 960 (15,6) | 35 756 (15,0) | 53 204 (16,1) |
Тенелиглиптин | 68 596 (12,1) | 30 018 (12,6) | 38 578 (11,7) |
Алоглиптин | 42 571 (7,5) | 16 588 (7,0) | 25 983 (7,9) |
Саксаглиптин | 14 951 (2,6) | 5 524 (2,3) | 9 427 (2,9) |
Анаглиптин | 7 909 (1,4) | 2 839 (1,2) | 5 070 (1,5) |
Трелаглиптин | 3 152 (0,6) | 1 107 (0,5) | 2 045 (0,6) |
Омариглиптин | 3 106 (0,5) | 1 114 (0,5) | 1 992 (0,6) |
иДПП-4 — ингибитор дипептидилпептидазы-4; иНГЛТ-2 — ингибитор натрий-глюкозного котранспортера-2.
Таблица Д6. Приверженность терапии
Приверженность терапии, дни† | Вся группа | Имеющие в анамнезе сердечно-сосудистые заболевания | Не имеющие в анамнезе сердечно-сосудистых заболеваний | |||
иНГЛТ-2 (n=57 070) | иДПП-4 (n=568 669) | иНГЛТ-2 (n=23 015) | иДПП-4 (n=237 923) | иНГЛТ-2 (n=34 055) | иДПП-4 (n=330 746) | |
Средняя (SD) | 228,7 (338,05) | 200,1 (360,32) | 220,1 (321,56) | 206,8 (368,87) | 234,4 (348,64) | 195,3 (353,97) |
Медианная [Q1; Q3] | 70 [ 14; 302] | 36 [ 11; 187] | 68 [ 15; 301] | 37 [ 13; 191] | 70 [ 14; 306] | 35 [ 10; 183] |
† Приверженность терапии определялась как продолжительность периода от даты наступления индексного события до прекращения терапии.
Q — квартиль; SD — стандартное отклонение; иДПП-4 — ингибитор дипептидилпептидазы-4; иНГЛТ-2 — ингибитор натрий-глюкозного котранспортера-2.
Таблица Д7. Анализ чувствительности: отношения риска госпитализации по поводу сердечной недостаточности, обратная взвешенная вероятность
Отношение риска (95% ДИ) | Вся группа (n=623 705) | Имеющие в анамнезе сердечно-сосудистые заболевания (n=260 224) | Не имеющие в анамнезе сердечно-сосудистых заболеваний (n=364 155) |
Госпитализация по поводу сердечной недостаточности | |||
Анализ чувствительности 1† | 0,961 (0,777–1,189) | 0,996 (0,703–1,413) | 0,583 (0,325–1,045) |
Анализ чувствительности 2‡ | 1,013 (0,829–1,237) | 1,021 (0,753–1,385) | 0,638 (0,341–1,195) |
Анализ чувствительности 3§ | 0,936 (0,763–1,148) | 0,979 (0,704–1,360) | 0,502 (0,281–0,895)* |
Анализ чувствительности 4¶ | 0,946 (0,773–1,157) | 0,991 (0,716–1,370) | 0,512 (0,286–0,915)* |
Анализ чувствительности 5‖ | 0,906 (0,769–1,068) | 0,888 (0,744–1,061) | 0,515 (0,288–0,920)* |
† Анализ чувствительности с периодом отсрочки 30 дней (вся группа: n=623 705; имеющие в анамнезе сердечно-сосудистые заболевания: n=260 224; не имеющие в анамнезе сердечно-сосудистых заболеваний: n=364 155).
‡ Анализ чувствительности с исключением пациентов, наблюдавшихся менее 30 дней (вся группа: n=388 639; имеющие в анамнезе сердечно-сосудистые заболевания: n=167 361; не имеющие в анамнезе сердечно-сосудистых заболеваний: n=222 541).
§ Анализ чувствительности обратной взвешенной вероятности по многовариантной модели Кокса с коррекцией по датам наступления индексного события (вся группа: n=623 705; имеющие в анамнезе сердечно-сосудистые заболевания: n=260 224; не имеющие в анамнезе сердечно-сосудистых заболеваний: n=364 155).
¶ Анализ чувствительности по модели Файна–Грея (вся группа: n=623 705; имеющие в анамнезе сердечно-сосудистые заболевания: n=260 224; не имеющие в анамнезе сердечно-сосудистых заболеваний: n=364 155). Смерть включалась как конкурирующее событие.
‖ Анализ чувствительности с усеченной весомостью (вся группа: n=620 998; имеющие в анамнезе сердечно-сосудистые заболевания: n=258 919; не имеющие в анамнезе сердечно-сосудистых заболеваний: n=362 555).
* Значительно более низкая обратная взвешенная вероятность отношения риска госпитализации по поводу сердечной недостаточности у получавших иНГЛТ-2 по сравнению с получавшими иДПП-4.
ДИ — доверительный интервал; иДПП-4 — ингибитор дипептидилпептидазы-4; иНГЛТ-2 — ингибитор натрий-глюкозного котранспортера-2.
Таблица Д8. Взвешенная оценка кумулятивной частоты сердечно-сосудистых событий для искомых периодов по Каплану–Мейеру во всей группе
Расчетная кумулятивная частота, % (95% ДИ) | иНГЛТ-2 (n=53 772) | иДПП-4 (n=569 933) |
Госпитализация по поводу сердечной недостаточности | ||
30 дней | 0,36 (0,27–0,48) | 0,18 (0,17–0,19)† |
60 дней | 0,62 (0,49–0,79) | 0,42 (0,39–0,44)† |
90 дней | 0,72 (0,57–0,90) | 0,62 (0,59–0,65) |
180 дней | 1,02 (0,83–1,25) | 1,05 (1,00–1,09) |
1 год | 1,46 (1,19–1,78) | 1,71 (1,64–1,78) |
3 года | 2,90 (2,36–3,56) | 3,65 (3,51–3,79) |
Смерть от любых причин | ||
30 дней | 0,53 (0,42–0,67)‡ | 0,70 (0,68–0,73) |
60 дней | 0,81 (0,66–0,99)‡ | 1,14 (1,10–1,18) |
90 дней | 1,05 (0,87–1,27)‡ | 1,48 (1,44–1,53) |
180 дней | 1,41 (1,18–1,67)‡ | 2,25 (2,19–2,32) |
1 год | 2,20 (1,86–2,60)‡ | 3,41 (3,32–3,50) |
3 года | 3,21 (2,65–3,89)‡ | 6,56 (6,39–6,74) |
Госпитализация по поводу сердечной недостаточности или смерть от любых причин | ||
30 дней | 0,89 (0,74–1,07) | 0,88 (0,85–0,91) |
60 дней | 1,42 (1,22–1,66) | 1,53 (1,49–1,58) |
90 дней | 1,76 (1,52–2,03) | 2,07 (2,01–2,12) |
180 дней | 2,37 (2,07–2,71)‡ | 3,22 (3,14–3,29) |
1 год | 3,51 (3,08–3,99)‡ | 4,94 (4,83–5,05) |
3 года | 5,87 (5,10–6,75)‡ | 9,51 (9,30–9,72) |
Госпитализация по поводу инфаркта миокарда | ||
30 дней | 0,05 (0,02–0,11) | 0,04 (0,03–0,04) |
60 дней | 0,06 (0,03–0,13) | 0,08 (0,07–0,09) |
90 дней | 0,12 (0,07–0,22) | 0,11 (0,09–0,12) |
180 дней | 0,17 (0,10–0,30) | 0,16 (0,14–0,18) |
1 год | 0,28 (0,18–0,45) | 0,25 (0,22–0,27) |
3 года | 0,43 (0,26–0,71) | 0,65 (0,59–0,71) |
Госпитализация по поводу инсульта | ||
30 дней | 0,18 (0,12–0,28) | 0,16 (0,14–0,17) |
60 дней | 0,28 (0,19–0,40) | 0,37 (0,35–0,40) |
90 дней | 0,35 (0,25–0,49) | 0,52 (0,49–0,55) |
180 дней | 0,59 (0,44–0,78) | 0,82 (0,78–0,86) |
1 год | 1,13 (0,89–1,43) | 1,25 (1,20–1,31) |
3 года | 2,24 (1,76–2,86) | 2,71 (2,59–2,83) |
† Более низкая кумулятивная частота события у получавших иДПП-4 по сравнению с получавшими иНГЛТ-2 без частичного совпадения 95% ДИ каждой из групп.
‡ Более низкая кумулятивная частота события у получавших иНГЛТ-2 по сравнению с получавшими иДПП-4 без частичного совпадения 95% ДИ каждой из групп.
ДИ — доверительный интервал; иДПП-4 — ингибитор дипептидилпептидазы-4; иНГЛТ-2 — ингибитор натрий-глюкозного котранспортера-2.
Таблица Д9. Взвешенная оценка кумулятивной частоты сердечно-сосудистых событий для искомых периодов по Каплану–Мейеру при наличии сердечно-сосудистых заболеваний в анамнезе
Расчетная кумулятивная частота, % (95% ДИ) | иНГЛТ-2 (n=21 651) | иДПП-4 (n=238 574) |
Госпитализация по поводу сердечной недостаточности | ||
30 дней | 0,94 (0,69–1,28) | 0,38 (0,35–0,41)† |
60 дней | 1,47 (1,13–1,90) | 0,85 (0,80–0,90)† |
90 дней | 1,65 (1,29–2,12) | 1,24 (1,17–1,31) |
180 дней | 2,15 (1,70–2,71) | 2,07 (1,97–2,17) |
1 год | 2,93 (2,34–3,67) | 3,27 (3,13–3,40) |
3 года | 4,95 (3,86–6,35) | 6,57 (6,31–6,84) |
Смерть от любых причин | ||
30 дней | 0,72 (0,51–1,01) | 0,90 (0,86–0,95) |
60 дней | 1,00 (0,73–1,35)‡ | 1,43 (1,36–1,49) |
90 дней | 1,36 (1,03–1,79) | 1,81 (1,73–1,88) |
180 дней | 1,74 (1,35–2,25) | 2,64 (2,54–2,75) |
1 год | 2,25 (1,75–2,89)‡ | 3,87 (3,73–4,01) |
3 года | 3,20 (2,31–4,42)‡ | 7,51 (7,24–7,79) |
Госпитализация по поводу сердечной недостаточности или смерть от любых причин | ||
30 дней | 1,65 (1,31–2,07) | 1,27 (1,21–1,32) |
60 дней | 2,45 (2,01–2,98) | 2,23 (2,15–2,31) |
90 дней | 2,98 (2,48–3,58) | 2,97 (2,88–3,08) |
180 дней | 3,78 (3,18–4,49) | 4,54 (4,41–4,68) |
1 год | 4,88 (4,12–5,78)‡ | 6,78 (6,60–6,97) |
3 года | 7,68 (6,29–9,37)‡ | 12,77 (12,43–13,13) |
Госпитализация по поводу инфаркта миокарда | ||
30 дней | 0,10 (0,04–0,26) | 0,07 (0,06–0,08) |
60 дней | 0,11 (0,05–0,28) | 0,13 (0,11–0,15) |
90 дней | 0,22 (0,11–0,45) | 0,16 (0,14–0,19) |
180 дней | 0,30 (0,16–0,58) | 0,25 (0,22–0,28) |
1 год | 0,49 (0,28–0,87) | 0,37 (0,33–0,42) |
3 года | 0,72 (0,37–1,40) | 0,91 (0,80–1,02) |
Госпитализация по поводу инсульта | ||
30 дней | 0,35 (0,21–0,58) | 0,32 (0,29–0,35) |
60 дней | 0,54 (0,35–0,83) | 0,70 (0,66–0,75) |
90 дней | 0,67 (0,45–0,99) | 0,97 (0,91–1,03) |
180 дней | 1,02 (0,72–1,45) | 1,45 (1,37–1,53) |
1 год | 1,86 (1,38–2,52) | 2,11 (2,01–2,22) |
3 года | 3,41 (2,42–4,80) | 4,40 (4,18–4,63) |
† Более низкая кумулятивная частота события у получавших иДПП-4 по сравнению с получавшими иНГЛТ-2 без частичного совпадения 95% ДИ каждой из групп..
‡ Более низкая кумулятивная частота события у получавших иНГЛТ-2 по сравнению с получавшими без частичного совпадения 95% ДИ каждой из групп.
ДИ — доверительный интервал; иДПП-4 — ингибитор дипептидилпептидазы-4; иНГЛТ-2 — ингибитор натрий-глюкозного котранспортера-2.
Таблица Д10. Взвешенная оценка кумулятивной частоты сердечно-сосудистых событий для искомых периодов по Каплану–Мейеру при отсутствии сердечно-сосудистых заболеваний в анамнезе
Расчетная кумулятивная частота, % (95% ДИ) | иНГЛТ-2 (n=33 159) | иДПП-4 (n=330 996) |
Госпитализация по поводу сердечной недостаточности | ||
30 дней | 0,02 (0,00–0,12) | 0,03 (0,02–0,04) |
60 дней | 0,02 (0,01–0,12) | 0,10 (0,08–0,12) |
90 дней | 0,02 (0,01–0,12)† | 0,16 (0,14–0,19) |
180 дней | 0,14 (0,06–0,33) | 0,30 (0,27–0,33) |
1 год | 0,15 (0,07–0,35)† | 0,57 (0,51–0,62) |
3 года | 0,94 (0,54–1,62) | 1,39 (1,28–1,52) |
Смерть от любых причин | ||
30 дней | 0,40 (0,28–0,57) | 0,56 (0,53–0,59) |
60 дней | 0,73 (0,55–0,97) | 0,92 (0,88–0,97) |
90 дней | 0,89 (0,68–1,16)† | 1,25 (1,19–1,31) |
180 дней | 1,22 (0,95–1,56)† | 1,97 (1,89–2,05) |
1 год | 2,30 (1,83–2,89)† | 3,07 (2,96–3,19) |
3 года | 3,30 (2,59–4,20)† | 5,84 (5,63–6,07) |
Госпитализация по поводу сердечной недостаточности или смерть от любых причин | ||
30 дней | 0,43 (0,30–0,60) | 0,59 (0,55–0,62) |
60 дней | 0,75 (0,57–1,00) | 1,02 (0,97–1,07) |
90 дней | 0,91 (0,70–1,19)† | 1,40 (1,34–1,46) |
180 дней | 1,36 (1,07–1,73)† | 2,24 (2,16–2,33) |
1 год | 2,45 (1,96–3,05)† | 3,58 (3,46–3,71) |
3 года | 4,20 (3,37–5,24)† | 6,99 (6,76–7,24) |
Госпитализация по поводу инфаркта миокарда | ||
30 дней | 0,03 (0,01–0,12) | 0,01 (0,01–0,02) |
60 дней | 0,04 (0,01–0,14) | 0,04 (0,03–0,06) |
90 дней | 0,04 (0,01–0,14) | 0,06 (0,04–0,07) |
180 дней | 0,06 (0,02–0,20) | 0,09 (0,07–0,11) |
1 год | 0,10 (0,04–0,28) | 0,15 (0,13–0,18) |
3 года | 0,18 (0,06–0,49) | 0,44 (0,38–0,52) |
Госпитализация по поводу инсульта | ||
30 дней | 0,05 (0,02–0,15) | 0,04 (0,03–0,05) |
60 дней | 0,07 (0,03–0,18) | 0,13 (0,11–0,15) |
90 дней | 0,09 (0,04–0,21) | 0,20 (0,17–0,22) |
180 дней | 0,23 (0,12–0,43) | 0,35 (0,32–0,39) |
1 год | 0,50 (0,30–0,82) | 0,62 (0,57–0,68) |
3 года | 1,41 (0,94–2,09) | 1,40 (1,28–1,52) |
† Более низкая кумулятивная частота события у получавших иНГЛТ-2 по сравнению с получавшими без частичного совпадения 95% ДИ каждой из групп.
ДИ — доверительный интервал; иДПП-4 — ингибитор дипептидилпептидазы-4; иНГЛТ-2 — ингибитор натрий-глюкозного котранспортера-2.
Таблица Д11. Взвешенные демографические и исходные клинические характеристики пациентов с сердечно-сосудистыми заболеваниями в анамнезе, госпитализированных по поводу сердечной недостаточности в первые 30 дней от начала терапии†
Характеристика‡ | иНГЛТ-2 | иДПП-4 | ||||
с гипогликемией (n=54, 37,8%) | без гипогликемии (n=89, 62,2%) | SMD | с гипогликемией (n=8, 1,2%) | без гипогликемии (n=636, 98,8%) | SMD | |
Возраст (лет) | ||||||
Медиана [Q1; Q3] | 85 [ 85; 85] | 79 [ 68; 89] | 0,9067 | 77 [ 77; 81] | 76 [ 66; 83] | 0,4269 |
Среднее§ (SD) | 84,7 (2,19) | 76,3 (12,84) | 78,6 (8,80) | 73,9 (12,87) | ||
Мужской пол | 54 (100,0) | 67 (75,4) | 0,8071 | 4 (50,8) | 410 (64,4) | 0,2775 |
ИМТ (кг/м2), среднее (SD) | 22,2 (0,98) | 22,9 (4,64) | 0,2062 | 23,8 (3,32) | 23,8 (3,35) | 0,0037 |
HbA1c (%), n | 0 | 8 | 2 | 59 | ||
Среднее (SD) | – | 8,8 (2,15) | – | 8,5 (2,15) | 7,4 (1,39) | 0,6353 |
Индекс коморбидности по Чарлсону, среднее (SD) | 4,9 (0,47) | 4,1 (1,57) | 0,7150 | 4,5 (2,99) | 4,1 (1,93) | 0,1631 |
Оценка по aDCSI, среднее (SD) | 4,0 (0,31) | 3,1 (1,58) | 0,7907 | 3,1 (1,46) | 3,0 (1,39) | 0,0645 |
Статус относительно курения, n | 54 | 52 | 5 | 387 | ||
Курящий | 1 (2,5) | 38 (73,0) | 2,1191 | 2 (41,0) | 176 (45,6) | 0,0929 |
Индексный год¶ | ||||||
2015 | 52 (97,5) | 3 (3,6) | 5,4784 | 2 (24,1) | 83 (13,1) | 0,2857 |
2016 | 1 (2,5) | 8 (8,6) | 0,2701 | 1 (12,5) | 117 (18,4) | 0,1643 |
2017 | 0 | 9 (10,5) | 0,4852 | 0 | 138 (21,7) | 0,7436 |
2018 | 0 | 39 (43,5) | 1,2405 | 3 (37,5) | 130 (20,4) | 0,3836 |
2019 | 0 | 26 (28,8) | 0,9001 | 2 (25,9) | 130 (20,4) | 0,1297 |
2020 | 0 | 4 (5,0) | 0,3235 | 0 | 38 (6,0) | 0,3567 |
Сопутствующие заболевания | ||||||
Хроническая болезнь почек | 52 (97,5) | 29 (32,0) | 1,8864 | 2 (24,8) | 159 (25,0) | 0,0044 |
Нефропатия | 52 (97,5) | 36 (40,1) | 1,5820 | 2 (24,8) | 210 (33,1) | 0,1836 |
Ретинопатия | 0 | 11 (12,6) | 0,5376 | 2 (25,5) | 64 (10,0) | 0,4142 |
Инфаркт миокарда | 0 | 10 (11,4) | 0,5077 | 0 | 87 (13,7) | 0,5628 |
Инсульт | 0 | 3 (3,4) | 0,2640 | 1 (12,5) | 72 (11,3) | 0,0352 |
Сердечная недостаточность | 52 (97,5) | 81 (90,3) | 0,3075 | 6 (74,4) | 553 (87,0) | 0,3222 |
Стенокардия | 1 (2,5) | 29 (32,2) | 0,8542 | 6 (74,5) | 268 (42,1) | 0,6972 |
Фибрилляция предсердий | 0 | 50 (56,0) | 1,5957 | 3 (37,6) | 241 (37,9) | 0,0044 |
Заболевание периферических артерий | 0 | 0 (0,2) | 0,0690 | 0 | 6 (0,9) | 0,1329 |
Гипертония | 52 (97,5) | 76 (85,5) | 0,4437 | 7 (86,6) | 510 (80,1) | 0,1743 |
Дислипидемия | 54 (100,0) | 36 (40,5) | 1,7126 | 3 (37,0) | 323 (50,8) | 0,2808 |
Медикаментозная терапия | ||||||
Бигуаниды | 54 (100,0) | 11 (12,1) | 3,8161 | 1 (12,5) | 57 (8,9) | 0,1157 |
Препараты сульфонилмочевины | 52 (97,5) | 6 (7,2) | 4,2446 | 1 (12,5) | 114 (17,8) | 0,1503 |
Агонисты рецептора ГПП-1 | 0 | 0 (0,4) | 0,0863 | 0 | 3 (0,5) | 0,0969 |
Глиниды | 0 | 2 (2,2) | 0,2121 | 0 | 32 (5,0) | 0,3257 |
Тиазолидиндион как единственный препарат и в сочетании с бигуанидом или производным сульфонилмочевины | 1 (2,5) | 1 (0,9) | 0,1183 | 0 | 18 (2,9) | 0,2436 |
Ингибитор альфа-глюкозидазы | 54 (100,0) | 12 (13,0) | 3,6554 | 1 (12,2) | 72 (11,3) | 0,0269 |
Препараты инсулина | 54 (100,0) | 25 (27,5) | 2,2962 | 3 (36,7) | 193 (30,4) | 0,1337 |
Гиполипидемический препарат (статин, фибрат, эзетимиб) | 54 (100,0) | 30 (33,1) | 2,0102 | 2 (24,5) | 279 (43,9) | 0,4166 |
Альфа-блокатор | 0 | 8 (8,8) | 0,4387 | 0 | 37 (5,8) | 0,3519 |
Бета-блокатор | 1 (2,5) | 50 (56,1) | 1,4599 | 3 (36,8) | 310 (48,7) | 0,2424 |
Блокатор кальциевых каналов | 54 (100,0) | 27 (30,4) | 2,1375 | 4 (50,4) | 241 (37,8) | 0,2549 |
Ингибиторы АПФ | 0 | 19 (21,1) | 0,7321 | 1 (13,1) | 141 (22,2) | 0,2409 |
БРА | 52 (97,5) | 16 (17,6) | 2,7472 | 4 (49,0) | 168 (26,4) | 0,4804 |
БРА + блокатор кальциевых каналов | 0 | 3 (3,4) | 0,2639 | 0 | 20 (3,1) | 0,2544 |
БРА + диуретики | 0 | 1 (0,9) | 0,1350 | 0 | 8 (1,2) | 0,1582 |
Диуретики | 0 | 72 (80,4) | 2,8659 | 7 (86,9) | 455 (71,5) | 0,3871 |
Антагонисты альдостерона | 0 | 27 (29,8) | 0,9206 | 1 (12,5) | 173 (27,1) | 0,3739 |
† Использованы данные регистрации на момент индексного события или в ближайшем предшествующем периоде. За дату индексного события принята первая зарегистрированная дата назначения иНГЛТ-2 или иДПП-4. Как предшествующий определялся период от 1 года до 1 дня до даты индексного события. Проценты рассчитаны на основании взвешенных данных до округления.
‡ Данные, если не оговорено особо, представлены числом (n) и процентом (%).
§ Средний возраст свыше 100 лет округлен до 100 лет.
¶ За индексный принят год, в котором произошло индексное событие.
aDCSI — Адаптированная шкала тяжести осложнений сахарного диабета; HbA1c — гемоглобин A1c; Q — квартиль; SD — стандартное отклонение; SMD — стандартизированная разность средних значений; АПФ — ангиотензинпревращающий фермент; БРА — блокатор рецептора ангиотензина II; ГПП-1 — глюкагоноподобный пептид-1; иДПП-4 — ингибитор дипептидилпептидазы-4; ИМТ — индекс массы тела; иНГЛТ-2 — ингибитор натрий-глюкозного котранспортера-2.
Таблица Д12. Взвешенные демографические и исходные клинические характеристики пациентов с сердечно-сосудистыми заболеваниями в анамнезе, госпитализированных по поводу сердечной недостаточности через 30 и более дней от начала терапии†
Характеристика‡ | иНГЛТ-2 | иДПП-4 | ||||
с гипогликемией (n=7, 3,2%) | без гипогликемии (n=210, 96,8%) | SMD | с гипогликемией (n=58, 1,9%) | без гипогликемии (n=3061, 98,1%) | SMD | |
Возраст (лет) | ||||||
Медиана [Q1; Q3] | 85 [ 72; 85] | 76 [ 71; 83] | 0,0326 | 79 [ 71; 86] | 77 [ 70; 83] | 0,2032 |
Среднее§ (SD) | 76,6 (16,91) | 76,1 (10,32) | 77,9 (10,64) | 75,8 (10,59) | ||
Мужской пол | 7 (100,0) | 124 (59,0) | 1,1781 | 31 (53,4) | 1,921 (62,8) | 0,1903 |
ИМТ (кг/м2), среднее (SD) | 22,9 (1,78) | 24,6 (3,74) | 0,5594 | 23,2 (3,34) | 24,0 (3,63) | 0,2365 |
HbA1c (%), n | ||||||
Среднее (SD) | – | 7,8 (1,55) | – | 6,7 (0,76) | 7,5 (1,41) | 0,7035 |
Индекс коморбидности по Чарлсону, среднее (SD) | 5,5 (3,40) | 4,8 (2,00) | 0,2599 | 5,9 (2,41) | 4,4 (2,10) | 0,6337 |
Оценка по aDCSI, среднее (SD) | 3,6 (0,86) | 3,3 (1,29) | 0,2297 | 4,6 (1,81) | 3,3 (1,54) | 0,7770 |
Статус относительно курения, n | 1 | 119 | 51 | 1,992 | ||
Курящий | 0 | 50 (41,7) | 1,1970 | 19 (36,9) | 907 (45,6) | 0,1767 |
Индексный год¶ | ||||||
2015 | 0 | 9 (4,5) | 0,3067 | 15 (25,4) | 771 (25,2) | 0,0051 |
2016 | 1 (19,2) | 45 (21,6) | 0,0597 | 17 (29,2) | 728 (23,8) | 0,1225 |
2017 | 5 (75,0) | 49 (23,4) | 1,2032 | 11 (19,3) | 621 (20,3) | 0,0243 |
2018 | 0 | 64 (30,5) | 0,9369 | 8 (13,1) | 566 (18,5) | 0,1497 |
2019 | 0 (5,8) | 40 (19,1) | 0,4107 | 8 (13,0) | 361 (11,8) | 0,0365 |
2020 | 0 | 2 (0,8) | 0,1309 | 0 | 13 (0,4) | 0,0910 |
Сопутствующие заболевания | ||||||
Хроническая болезнь почек | 0 | 73 (34,8) | 1,0333 | 26 (44,7) | 812 (26,5) | 0,3872 |
Нефропатия | 0 (5,8) | 91 (43,3) | 0,9658 | 39 (66,5) | 1,139 (37,2) | 0,6128 |
Ретинопатия | 0 | 20 (9,4) | 0,4568 | 22 (38,4) | 482 (15,8) | 0,5270 |
Инфаркт миокарда | 0 | 23 (11,0) | 0,4960 | 2 (3,5) | 382 (12,5) | 0,3373 |
Инсульт | 5 (75,0) | 49 (23,3) | 1,2070 | 17 (28,3) | 529 (17,3) | 0,2657 |
Сердечная недостаточность | 7 (100,0) | 180 (85,6) | 0,5795 | 45 (77,7) | 2,283 (74,6) | 0,0723 |
Стенокардия | 6 (80,8) | 94 (44,9) | 0,8012 | 32 (55,0) | 1,494 (48,8) | 0,1242 |
Фибрилляция предсердий | 1 (19,2) | 92 (43,9) | 0,5509 | 15 (26,5) | 1,128 (36,9) | 0,2245 |
Заболевание периферических артерий | 0 | 2 (0,7) | 0,1209 | 4 (6,3) | 93 (3,0) | 0,1538 |
Гипертония | 7 (100,0) | 170 (80,7) | 0,6913 | 52 (88,9) | 2,517 (82,2) | 0,1899 |
Дислипидемия | 0 (5,8) | 128 (61,1) | 1,4435 | 40 (67,8) | 1,847 (60,4) | 0,1568 |
Медикаментозная терапия | ||||||
Бигуаниды | 0 | 26 (12,3) | 0,5285 | 7 (11,5) | 378 (12,3) | 0,0255 |
Препараты сульфонилмочевины | 5 (75,0) | 22 (10,5) | 1,7195 | 20 (33,6) | 503 (16,4) | 0,4037 |
Агонисты рецептора ГПП-1 | 0 | 3 (1,3) | 0,1630 | 2 (3,1) | 59 (1,9) | 0,0734 |
Глиниды | 0 | 0 (0,1) | 0,0441 | 4 (6,4) | 194 (6,3) | 0,0005 |
Тиазолидиндион как единственный препарат и в сочетании с бигуанидом или препаратом сульфонилмочевины | 0 | 5 (2,5) | 0,2256 | 2 (3,2) | 114 (3,7) | 0,0273 |
Ингибитор альфа-глюкозидазы | 0 | 22 (10,3) | 0,4795 | 17 (29,1) | 443 (14,5) | 0,3611 |
Препараты инсулина | 0 | 52 (24,5) | 0,8064 | 39 (67,7) | 1,099 (35,9) | 0,6718 |
Гиполипидемические препараты (статин, фибрат, эзетимиб) | 0 | 114 (54,1) | 1,5358 | 31 (53,3) | 1,589 (51,9) | 0,0288 |
Альфа-блокатор | 0 | 15 (6,9) | 0,3862 | 6 (9,7) | 201 (6,6) | 0,1155 |
Бета-блокатор | 2 (25,0) | 140 (66,4) | 0,9126 | 17 (29,6) | 1,575 (51,5) | 0,4579 |
Блокаторы кальциевых каналов | 0 | 68 (32,2) | 0,9749 | 29 (50,1) | 1,323 (43,2) | 0,1380 |
Ингибиторы АПФ | 7 (94,2) | 49 (23,3) | 2,0732 | 6 (9,7) | 552 (18,0) | 0,2433 |
БРА | 0 | 74 (35,4) | 1,0467 | 24 (41,0) | 1,098 (35,9) | 0,1046 |
БРА + блокатор кальциевых каналов | 0 | 8 (3,7) | 0,2774 | 7 (11,2) | 132 (4,3) | 0,2581 |
БРА + диуретики | 0 | 6 (2,6) | 0,2320 | 0 | 62 (2,0) | 0,2029 |
Диуретики | 1 (19,2) | 183 (86,9) | 1,8487 | 42 (71,2) | 2,018 (65,9) | 0,1131 |
Антагонисты альдостерона | 1 (19,2) | 58 (27,4) | 0,1946 | 20 (34,3) | 754 (24,6) | 0,2144 |
† Использованы данные регистрации на момент индексного события или в ближайшем предшествующем периоде. За дату индексного события принята первая зарегистрированная дата назначения иНГЛТ-2 или иДПП-4. Как предшествующий определялся период от 1 года до 1 дня до даты индексного события. Проценты рассчитаны на основании взвешенных данных до округления.
‡ Данные, если не оговорено особо, представлены числом (n) и процентом (%).
§ Средний возраст свыше 100 лет округлен до 100 лет.
¶ За индексный принят год, в котором произошло индексное событие.
aDCSI — адаптированная шкала тяжести осложнений сахарного диабета); HbA1c — гемоглобин A1c; Q — квартиль; SD — стандартное отклонение; SMD — стандартизированная разность средних значений; АПФ — ангиотензинпревращающий фермент; БРА — блокатор рецептора ангиотензина II; ГПП-1 — глюкагоноподобный пептид-1; иДПП-4 — ингибитор дипептидилпептидазы-4; ИМТ — индекс массы тела; иНГЛТ-2 — ингибитор натрий-глюкозного котранспортера-2.

Рисунок Д1. Дизайн исследования.
Примечание. Предындексный период, определяемый как период от 1 года до 1 дня до индексной даты. Индексная дата использовалась для подтверждения того, что ингибитор натрий-глюкозного котранспортера-2 или ингибитор дипептидилпептидазы-4 ранее не назначались, и установления исходных характеристик пациентов.
иДПП-4 — ингибитор дипептидилпептидазы-4; иНГЛТ-2 — ингибитор натрий-глюкозного котранспортера-2.
Список литературы
1. Zinman B, Wanner C, Lachin JM, et al. Empagliflozin, Cardiovascular Outcomes, and Mortality in Type 2 Diabetes. N Engl J Med. 2015;373(22):2117-2128. doi: https://doi.org/10.1056/NEJMoa1504720
2. Fitchett D, Inzucchi SE, Cannon CP, et al. Empagliflozin reduced mortality and hospitalization for heart failure across the spectrum of cardiovascular risk in the EMPA-REG OUTCOME Trial. Circulation. 2019;139(11):1384-1395. doi: https://doi.org/10.1161/CIRCULATIONAHA.118.037778
3. Guthrie R. Canagliflozin and cardiovascular and renal events in type 2 diabetes. Postgrad Med. 2018;130(2):149-153. doi: https://doi.org/10.1080/00325481.2018.1423852
4. Rådholm K, Figtree G, Perkovic V, et al. Canagliflozin and Heart Failure in Type 2 Diabetes Mellitus. Circulation. 2018;138(5):458-468. doi: https://doi.org/10.1161/CIRCULATIONAHA.118.034222
5. Wiviott SD, Raz I, Bonaca MP, et al. Dapagliflozin and cardiovascular outcomes in type 2 diabetes. N Engl J Med. 2019;380(4):347-357. doi: https://doi.org/10.1056/NEJMoa1812389
6. Perkovic V, Jardine MJ, Neal B, et al. Canagliflozin and renal outcomes in type 2 diabetes and nephropathy. N Engl J Med. 2019;380(24):2295-2306. doi: https://doi.org/10.1056/NEJMoa1811744
7. Kosiborod M, Lam CSP, Kohsaka S, et al. Cardiovascular events associated With SGLT-2 inhibitors versus other glucoselowering drugs. J Am Coll Cardiol. 2018;71(23):2628-2639. doi: https://doi.org/10.1016/j.jacc.2018.03.009
8. Cavender MA, Norhammar A, Birkeland KI, et al. SGLT-2 inhibitors and cardiovascular risk. J Am Coll Cardiol. 2018;71(22):2497-2506. doi: https://doi.org/10.1016/j.jacc.2018.01.085
9. Kosiborod M, Cavender MA, Fu AZ, et al. Lower risk of heart failure and death in patients initiated on sodiumglucose cotransporter-2 inhibitors versus other glucoselowering drugs. Circulation. 2017;136(3):249-259. doi: https://doi.org/10.1161/CIRCULATIONAHA.117.029190
10. Han SJ, Ha KH, Lee N, Kim DJ. Effectiveness and safety of sodiumglucose co‐transporter‐2 inhibitors compared with dipeptidyl peptidase‐4 inhibitors in older adults with type 2 diabetes: A nationwide population‐based study. Diabetes, Obes Metab. 2021;23(3):682-691. doi: https://doi.org/10.1111/dom.14261
11. Kohsaka S, Takeda M, Bodegård J, et al. Sodium–glucose cotransporter 2 inhibitors compared with other glucose‐lowering drugs in Japan: Subanalyses of the CVD‐REAL 2 Study. J Diabetes Investig. 2021;12(1):67-73. doi: https://doi.org/10.1111/jdi.13321
12. Birkeland KI, Bodegard J, Banerjee A, et al. Lower cardiorenal risk with <scp>sodium‐glucose</scp> cotransporter‐2 inhibitors versus dipeptidyl peptidase‐4 inhibitors in patients with type 2 diabetes without cardiovascular and renal diseases: A large multinational observational study. Diabetes, Obes Metab. 2021;23(1):75-85. doi: https://doi.org/10.1111/dom.14189
13. Komuro I, Kadowaki T, Bodegård J, et al. Lower heart failure and chronic kidney disease risks associated with sodium‐glucose cotransporter‐2 inhibitor use in Japanese type 2 diabetes patients without established cardiovascular and renal diseases. Diabetes, Obes Metab. 2021;23(S2):19-27. doi: https://doi.org/10.1111/dom.14119
14. Araki E, Tanaka A, Inagaki N, et al. Diagnosis, prevention, and treatment of cardiovascular diseases in people with type 2 diabetes and prediabetes — A consensus statement jointly from the japanese circulation society and the Japan diabetes society. Circ J. 2020;85(1):82-125. doi: https://doi.org/10.1253/circj.CJ-20-0865
15. Araki E, Goto A, Kondo T, et al. Japanese clinical practice guideline for diabetes 2019. J Diabetes Investig. 2020;11(4):1020-1076. doi: https://doi.org/10.1111/jdi.13306
16. Nishimura R, Kato H, Kisanuki K, et al. Treatment patterns, persistence and adherence rates in patients with type 2 diabetes mellitus in Japan: a claims-based cohort study. BMJ Open 2019; 9: e025806.
17. Tanaka S, Seto K, Kawakami K. Pharmacoepidemiology in Japan: medical databases and research achievements. J Pharm Heal Care Sci. 2015;1(1):16. doi: https://doi.org/10.1186/s40780-015-0016-5
18. Poole RM, Dungo RT. Ipragliflozin: First Global Approval. Drugs. 2014;74(5):611-617. doi: https://doi.org/10.1007/s40265-014-0204-x
19. Suzuki K, Hasegawa K, Watanabe M. Efficacy and patient satisfaction of dipeptidyl peptidase-4 inhibitor after switching from oncedaily DPP-4 inhibitor to once-weekly regimen. J Clin Med Res. 2018;10(8):641-647. doi: https://doi.org/10.14740/jocmr3456w
20. Chang HY, Weiner JP, Richards TM, et al. Validating the adapted Diabetes Complications Severity Index in claims data. Am J Manag Care 2012;18(11):721-726.
21. Kashiwagi A, Araki S, Maegawa H. Sodium–glucose cotransporter 2 inhibitors represent a paradigm shift in the prevention of heart failure in type 2 diabetes patients. J Diabetes Investig. 2021;12(1):6-20. doi: https://doi.org/10.1111/jdi.13329
22. Oka S, Kai T, Hoshino K, et al. Effects of empagliflozin in different phases of diabetes mellitus-related cardiomyopathy: a prospective observational study. BMC Cardiovasc Disord. 2021;21(1):217. doi: https://doi.org/10.1186/s12872-021-02024-3
23. Kohsaka S, Lam CSP, Kim DJ, et al. Risk of cardiovascular events and death associated with initiation of SGLT2 inhibitors compared with DPP-4 inhibitors: an analysis from the CVD-REAL 2 multinational cohort study. Lancet Diabetes Endocrinol. 2020;8(7):606-615. doi: https://doi.org/10.1016/S2213-8587(20)30130-3
24. Ito Y, Van Schyndle J, Nishimura T, et al. Characteristics of patients with diabetes initiating Sodium Glucose Co-transporter-2 Inhibitors (SGLT2i): Real-World Results from Three Administrative Databases in Japan. Diabetes Ther. 2019;10(2):549-562. doi: https://doi.org/10.1007/s13300-019-0577-7
25. Cosentino F, Grant PJ, Aboyans V, et al. 2019 ESC Guidelines on diabetes, pre-diabetes, and cardiovascular diseases developed in collaboration with the EASD. Eur Heart J. 2020;41(2):255-323. doi: https://doi.org/10.1093/eurheartj/ehz486
26. Suissa S. Reduced mortality with sodium-glucose cotransporter–2 inhibitors in observational studies. Circulation. 2018;137(14):1432-1434. doi: https://doi.org/10.1161/CIRCULATIONAHA.117.032799
27. Japanese Ministry of Health, Labour and Welfare. Vital Statistics of Japan 2019: Table 1-25 Number of deaths and percentage distribution by place of occurrence, by year [Internet]. 2019 [cited March 9, 2021]. Available from: https://www.mhlw.go.jp/english/database/db-hh/xlsx/1-25.xlsx.
Об авторах
A. KashiwagiЯпония
Shiga
Конфликт интересов:
Получал финансирование в качестве консультанта группы Sunstar.
S. Shoji
Япония
Tokyo
Конфликт интересов:
Сотрудник Astellas Pharma Inc., Tokyo, Japan
S. Onozawa
Япония
Tokyo
Конфликт интересов:
Сотрудник Astellas Pharma Inc., Tokyo, Japan
Y. Kosakai
Япония
Tokyo
Конфликт интересов:
Сотрудник Astellas Pharma Inc., Tokyo, Japan
M. Waratani
Япония
Tokyo
Конфликт интересов:
Бывший сотрудник Astellas Pharma Inc. Сменила место работы после завершения исследования; в настоящее время работает директором по исследованиям экономики здравоохранения и результатов, медицинские вопросы, Alexion Pharma GK Alexion-AstraZeneca Rare Disease, AstraZeneca.
Y. Ito
Япония
Tokyo
Конфликт интересов:
Сотрудник Astellas Pharma Inc., Tokyo, Japan
Дополнительные файлы
|
|
1. Рисунок 1. Распределение пациентов. | |
| Тема | ||
| Тип | Материалы исследования | |
Посмотреть
(564KB)
|
Метаданные ▾ | |
|
|
2. Рисунок 2. Лесовидная диаграмма риска госпитализации по поводу сердечной недостаточности (гСН), смерти от всех причин, сочетания гСН и/или смерти от всех причин, госпитализации по поводу инфаркта миокарда (ИМ) и госпитализации по поводу инсульта в полной когорте и у пациентов с сердечно-сосудистыми заболеваниями (ССЗ) или без них в анамнезе. | |
| Тема | ||
| Тип | Результаты исследования | |
Посмотреть
(474KB)
|
Метаданные ▾ | |
|
|
3. Рисунок 3. Кривая Каплана–Мейера кумулятивной частоты госпитализаций по поводу сердечной недостаточности (гСН) в (А) полной когорте, (B) у пациентов с сердечно-сосудистыми заболеваниями (ССЗ) в анамнезе и (C) у пациентов без ССЗ в анамнезе. Взвешенная кумулятивная частота гСН у пациентов, получавших ингибитор натрий-глюкозного котранспортера-2 (иНГЛТ-2), была выше, чем у пациентов, получавших ингибитор дипептидилпептидазы-4 (иДПП-4), через 30–60 сут после индексной даты, в полной когорте и у пациентов с ССЗ в анамнезе; кумулятивная частота гСН имела тенденцию быть ниже у пациентов, получавших иНГЛТ-2, чем у пациентов, получавших иДПП-4, через 1 год с индексной даты. Напротив, среди пациентов без ССЗ в анамнезе кумулятивная частота гСН у пациентов, получавших иНГЛТ-2, была ниже почти во всех временных точках, начиная с 90 дней после индексной даты, чем у пациентов, получавших иДПП-4. | |
| Тема | ||
| Тип | Результаты исследования | |
Посмотреть
(397KB)
|
Метаданные ▾ | |
|
|
4. Рисунок 4. Кривая Каплана–Мейера кумулятивной частоты смерти от всех причин в (A) полной когорте, (B) у пациентов с сердечно-сосудистыми заболеваниями (ССЗ) в анамнезе и (С) у пациентов без ССЗ в анамнезе. Взвешенная кумулятивная частота смерти от всех причин была ниже у пациентов, получавших ингибитор натрий-глюкозного котранспортера-2 (иНГЛТ-2), по сравнению с пациентами, получавшими лечение ингибитором дипептидилпептидазы-4 (иДПП-4), во всех временных точках после начала приема соответствующих препаратов в полной когорте и в обеих подгруппах по ССЗ. | |
| Тема | ||
| Тип | Результаты исследования | |
Посмотреть
(424KB)
|
Метаданные ▾ | |
|
|
5. Рисунок 5. Кривая Каплана–Мейера кумулятивной частоты сочетания госпитализаций по поводу сердечной недостаточности (гСН) и/или смерти от всех причин в (А) полной когорте, (B) у пациентов с сердечно-сосудистыми заболеваниями (ССЗ) в анамнезе и (C) у пациентов без ССЗ в анамнезе. Взвешенная кумулятивная частота сочетания гСН и/или смерти от всех причин была ниже у пациентов, получавших ингибитор натрий-глюкозного котранспортера-2 (иНГЛТ-2), по сравнению с пациентами, получавшими лечение ингибитором дипептидилпептидазы-4 (иДПП-4), почти во всех временных точках после начала приема соответствующих препаратов в полной когорте и в обеих подгруппах по ССЗ. | |
| Тема | ||
| Тип | Результаты исследования | |
Посмотреть
(443KB)
|
Метаданные ▾ | |
|
|
6. Рисунок 6. Подгрупповой анализ (<75 лет; ≥75 лет). Лесовидная диаграмма риска госпитализации по поводу сердечной недостаточности (гСН), смерти от всех причин, гСН или смерти от всех причин, госпитализации по поводу инфаркта миокарда (ИМ) и госпитализации по поводу инсульта в (А) полной когорте, (B) у пациентов с сердечно-сосудистыми заболеваниями (ССЗ) в анамнезе и (C) у пациентов без ССЗ в анамнезе. ДИ — доверительный интервал; ОР — отношение рисков; иНГЛТ-2 — ингибитор натрий-глюкозного котранспортера-2; иДПП-4 — ингибиторы дипептидилпептидазы-4 | |
| Тема | ||
| Тип | Исследовательские инструменты | |
Посмотреть
(829KB)
|
Метаданные ▾ | |
|
|
7. Рисунок Д1. Дизайн исследования. Апрель 2020 г. Примечание. Предындексный период, определяемый как период от 1 года до 1 дня до индексной даты. Индексная дата использовалась для подтверждения того, что ингибитор натрий-глюкозного котранспортера-2 или ингибитор дипептидилпептидазы-4 ранее не назначались, и установления исходных характеристик пациентов. | |
| Тема | ||
| Тип | Дополнительная информация | |
Посмотреть
(250KB)
|
Метаданные ▾ | |
Рецензия
Для цитирования:
Kashiwagi A., Shoji S., Onozawa S., Kosakai Y., Waratani M., Ito Y. Снижение частоты сердечно-сосудистых заболеваний у пациентов с сахарным диабетом 2 типа, получавших ингибитор натрий-глюкозного котранспортера-2, по сравнению с ингибитором дипептидилпептидазы-4: ретроспективный анализ реальных данных из административной базы данных в Японии. Сахарный диабет. 2023;26(2):157-171. https://doi.org/10.14341/DM13029
For citation:
Kashiwagi A., Shoji S., Onozawa S., Kosakai Y., Waratani M., Ito Yu. Reduction in cardiovascular disease events in patients with type 2 diabetes mellitus treated with a sodium–glucose cotransporter 2 inhibitor versus a dipeptidyl peptidase-4 inhibitor: A real-world retrospective administrative database analysis in Japan. Diabetes mellitus. 2023;26(2):157-171. (In Russ.) https://doi.org/10.14341/DM13029
JATS XML
Контент доступен под лицензией Creative Commons Attribution-NonCommercial-NoDerivatives 4.0 International License (CC BY-NC-ND 4.0).









































