Перейти к:
Сахарный диабет и ожирение. Роль агонистов рецепторов глюкагоноподобного пептида-1 в лечении сахарного диабета 2 типа
https://doi.org/10.14341/DM9623
Аннотация
Среди пациентов с сахарным диабетом 2 типа (СД2) значительное количество (80%) страдают ожирением. Известно, что даже нарушение толерантности к глюкозе, так же как и СД, может привести к развитию сосудистых осложнений. В то же время снижение массы тела может снизить риск СД2 у пациентов с ожирением и предиабетом. По имеющимся данным, у пациентов с СД2 и лиц с ожирением отмечается существенное снижение инкретинового эффекта. Так, снижение инкретинового эффекта ведет за собой нарушение инсулинового ответа на прием углеводов и, следовательно, увеличение уровня глюкозы в крови. Также установлено, что снижение инкретинового эффекта у пациентов с СД2 может быть связано с более низкой секрецией глюкагоноподобного пептида-1.
Следовательно, интерес представляют группы антидиабетических препаратов, способных регулировать гликемию путем влияния на секрецию инсулина и глюкагона в зависимости от ее уровня. К числу таких препаратов относятся агонисты рецептора глюкагоноподобного пептида-1 (АР ГПП-1). В статье показано преимущество использования у пациентов с СД2 и ожирением АР ГПП-1 длительного действия (албиглутида, дулаглутида, эксенатида с медленным высвобождением) в режиме дозирования 1 раз в неделю.
Для цитирования:
Петунина Н.А., Тельнова М.Э. Сахарный диабет и ожирение. Роль агонистов рецепторов глюкагоноподобного пептида-1 в лечении сахарного диабета 2 типа. Сахарный диабет. 2018;21(4):293-300. https://doi.org/10.14341/DM9623
For citation:
Petunina N.A., Telnova M.Е. Diabetes and obesity. The role of agonists glucagon-like peptide-1 of in the treatment of type 2 diabetes. Diabetes mellitus. 2018;21(4):293-300. (In Russ.) https://doi.org/10.14341/DM9623
Сахарный диабет (СД) и его осложнения являются важнейшей медико-социальной проблемой практически во всех странах мира. В настоящее время, по данным Всемирной организации здравоохранения, в мире насчитывается около 425 млн больных СД.
По предварительным прогнозам Международной диабетической федерации, количество пациентов с СД к 2040 г. может увеличиться до 642 млн человек [1].
Ожирение и СД 2-го типа (СД2) связаны с повышением заболеваемости и смертности. Так, ожирение увеличивает риск развития СД2 в любом возрасте, с ним связано более 80% случаев заболевания. В то же время установлено, что при ожирении даже небольшое снижение массы тела (на 5–10%) улучшает метаболизм и снижает риск сопутствующих заболеваний [2, 3].
Известно, что риск развития СД2 возрастает с увеличением показателя индекса массы тела (ИМТ) как у женщин, так и у мужчин. В среднем у пациентов с ожирением риск развития СД2 в 5 раз выше, чем у пациентов без ожирения [4].
Ожирение, предиабет (нарушенная гликемия натощак (НГН) и нарушение толерантности к глюкозе (НТГ)) и СД2 – взаимосвязанные расстройства, составляющие разные стадии одного заболевания [5]. Известно, что важным звеном в развитии СД2 является дефект действия инсулина на уровне периферических тканей, то есть инсулинорезистентность (ИР). ИР определяется более чем у 80% пациентов, имеющих риск развития СД2. В то же время известно, что ожирение – основной фактор риска развития ИР, дислипидемии и СД2 [6, 7]. По имеющимся данным, снижение массы тела может уменьшить риск развития СД2 у лиц с ожирением или предиабетом [8].
Также ряд источников свидетельствует, что даже кратковременное изменение образа жизни, которое приводит лишь к временному снижению массы тела, ассоциируется с длительным снижением риска СД2 [9].
Важно отметить, что даже состояние НТГ, так же как и СД, может способствовать развитию сосудистых нарушений. В то же время своевременный контроль гликемии способен отдалить или даже предотвратить развитие острых и хронических осложнений СД [10].
Как известно, контроль гликемии у пациентов с СД2 включает модификацию образа жизни, которая способствует снижению массы тела, а также применение современных сахароснижающих препаратов (ССП). Цель лечения СД2 заключается в достижении стабильной компенсации СД с минимальными побочными эффектами, к числу которых относится гипогликемия.
В поисках оптимальных подходов к проблеме лечения СД2 многочисленные научные поиски были нацелены на изучение нового механизма регуляции гомеостаза глюкозы посредством гормонов желудочно-кишечного тракта (ЖКТ) – инкретинов.
Известно, что эффекты инкретинов являются важной составляющей регуляции гомеостаза глюкозы. История открытия инкретинов связана с именами Бейлиса и Старлинга, которые в 1902 г. сделали предположение, что сигналы, возникающие в ЖКТ после поступления пищи, активно влияют на эндокринный ответ поджелудочной железы [10].
Интерес представляет феномен «инкретинового эффекта». Данным термином описывают феномен, при котором после перорального приема глюкозы отмечается более существенное повышение уровня инсулина в крови, чем после внутривенной ее инфузии, сопровождающейся аналогичным повышением глюкозы в плазме [10]. Важно отметить, что до 70% постпрандиальной секреции инсулина у здоровых лиц можно объяснить инкретиновым эффектом, который нарушен при СД2 и НТГ [10].
Инкретины относятся к гормонам ЖКТ, которые вырабатываются в ответ на прием пищи и вызывают стимуляцию секреции инсулина [11]. Наиболее важные инкретины: глюкагоноподобный пептид-1 (ГПП-1) и глюкозозависимый инсулинотропный полипептид (ГИП). В настоящее время получены данные о почти полной потере инсулинотропной активности ГИП и снижении инсулинотропной активности ГПП-1 при СД2 [12].
Следовательно, в связи с нарушением инкретинового эффекта при СД2 в настоящее время рассматривается вопрос о возможной роли нарушений функции ГПП-1 как патофизиологического звена между ожирением и СД2 [13].
Известно, что ГПП-1 секретируется L-клетками в кишечнике в ответ на прием пищи. Данная секреция ГПП-1 имеет две фазы: ранняя фаза наступает через 10–15 мин после приема пищи и сменяется второй фазой, которая достигает пика через 30–60 мин [14]. Вторая фаза секреции ГПП-1 регулируется при прямом контакте питательных веществ с L-клетками в дистальном отделе тонкой кишки [15]. После высвобождения ГПП-1 быстро инактивируется дипептидилпептидазой-4 (ДПП-4), а период его полувыведения составляет менее 2 минут. Важно отметить, что периферических тканей и α- и β-клеток поджелудочной железы достигает только 10–15% ГПП-1, секретируемого в L-клетках кишечника, а основная часть инактивируется в кишечнике, воротной вене и печени [16].
По имеющимся данным, рецепторы ГПП-1 обнаружены во многих органах и тканях [17].
По данным литературных источников известно, что инсулинотропные гормоны ЖКТ участвуют не только в секреции инсулина, но и за счет рецепторов, расположенных в головном мозге, принимают участие в регуляции пищевого поведения, являясь анорексигенным фактором [18].
Известно, что подавление жажды и аппетита связано с центральными эффектами ГПП-1 [11]. Так, по данным ряда исследований, у грызунов и центральное, и периферическое введение агонистов рецепторов ГПП-1 (АР ГПП-1) снижало потребление пищи [19].
Представляет интерес ряд исследований, в которых показано, что при ожирении инкретиновый эффект может быть нарушен. Так, было установлено, что у лиц с ожирением и НТГ инкретиновый эффект существенно снижен по сравнению с лицами с НТГ и нормальной массой тела [20].
Существует мнение, что снижение инкретинового эффекта у пациентов с ожирением может являться результатом дисрегуляции уровня инкретиновых гормонов и/или снижения инсулинотропной активности. Однако данные об уровне ГПП-1 при ожирении неоднозначны и противоречивы. Так, в некоторых работах показано снижение постпрандиального уровня ГПП-1 у лиц с ожирением по сравнению с лицами с нормальной массой тела [12, 21]. Результаты двух других наиболее крупных исследований продемонстрировали, что постпрандиальная секреция ГПП-1 была обратно пропорциональна показателям ИМТ [22]. Вместе с тем, исходя из анализа других работ, каких-либо различий между лицами с ожирением и нормальной массой тела не обнаружено [23].
В настоящее время получены убедительные данные, подтверждающие, что ГПП-1 является сильным анорексигенным гормоном [18]. Доказано, что ГПП-1 является физиологическим регулятором приема пищи и аппетита, усиливающим чувство сытости и снижающим чувство голода [24, 25].
Известно, что нативный ГПП-1 не обладает высокой терапевтической эффективностью в связи с его быстрым разрушением ферментом ДПП-4 [18]. В связи с этой особенностью были разработаны препараты (аналоги ГПП-1 и миметики), которые имеют резистентность к разрушающему действию ДПП-4, что существенно увеличивает длительность их действия [11]. Важно отметить, что аналоги ГПП-1 вводятся подкожно и обеспечивают высокие фармакологические дозы агонистов ГПП-1 [11]. К препаратам, основанным на действии инкретинов и предназначенным для лечения СД2, относятся АР ГПП-1 и ингибиторы ДПП-4.
В настоящее время применение АР ГПП-1 предложено национальными и международными руководствами по терапии СД [26, 27]. Так, в соответствии с рекомендациями Российской ассоциации эндокринологов [1], применение АР ГПП-1 предлагается в качестве медицинской помощи пациентам с СД2 на всех этапах лечения как в виде моно-, так и в составе комбинированной терапии, в том числе с инсулином. Необходимо отметить, что в зависимости от длительности действия АР ГПП-1 их подразделяют на препараты короткого и длительного действия. Препараты короткого действия вводят 1 раз в сутки (ликсисенатид) или 2 раза в сутки (эксенатид). В то время как АР ГПП-1 длительного действия вводят 1 раз в сутки (лираглутид) или 1 раз в неделю (дулаглутид, албиглутид, эксенатид с медленным высвобождением).
Агонисты рецепторов глюкагоноподобного пептида-1
Эксенатид (Баета) является первым препаратом класса АР ГПП-1, который был одобрен к применению Управлением по контролю за пищевыми продуктами и лекарственными средствами (FDA) и c 2005 г. успешно применяется в клинической практике в США, странах Европы и с 2007 г. в России. Молекула эксенатида была выделена из слюны аризонской ящерицы Gila monster, в дальнейшем был налажен промышленный синтез препарата. Аминокислотная последовательность эксенатида более чем на 50% совпадает с человеческим ГПП-1.
Результаты проведенных исследований продемонстрировали, что препарат связывается с рецепторами к ГПП-1 и устойчив к инактивации ДПП-4. Необходимо отметить, что при подкожном введении эксенатида пациентам с СД2 пик концентрации в плазме достигался через 2–3 ч, а период его полужизни примерно 2–6 ч [11].
Эксенатид способствует глюкозозависимой стимуляции инсулина. Необходимо отметить, что эксенатид значимо повышает первую и в то же время вторую фазу секреции инсулина. Инсулинотропное действие эксенатида является глюкозозависимым, но при достижении нормального уровня глюкозы концентрация инсулина возвращается к базальной. Данная особенность способствует снижению риска гипогликемии. Отмечено, что применение эксенатида в дозе 10 мкг 2 раза в день способствует замедлению пассажа как жидкой, так и твердой пищи [11]. Терапия эксенатидом способствует уменьшению аппетита и массы тела.
Ликсисенатид (Ликсумия) относится к АР ГПП-1 короткого действия с периодом полувыведения примерно 3 ч [28]. Ликсисенатид в дозе 20 мкг вводится лишь 1 раз в сутки, до еды. Ликсисенатид представляет собой аналог эксендина 4 из 44 аминокислотных остатков с более длинной С-концевой последовательностью [29]. Препарат зарегистрирован в России в 2014 г. [28].
Лираглутид (Виктоза) относится к АР ГПП-1 длительного действия, препарат вводят 1 раз в сутки. Лираглутид представляет собой аналог ГПП-1 человека с 97% гомологией последовательности. Молекула лираглутида разработана путем замены одной аминокислоты (аргинин на лизин) в позиции 34 и добавления к лизину в 26 позиции С16 пальмитиновой кислоты. Добавление цепи жирной кислоты дает возможность лираглутиду образовывать гептамеры при подкожной инъекции, что в сочетании со связыванием с альбумином замедляет его всасывание [30]. Препарат достигает максимальной концентрации через 9–12 ч после введения, а уровни в плазме после однократной подкожной инъекции остаются стабильными до 13 ч, что позволяет вводить его 1 раз в сутки независимо от приема пищи. Лираглутид зарегистрирован в России в 2010 г.
Новые возможности в лечении СД2 связывают с формой введения АР ГПП-1 один раз в неделю (дулаглутид, албиглутид, эксенатид с медленным высвобождением).
Дулаглутид (Трулисити) относится к АР ГПП-1 действительно длительного действия. Дулаглутид зарегистрирован в России в 2016 г.
Известно, что в дулаглутиде ГПП-1 соединен с модифицированным иммуноглобулином, благодаря чему его период полувыведения составляет около 4 дней и препарат вводится 1 раз в неделю [28]. Так, часть дулаглутида, которая является аналогом ГПП-1, примерно на 90% гомологична человеческому ГПП-1 [31]. Данные свойства строения молекулы дулаглутида дают возможность увеличения периода полувыведения примерно до 5 дней.
Албиглутид (Эперзан) — препарат для приема 1 раз в неделю, состоящий из двух копий устойчивого к ДПП-4 ГПП-1, связанных с человеческим сывороточным альбумином [28]. Период полувыведения албиглутида 6–7 дней и, следовательно, допускает введение 1 раз в неделю. Албиглутид зарегистрирован в Европе в 2014 г., но не зарегистрирован в России.
В то же время, поскольку эксенатид относится к АР ГПП-1 короткого действия и рекомендован для введения 2 раза в сутки, возникла потребность в разработке его новой лекарственной формы – эксенатида пролонгированного действия (Баета Лонг) [1]. Данная форма препарата дает преимущества в виде приема эксенатида 1 раз в неделю с учетом сохранения не только значительного сахароснижающего действия, но и существенного уменьшения массы тела.
В Европе эксенатид пролонгированного действия зарегистрирован в 2011 г., в России – в 2017 г. и представляет собой препарат, в котором пептид инкапсулирован в биологически деградирующие микросферы. Данный препарат обладает 2-недельным периодом полувыведения. Важно отметить, что его постепенное высвобождение из микросфер позволяет снижать частоту введения эксенатида до 1 раза неделю (2 мг 1 р/нед) [28, 32].
Эксенатид пролонгированного действия (Баета Лонг) выпускается в виде комплекта для инъекции или одноразовой шприц-ручки. Перед приготовлением суспензии необходимо убедиться, что растворитель прозрачный и не содержит видимых частиц. Приготовленную суспензию следует сразу же использовать для инъекции, не хранить. Рекомендуется препарат вводить подкожно в область живота, бедра или плеча сразу после смешивания порошка с растворителем. Наиболее частыми побочными явлениями, связанными с приемом эксенатида пролонгированного действия, являются реакции со стороны ЖКТ (тошнота и диарея). Самым частым побочным эффектом является тошнота, которая может возникнуть в начале лечения и постепенно прекращается в ходе применения препарата. К другим побочным явлениям относятся реакции в месте введения (зуд, образование уплотнений, эритема), гипогликемия (при совместном применении с производными сульфонилмочевины (СМ)) и головная боль. Необходимо отметить, что большинство побочных эффектов, возникающих на фоне применения эксенатида, вводимого 1 раз в неделю, как правило низкой или средней интенсивности [33].
Проведенный метаанализ ГПП-1-ориентированной терапии показал, что применение АР ГПП-1 коррелирует с существенным снижением массы тела по сравнению с исходной (общее среднее [95%-й доверительный интервал]: эксенатид 10 мкг 2 р/сут -2,03 кг [-2,46; -1,60 кг]; лираглутид 1,8 мг 1 р/сут -2,29 кг [-2,99; -1,59 кг]; эксенатид замедленного высвобождения 2 мг 1 р/нед -2,41 кг [-2,83; -1,99 кг]); тогда как ингибиторы ДПП-4 имели нейтральный эффект в отношении массы тела (среднее изменение -0,16 кг [-0,92; +0,60 кг] или -0,64 кг [-1,11; -0,16 кг]) [34]. Разница влияния на массу тела между АР ГПП-1 и ингибиторами ДПП-4 в этих метаанализах подтверждена прямыми сравнениями этих двух классов препаратов (табл. 1) [34, 35].
Таблица 1. Данные о массе тела в крупных клинических исследованиях III фазы при применении максимальных доз агонистов рецептора глюкагоноподобного пептида-1
|
Исследование (основное лечение) |
Терапевтические группы |
n |
Длительность исследования, нед |
Исходный ИМТ, кг/м2 |
Исходная масса тела, кг |
Изменение массы тела, кг |
|
Лираглутид 1,8 мг 1 раз в сутки |
||||||
|
Pratley et al. [35] (MET) |
Лираглутид |
231 |
26 |
33 |
95 |
-3,38 |
|
Ситаглиптин |
219 |
33 |
93 |
-0,96** |
||
|
LEAD-6 [42] (MET±СМ) |
Лираглутид |
233 |
26 |
33 |
93 |
-3,24 |
|
Эксенатид |
231 |
33 |
93 |
-2,87 нз |
||
|
Эксенатид с медленным высвобождением 2 мг 1 раз в неделю |
||||||
|
DURATION-1 [38] (MET, СМ, ТЗД или комбинация) |
Эксенатид ЕR |
148 |
30 |
35 |
102 |
-3,7 |
|
Эксенатид 2 раза в сутки |
147 |
35 |
102 |
-3,6 нз |
||
|
DURATION-2 [38] (MET) |
Эксенатид ЕR |
160 |
26 |
32 |
89 |
-2,3 |
|
Ситаглиптин |
166 |
32 |
87 |
-0,8* |
||
|
Пиоглитазон |
165 |
32 |
88 |
+2,8** |
||
|
DURATION-5 [40] (MET, СМ, ТЗД или комбинация) |
Эксенатид ЕR |
129 |
24 |
34 |
97 |
-2,3 |
|
Эксенатид 2 раза в сутки |
123 |
33 |
94 |
-1,4 нз |
||
|
DURATION-6 [36] (MET±СМ, METТЗД) |
Эксенатид ЕR |
461 |
26 |
32 |
91 |
-2,7 |
|
Лираглутид |
450 |
32 |
91 |
-3,6* |
||
Примечания: MET – метформин; CM – сульфонилмочевина; ТЗД – тиазолидиндион; ER – с медленным высвобождением; нз – статистически незначимо, *р<0,01, **р<0,0001 для сравнения с исследуемым препаратом
Отметим, что хотя по данным метаанализа снижение массы тела на фоне приема эксенатида 1 раз в неделю было более выраженным, чем при применении лираглутида, при прямом сравнении этих препаратов (исследование DURATION-6) лираглутид ассоциировался с более значимым снижением массы тела, чем эксенатид для приема 1 р/нед (см. табл. 1) [36].
Представляет интерес ряд обзоров и метаанализов, в которых исследователи сравнили АР ГПП-1 короткого и длительного действия. В одном метаанализе, где пациенты вводили АР ГПП-1 1 р/нед, были более эффективные результаты, чем при введении эксенатида 2 р/сут, в отношении снижении уровня гликированного гемоглобина (HbA1c) и сопровождались сравнимой динамикой массы тела (см. табл. 1) и частотой гипогликемии [37].
По данным другого метаанализа выявлено, что уменьшение массы у пациентов по сравнению с инсулинотерапией при использовании АР ГПП-1 длительного действия обычно меньше, чем при применении АР ГПП-1 короткого действия [38]. Результат систематического обзора (но с ограниченным метаанализом) продемонстрировал, что АР ГПП-1, вводимые 1 р/нед, в большинстве случаев более эффективны, чем эксенатид, вводимый 2 р/сут, в отношении снижении уровня HbA1c и глюкозы плазмы натощак, при аналогичном воздействии на динамику массы тела (см. табл. 1) [38]. Таким образом, обобщенные данные метаанализов продемонстрировали, что терапия АР ГПП-1 1 р/нед способствует клинически значимому улучшению контроля гликемии, чем большая часть АР ГПП-1 короткого действия.
В настоящее время завершена часть исследований АР ГПП-1 по СС безопасности, в частности, ELIXA (Ликсисенатид), LEADER (Лираглутид), SUSTAIN-6 (Семаглутид), EXSCEL (Эксенатид ER), продемонстрировавших безопасность, а в случае LEADER и SUSTAIN-6 – превосходство АР ГПП-1 по сравнению с контрольной группой.
В то же время интерес представляют результаты исследования EXSCEL, которые продемонстрировали благоприятный профиль СС-безопасности эксенатида пролонгированного действия при применении у пациентов с СД2 при различном уровне СС-риска. В исследовании EXSCEL представлена крупнейшая и наиболее репрезентативная выборка пациентов среди всех завершенных на сегодняшний день исследований по СС-безопасности препаратов класса АР ГПП-1. Проведенное исследование EXSCEL включало более 14 500 пациентов из 687 исследовательских центров в 35 странах, пациенты соответствовали широким критериям включения и получали сопутствующую терапию в соответствии с локальными стандартами и рекомендациями, что приближает дизайн исследования к рутинной клинической практике [39–42].
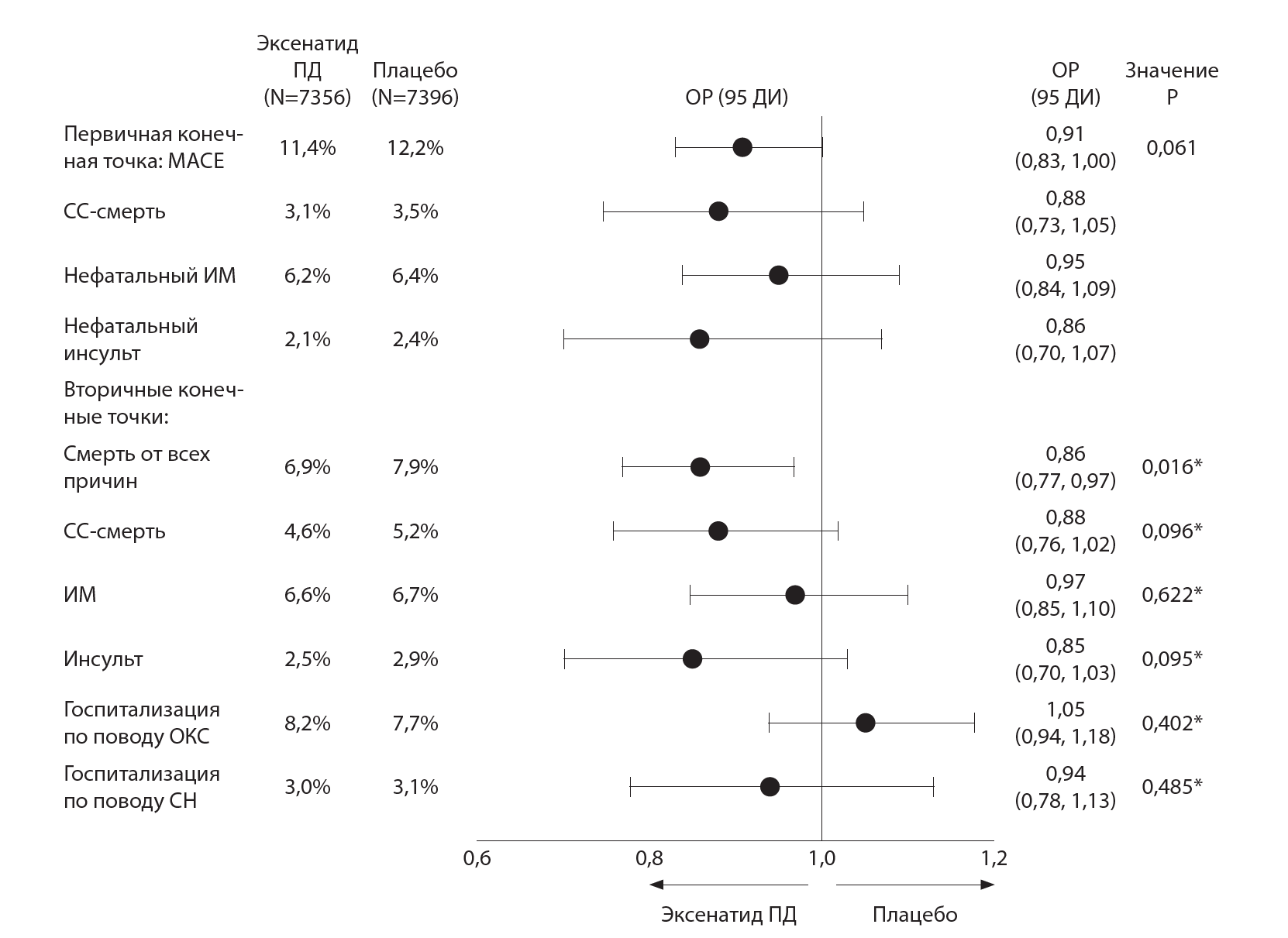
Результаты данного исследования показали, что эксенатид пролонгированного действия, предназначенный для введения 1 р/нед, не увеличивал частоту серьезных неблагоприятных СС-событий, входящих в состав комбинированной первичной конечной точки: смерть вследствие СС-причин, нефатальный инфаркт миокарда и нефатальный инсульт, по сравнению с плацебо (отношение рисков [ОР]: 0,91; 95% доверительный интервал [ДИ]: 0,83–1,00; p<0,001 для гипотезы не меньшей эффективности). В группе эксенатида пролонгированного действия частота СС-событий была количественно меньше, чем в группе плацебо (839 [11,4%] по сравнению с 905 [12,2%]), однако данное различие не достигло статистической значимости для гипотезы превосходства (p=0,061). Дополнительно в группе пациентов, получавших эксенатид пролонгированного действия, было показано снижение смертности от всех причин на 14% по сравнению с группой плацебо (ОР: 0,86; 95% ДИ: 0,77–0,97) [43]. Результаты исследования представлены на рис. 1.
Рис. 1. Первичные и вторичные конечные точки (исследование EXSCEL).
Примечания: *в связи с иерархическим анализом, несмотря на достижение статистической значимости по вторичной конечной точке «смерть от всех причин», полученные различия следует считать номинальными. ОКС – острый коронарный синдром; ДИ – доверительный интервал; СС – сердечно-сосудистый; Эксенатид ПД – эксенатид пролонгированного действия; СН – сердечная недостаточность; ОР – отношение рисков; MACE – крупные сердечно-сосудистые события, включающие комбинацию нефатальных инфаркта миокарда, инсульта, смерти вследствие сердечно-сосудистых причин; ИМ – инфаркт миокарда.
Необходимо отметить, что приверженность лечению у пациентов, получающих терапию АР ГПП-1, может быть увеличена за счет меньшего количества инъекций. Так, кратность введения препарата (например, 1 раз в неделю) может быть для пациентов более предпочтительной в сравнении с АР ГПП-1 короткого действия.
Важно отметить достоинства АР ГПП-1 в сравнении с другими противодиабетическими препаратами. Так, применение АР ГПП-1 рекомендовано как в дополнение к метформину, так и в качестве комбинации с другими пероральными ССП (ПССП) [1]. Данная комбинация дает возможность обеспечить лучший гликемический контроль, чем интенсификация сахароснижающей терапии с применением других ПССП, например, таких как ингибиторы ДПП-4, производные СМ, тиазолидиндионы.
Терапия на основе АР ГПП-1 в настоящее время используется в основном для лечения гипергликемии у пациентов с СД2, но в то же время известно и ее благоприятное влияние на массу тела. Как правило, применение АР ГПП-1 обычно хорошо переносится пациентами. К основным проблемам на фоне применения АР ГПП-1 можно отнести желудочно-кишечные нарушения (тошноту, рвоту). Крайне редко отмечается развитие острого панкреатита. В то же время отмеченные побочные явления являются легкими и часто носят транзиторный характер. Противопоказания к приему АР ГПП-1: повышенная чувствительность к компонентам препарата, СД 1 типа или наличие диабетического кетоацидоза, почечная недостаточность (скорость клубочковой фильтрации <30 мл/мин), заболевания ЖКТ с сопутствующим гастропарезом, беременность и период грудного вскармливания, острый панкреатит или наличие панкреатита в анамнезе, а также возраст до 18 лет [36].
Представляют интерес результаты системного метаанализа, в котором сравнивали эффективность АР ГПП-1 с другими ПССП.
Результаты данного метаанализа показали, что АР ГПП-1 (при добавлении к метформину) обеспечивают более значимый контроль HbA1c (HbA1c; среднее изменение от исходного уровня в сравнении с плацебо [ДИ]: -1,02% [-1,17%, -0,86%]), чем производные СМ, ингибиторы ДПП-4, глиниды, тиазолидиндионы, ингибиторы альфа-глюкозидазы (среднее изменение от исходного уровня в диапазоне от -0,66% до -0,82%) [37].
Необходимо обратить внимание на то, что эффект АР ГПП-1 проявляется только в условиях гипергликемии. Следовательно, риск возникновения гипогликемии на фоне приема данной терапии значительно снижен. В то же время в случае комбинации АР ГПП-1 с производными СМ может потребоваться снижение дозы СМ с целью снижения риска гипогликемии [11].
Также результаты анализа показали, что гликемический контроль при введении АР ГПП-1 был сопоставим с контролем на терапии базальным инсулином/готовыми смесями инсулина. Уменьшение массы тела при применении АР ГПП-1 также было значимо большим, чем при использовании других групп ССП (исключение составили ингибиторы альфа-глюкозидазы), в то время как применение подавляющего большинства других ССП сопровождалось повышением массы тела [37]. По данным анализа отмечено, что АР ГПП-1 не увеличивают риск развития гипогликемии в сравнении с плацебо. Терапия АР ГПП-1 приводила к значительному снижению массы тела. Было показано, что риск гипогликемии при применении АР ГПП-1 оказался существенно ниже, чем в группе пациентов, которые получали СМ, глиниды, а также базальный инсулин/готовые смеси инсулина [37].
Заключение
Таким образом, АР ГПП-1 относятся к классу современных ССП, основанных на восстановлении инкретинового эффекта, который, как известно, нарушен при СД2. Следовательно, в основе принятия решения о тактике ведения пациентов с СД2 и ожирением важно отдавать предпочтение препаратам, которые направлены не только на коррекцию гликемии, но и способствуют снижению массы тела. Кроме того, уменьшение массы тела на фоне приема АР ГПП-1 позволит не только существенно улучшить гликемический контроль, но и положительно влиять на чувствительность к инсулину и улучшить метаболические показатели, что позволяет снизить риск СС-заболеваний и смерти у пациентов с СД2. Вместе с тем введение препарата 1 раз в неделю имеет преимущество в виде более удобного и гибкого режима дозирования и тем самым дает возможность повысить приверженность пациентов к лечению и добиться хорошего терапевтического эффекта в повседневной клинической практике. Учитывая подобные преимущества, Американская Ассоциация клинических эндокринологов в 2018 г. в своих рекомендациях в приоритете выбора в двойных и тройных комбинациях ССП в первую линию партнерства к метформину ставит АР ГПП-1 [44].
Дополнительная информация
Конфликт интересов. Авторы декларируют отсутствие явных и потенциальных конфликтов интересов, связанных с публикацией настоящей статьи.
Участие авторов. Петунина Н.А. – поисково-аналитическая работа, подготовка рукописи, редактирование; Тельнова М.Э. – поисково-аналитическая работа, подготовка рукописи, редактирование. Все авторы внесли существенный вклад в проведение исследования и подготовку статьи, прочли и одобрили финальную версию перед публикацией.
Список литературы
1. Дедов И.И., Шестакова М.В., Майоров А.Ю., и др. Алгоритмы специализированной медицинской помощи больным сахарным диабетом. / Под ред. Дедова И.И., Шестаковой М.В., Майорова А.Ю. – 8-й выпуск // Сахарный диабет. – 2017. – Т. 20. – №1S. – C. 1-121.[Dedov II, Shestakova MV, Mayorov AY, et al. Dedov II, Shestakova MV, Mayorov AY, editors. Standards of specialized diabetes care. 8th edition. Diabetes mellitus. 2017; 20(1S):1-121. (In Russ.)] doi: 10.14341/DM20171S8
2. Dengo AL, Dennis EA, Orr JS, et al. Arterial destiffening with weight loss in overweight and obese middle-aged and older adults. Hypertension. 2010;55(4):855-861. doi: 10.1161/HYPERTENSIONAHA.109.147850
3. Li G, Zhang P, Wang J, et al. The long-term effect of lifestyle interventions to prevent diabetes in the China Da Qing Diabetes Prevention Study: a 20-year follow-up study. Lancet. 2008;371(9626):1783-1789. doi: 10.1016/s0140-6736(08)60766-7
4. Hu G, Lindstrom J, Valle TT, et al. Physical activity, body mass index, and risk of type 2 diabetes in patients with normal or impaired glucose regulation. Arch Intern Med. 2004;164(8):892-896. doi: 10.1001/archinte.164.8.892
5. Kasuga M. Insulin resistance and pancreatic beta cell failure. J Clin Invest. 2006;116(7):1756-1760. doi: 10.1172/JCI29189
6. Freemantle N, Holmes J, Hockey A, Kumar S. How strong is the association between abdominal obesity and the incidence of type 2 diabetes? Int J Clin Pract. 2008;62(9):1391-1396. doi: 10.1111/j.1742-1241.2008.01805.x
7. Lebovitz HE, Banerji MA. Point: Visceral Adiposity Is Causally Related to Insulin Resistance. Diabetes Care. 2005;28(9):2322-2325. doi: 10.2337/diacare.28.9.2322
8. Hu G, Lindstrom J, Valle TT, et al. Physical activity, body mass index, and risk of type 2 diabetes in patients with normal or impaired glucose regulation. Arch Intern Med. 2004;164(8):892-896. doi: 10.1001/archinte.164.8.892
9. Knowler WC, Barrett-Connor E, Fowler SE, et al. Reduction in the incidence of type 2 diabetes with lifestyle intervention or metformin. N Engl J Med. 2002;346(6):393-403. doi: 10.1056/NEJMoa012512
10. Мкртумян А.М. Ликсисенатид – прандиальный агонист рецептора глюкагоноподобного пептида-1 // Эффективная фармакотерапия. – 2015. – №32. – С. 16-22. [Mkrtumyan AM. Lixisenatide – a Prandial Glucagon-Like Peptide-1 Receptor Agonist. Effektivnaya farmakoterapiya. 2015;(32):16-22. (In Russ.)
11. Дедов И.И., Шестакова М.В. Инкретины: новая веха в лечении сахарного диабета 2 типа. Практическое руководство для врачей. – М.; 2010. [Dedov II, Shestakova MV. Inkretiny: novaya vekha v lechenii sakharnogo diabeta 2-tipa. A practical guide for physicians. Moscow; 2010. (In Russ.)]
12. Muscelli E, Mari A, Casolaro A, et al. Separate impact of obesity and glucose tolerance on the incretin effect in normal subjects and type 2 diabetic patients. Diabetes. 2008;57(5):1340-1348. doi: 10.2337/db07-1315
13. Madsbad S. The role of glucagon-like peptide-1 impairment in obesity and potential therapeutic implications. Diabetes Obes Metab. 2014;16(1):9-21. doi: 10.1111/dom.12119
14. Williams DL, Baskin DG, Schwartz MW. Evidence that intestinal glucagon-like peptide-1 plays a physiological role in satiety. Endocrinology. 2009;150(4):1680-1687. doi: 10.1210/en.2008-1045
15. Herrmann C, Goke R, Richter G, et al. Glucagon-like peptide-1 and glucose-dependent insulin-releasing polypeptide plasma levels in response to nutrients. Digestion. 1995;56(2):117-126. doi: 10.1159/000201231
16. Holst JJ, Deacon CF. Glucagon-like peptide-1 mediates the therapeutic actions of DPP-IV inhibitors. Diabetologia. 2005;48(4):612-615. doi: 10.1007/s00125-005-1705-7
17. Baggio LL, Drucker DJ. Biology of incretins: GLP-1 and GIP. Gastroenterology. 2007;132(6):2131-2157. doi: 10.1053/j.gastro.2007.03.054
18. Тельнова М.Э., Петунина Н.А. Оценка показателя уровня глюкогоноподобного пептида-1 при ожирении базально и в ходе теста с пищевой нагрузки // Медицинский вестник МВД. – 2014. – №4. – С. 41-45. [Telnova ME, Petunina NA. Evaluation of glucagon-like peptide-1 level indicator in persons with obesity basal and in the courseof alimentary load. Meditsinskiy vestnik MVD. 2014;(4):41-45. (In Russ.)]
19. Rodriquez de Fonseca F, Navarro M, Alvarez E, et al. Peripheral versus central effects of glucagon-like peptide-1 receptor agonists on satiety and body weight loss in Zucker obese rats. Metabolism. 2000;49(6):709-717. doi: 10.1053/meta.2000.6251
20. Knop FK, Aaboe K, Vilsboll T, et al. Impaired incretin effect and fasting hyperglucagonaemia characterizing type 2 diabetic subjects are early signs of dysmetabolism in obesity. Diabetes Obes Metab. 2012;14(6):500-510. doi: 10.1111/j.1463-1326.2011.01549.x
21. Adam TCM, Westerterp-Plantenga MS. Glucagon-like peptide-1 release and satiety after a nutrient challenge in normal-weight and obese subjects. Br J Nutr. 2007;93(06):845. doi: 10.1079/bjn20041335
22. Toft-Nielsen MB, Damholt MB, Madsbad S, et al. Determinants of the impaired secretion of glucagon-like peptide-1 in type 2 diabetic patients. J Clin Endocrinol Metab. 2001;86(8):3717-3723. doi: 10.1210/jcem.86.8.7750
23. Vilsboll T, Krarup T, Sonne J, et al. Incretin secretion in relation to meal size and body weight in healthy subjects and people with type 1 and type 2 diabetes mellitus. J Clin Endocrinol Metab. 2003;88(6):2706-2713. doi: 10.1210/jc.2002-021873
24. Flint A, Raben A, Rehfeld JF, et al. The effect of glucagon-like peptide-1 on energy expenditure and substrate metabolism in humans. Int J Obes. 2000;24(3):288-298. doi: 10.1038/sj.ijo.0801126
25. Dirksen C, Jorgensen NB, Bojsen-Moller KN, et al. Mechanisms of improved glycaemic control after Roux-en-Y gastric bypass. Diabetologia. 2012;55(7):1890-1901. doi: 10.1007/s00125-012-2556-7
26. American Diabetes Assotiation. Pharmacologic Approaches to Glycemic Treatment. Diabetes Care. 2017;40(Suppl 1):S64-S74. doi: 10.2337/dc17-S011
27. Garber AJ, Abrahamson MJ, Barzilay JI, et al. Consensus Statement by the American Association of Clinical Endocrinologists and American College of Endocrinology on the Comprehensive Type 2 Diabetes Management Algorithm--2016 Executive Summary. Endocr Pract. 2016;22(1):84-113. doi: 10.4158/EP151126.CS
28. grls.rosminzdrav.ru [интернет]. Государственный реестр лекарственных средств [доступ от 14.09.2018]. Доступ по ссылке: http://grls.rosminzdrav.ru/default.aspx. [Grls.rosminzdrav.ru [Internet]. State Register of Medicines [cited 2018 Sep 14]. Available from: http://grls.rosminzdrav.ru/Default.aspx. (In Russ.)]
29. Werner U, Haschke G, Herling AW, Kramer W. Pharmacological profile of lixisenatide: A new GLP-1 receptor agonist for the treatment of type 2 diabetes. Regul Pept. 2010;164(2-3):58-64. doi: 10.1016/j.regpep.2010.05.008
30. Knudsen LB, Nielsen PF, Huusfeldt PO, et al. Potent Derivatives of Glucagon-like Peptide-1 with Pharmacokinetic Properties Suitable for Once Daily Administration. J Med Chem. 2000;43(9):1664-1669. doi: 10.1021/jm9909645
31. Thompson AM, Trujillo JM. Dulaglutide: the newest GLP-1 receptor agonist for the management of type 2 diabetes. Ann Pharmacother. 2015;49(3):351-359. doi: 10.1177/1060028014564180
32. Ema.europa.eu [Internet]. Bydureon. Summary of product characteristics [cited 2018 Sep 14]. Available from: http://www.ema.europa.eu/docs/en_GB/document_library/EPAR_-_Product_Information/huma n/002020/WC500108241.pdf.
33. rlsnet.ru [интернет]. Баета Лонг [доступ от 14.09.2018]. Доступ по ссылке: https://www.rlsnet.ru/tn_index_id_94925.htm. [Rlsnet.ru [Internet]. Byetta Long [cited 2018 Sep 14]. Available from: https://www.rlsnet.ru/tn_index_id_94925.htm. (In Russ.)]
34. Vilsboll T, Christensen M, Junker AE, et al. Effects of glucagon-like peptide-1 receptor agonists on weight loss: systematic review and meta-analyses of randomised controlled trials. BMJ. 2012;344:d7771. doi: 10.1136/bmj.d7771
35. Pratley RE, Nauck M, Bailey T, et al. Liraglutide versus sitagliptin for patients with type 2 diabetes who did not have adequate glycaemic control with metformin: a 26-week, randomised, parallel-group, open-label trial. Lancet. 2010;375(9724):1447-1456. doi: 10.1016/s0140-6736(10)60307-8
36. Buse JB, Nauck M, Forst T, et al. Exenatide once weekly versus liraglutide once daily in patients with type 2 diabetes (DURATION-6): a randomised, open-label study. Lancet. 2013;381(9861):117-124. doi: 10.1016/s0140-6736(12)61267-7
37. Karagiannis T, Liakos A, Bekiari E, et al. Efficacy and safety of once-weekly glucagon-like peptide 1 receptor agonists for the management of type 2 diabetes: a systematic review and meta-analysis of randomized controlled trials. Diabetes Obes Metab. 2015;17(11):1065-1074. doi: 10.1111/dom.12541
38. Галстян Г.Р., Каратаева Е.А., Юдович Е.А. Эволюция агонистов рецепторов глюкагоноподобного пептида-1 в терапии сахарного диабета 2 типа // Сахарный диабет. – 2017. – Т. 20. – №4. – С. 286-298. [Galstyan GR, Karataeva EA, Yudovich EA. Evolution of glucagon-like peptide-1 receptor agonists for type 2 diabetes treatment. Diabetes mellitus. 2017;20(4):286-298. (In Russ.)] doi: 10.14341/DM8804
39. Xue X, Ren Z, Zhang A, et al. Efficacy and safety of once-weekly glucagon-like peptide-1 receptor agonists compared with exenatide and liraglutide in type 2 diabetes: a systemic review of randomised controlled trials. Int J Clin Pract. 2016;70(8):649-656. doi: 10.1111/ijcp.12847
40. Blevins T, Pullman J, Malloy J, et al. DURATION-5: exenatide once weekly resulted in greater improvements in glycemic control compared with exenatide twice daily in patients with type 2 diabetes. J Clin Endocrinol Metab. 2011;96(5):1301-1310. doi: 10.1210/jc.2010-2081
41. Wong C, Fisher M. Inconclusive effects of once-weekly exenatide on cardiovascular outcomes in type 2 diabetes. Practical Diabetes. 2017;34(9):302-303. doi: 10.1002/pdi.2140
42. Marso SP, Poulter NR, Nissen SE, et al. Design of the liraglutide effect and action in diabetes: evaluation of cardiovascular outcome results (LEADER) trial. Am Heart J. 2013;166(5):823-830 e825. doi: 10.1016/j.ahj.2013.07.012
43. Marso SP, Bain SC, Consoli A, et al. Semaglutide and Cardiovascular Outcomes in Patients with Type 2 Diabetes. N Engl J Med. 2016;375(19):1834-1844. doi: 10.1056/NEJMoa1607141
44. Garber AJ, Abrahamson MJ, Barzilay JI, et al. Consensus Statement by the American Association of Clinical Endocrinologists and American College of Endocrinology on the Comprehensive Type 2 Diabetes Management Algorithm – 2018 Executive Summary. Endocr Pract. 2018;24(1):91-120. doi: 10.4158/CS-2017-0153
Об авторах
Нина Александровна ПетунинаПервый Московский государственный медицинский университет им. И.М. Сеченова (Сеченовский Университет)
Россия
д.м.н., профессор
Милена Эдуардовна Тельнова
Первый Московский государственный медицинский университет им. И.М. Сеченова (Сеченовский Университет)
Россия
к.м.н., доцент
Дополнительные файлы
|
|
1. Рис. 1. Первичные и вторичные конечные точки (исследование EXSCEL). | |
| Тема | ||
| Тип | Исследовательские инструменты | |
Посмотреть
(146KB)
|
Метаданные ▾ | |
Рецензия
Для цитирования:
Петунина Н.А., Тельнова М.Э. Сахарный диабет и ожирение. Роль агонистов рецепторов глюкагоноподобного пептида-1 в лечении сахарного диабета 2 типа. Сахарный диабет. 2018;21(4):293-300. https://doi.org/10.14341/DM9623
For citation:
Petunina N.A., Telnova M.Е. Diabetes and obesity. The role of agonists glucagon-like peptide-1 of in the treatment of type 2 diabetes. Diabetes mellitus. 2018;21(4):293-300. (In Russ.) https://doi.org/10.14341/DM9623
JATS XML
Контент доступен под лицензией Creative Commons Attribution-NonCommercial-NoDerivatives 4.0 International License (CC BY-NC-ND 4.0).









































