Перейти к:
Электрическая активность сетчатки у крыс со стрептозотоцин- индуцированным сахарным диабетом
https://doi.org/10.14341/DM9490
Аннотация
Обоснование. Диабетическая ретинопатия остается основной причиной слепоты среди людей трудоспособного возраста в развитых странах. В связи с этим актуальным является моделирование сахарного диабета (СД) на лабораторных животных с целью изучения новых клинически перспективных способов определения ранних функциональных изменений сетчатки глаза. Подобное раннее выявление диабетической ретинопатии в сочетании с поиском новых патогенетических мишеней позволит сосредоточиться на стратегии сдерживания развития критических изменений в сетчатке глаза и продлить ее функционирование на фоне развития СД.
Цель. Выявление ключевых параметров электроретинографического исследования, изменения которых будут являться ранними признаками поражения сетчатки у крыс со стрептозотоцин-индуцированным СД, и изучение динамики функционального поражения сетчатки при СД.
Методы. Экспериментальный СД вызывали внутрибрюшинной инъекцией стрептозотоцина (65 мг/кг, группа СД) крысам линии Вистар. Контрольной группе животных внутрибрюшинно вводили цитратный буфер (группа ЦБ). Каждый день на протяжении всего периода наблюдения крысы получали инсулин детемир в дозе 2 ЕД/кг. Офтальмоскопическое и электроретинографическое исследования проводились до моделирования патологии, а также через 50, 58 и 66 сут.
Результаты. На фоне инъекции инсулина в дозе 2 ЕД/кг уровень глюкозы в венозной крови в группе СД составлял 30–40 ммоль/л. Офтальмоскопическое исследование показало, что уже к 50-м суткам диск зрительного нерва бледнел, размывались его границы. При электроретинографическом исследовании наблюдали снижение амплитуды волн осцилляторных потенциалов. Увеличивалась латентность b-волны фотопической системы, однако латентность α-волны фотопической системы и латентности волн скотопической системы практически не изменялись. Дополнительно снижалась амплитуда ритмического ответа при частотах стимуляции 8 и 12 Гц.
Заключение. Ранними функциональными изменениями сетчатки в модели стрептозотоцин-индуцированного СД у крыс являются изменения в следующих параметрах электроретинограммы: амплитуды волн осцилляторных потенциалов, латентность β-волны фотопической системы, а также амплитуда ответов при ритмической стимуляции. Полученные данные позволяют считать, что одной из важнейших причин раннего нарушения функционирования внутренних слоев сетчатки является ее ишемия.
Для цитирования:
Клочихина Е.М., Ердяков А.К., Морозова М.П., Гаврилова С.А., Ахапкина Е.С., Иванов Е.В., Джемилова З.Н., Артемова Е.В., Токмакова А.Ю., Кошелев В.Б., Галстян Г.Р. Электрическая активность сетчатки у крыс со стрептозотоцин- индуцированным сахарным диабетом. Сахарный диабет. 2018;21(5):356-363. https://doi.org/10.14341/DM9490
For citation:
Klochihina E.M., Erdyakov A.K., Morozova M.P., Gavrilova S.A., Akhapkina E.S., Ivanov E.V., Dzhemilova Z.N., Artemova E.V., Tokmakova A.Y., Koshelev V.B., Galstyan G.R. Electrical activity in rat retina in a streptozotocin-induced diabetes model. Diabetes mellitus. 2018;21(5):356-363. (In Russ.) https://doi.org/10.14341/DM9490
Диабетическая ретинопатия остается основной причиной слепоты среди людей трудоспособного возраста в развитых странах. Существующее на сегодняшний день лечение сопряжено с существенными отрицательными воздействиями, такими как риск инфицирования и развития эндофтальмита при проведении интравитреальных инъекций глюкокортикоидов или анти-VEGF-препаратов, или потерей центрального зрения, контрастной чувствительности, нарушением темновой адаптации после проведения лазерной фотокоагуляции. В то же время понимание ранних механизмов развития ретинопатии и изучение особенностей патогенеза ранних стадий ретинопатии должно позволить сосредоточиться на стратегии сдерживания развития критических изменений в сетчатке глаза и продлить ее функционирование на фоне развития сахарного диабета (СД). Необходимость разработки новых методов лечения, применимых на ранних стадиях заболевания и позволяющих предупредить развитие дальнейших изменений, очевидна.
Di Leo и соавт. предположили, что именно часто повторяющиеся эпизоды гипогликемии, а не стабильно высокий уровень глюкозы крови, являются ведущими факторами в патогенезе нейронального повреждения [1]. Другие авторы выявили нарушения контрастной чувствительности во время событий гипогликемии, что подтверждает высокую чувствительность нервных клеток сетчатки к колебаниям уровня глюкозы крови [2]. Подобные работы позволили рассматривать повреждение клеток Мюллера пусковым фактором развития сосудистого повреждения. Одна из основных функций этих клеток сводится к поддержанию биохимического постоянства эндотелиальных клеток и регуляции гемато-ретинального барьера. Отсюда следует, что повреждение глиальных клеток может непосредственно приводить к дисфункции капилляров сетчатки, а также запускать процесс роста новых сосудов [3–5].
Одним из методов оценки зрительной функции является электроретинография (ЭРГ). Согласно современным представлениям, нейродегенерация клеток сетчатки при СД предшествует сосудистым изменениям [6, 7]. Маркеры апоптоза нейронов сетчатки были идентифицированы как по результатам аутопсий, так и на моделях мышей с индуцированным СД. Истончение слоя нервных волокон обусловлено гибелью значительного числа ганглиозных клеток и, соответственно, потерей числа их аксонов [8]. Изменение электрической активности сетчатки, как правило, предшествует выявлению выраженных органических поражений тканей глаза [9, 10]. В связи с этим актуальным является моделирование СД на лабораторных животных с целью изучения ранних способов определения функциональных изменений сетчатки глаза, выявления новых ключевых факторов патогенеза и разработки новых подходов к фармакотерапии заболевания. В частности, до сих пор остается малоизученным влияние поддерживающей минимальной дозы инсулина на зрительную функцию животных с моделированным СД. Таким образом, настоящая работа направлена на выявление ключевых параметров электроретинографического исследования, изменения которых будут являться важными признаками поражения сетчатки при СД.
Выявление ранних признаков нейродегенерации совместно с новыми подходами патогенетической терапии смогут позволить предупредить повреждение гемато-ретинального барьера и развитие микрососудистой патологии глазного дна.
ЦЕЛЬ
Выявление ключевых параметров электроретинографического исследования, изменения которых будут являться ранними признаками поражения сетчатки у крыс со стрептозотоцин-индуцированным СД, и изучение динамики функционального поражения сетчатки при СД.
МЕТОДЫ
Дизайн исследования
Нами проведено экспериментальное контролируемое рандомизированное открытое доклиническое исследование с использованием модели стрептозотоцин-индуцированного СД.
Критерии соответствия
В исследование включали крыс одной партии от одного разводчика, прошедших период карантина, без признаков естественных заболеваний и массой не менее 300 г. Из исследования исключали животных, умерших по причинам, явно не связанным с проведением эксперимента, либо проявляющих видимые признаки естественных заболеваний грызунов, а также крыс, у которых после инъекции стрептозотоцина не развилась выраженная гипергликемия.
Условия проведения
Исследование проводили на факультете фундаментальной медицины МГУ имени М.В. Ломоносова и в помещениях сертифицированного вивария.
Продолжительность исследования
После периода карантинизации, продолжавшегося в течение 1 мес, для удобства проведения работы инициирующее вещество вводили отдельным партиям крыс в течение нескольких недель, так, что общая продолжительность исследования составила около 3 мес. С момента введения инициирующего вещества в зависимости от подгруппы срок пребывания животного в исследовании составлял 50, 58 или 66 сут.
Описание медицинского вмешательства
В исследовании использовали самцов крыс линии Вистар. Животных содержали в стандартных условиях вивария с регулируемым световым режимом (12 ч день, 12 ч ночь) и свободным доступом к воде и пище. Экспериментальный СД вызывали внутрибрюшинным введением стрептозотоцина (СТЗ) в дозе 65 мг/кг («Sigmα-Aldrich»), растворенного в 0,1 М натриево-цитратном буфере (pH 4,5) (группа СД). Контрольной группе животных вводили внутрибрюшинно аналогичную дозу натриево-цитратного буфера (группа ЦБ). Через 3 сут определяли уровень глюкозы в венозной крови из хвостовой вены. Из группы животных, которым вводили стрептозотоцин, исключали крыс с уровнем глюкозы менее 15 ммоль/л. Каждую неделю в утреннее время регистрировали уровень глюкозы в венозной крови, забранной из хвостовой вены у всех животных, которых предварительно не лишали корма. В течение всего времени наблюдения животным группы СД ежедневно вводили подкожно инсулин детемир в дозе 2 ЕД/кг. На 50-е, 58-е и 66-е сутки осуществляли эвтаназию по подгруппам обследованных животных путем введения раствора хлоралгидрата.
Основной исход исследования
Для каждого животного основным исходом являлись результаты офтальмоскопического и электроретинографического исследования, проведенного в соответствующую временную точку.
Анализ в подгруппах
Животных после периода карантина распределяли на группы СД и контроля (цитратный буфер, группа ЦБ), рандомизируя по массе тела. Внутри основных групп крыс разделили на 3 подгруппы по продолжительности исследования (50, 58 или 66 сут). Дополнительно выделяли меньшую по объему группу интактного контроля (группа ИК), состоящую из крыс той же партии, не подвергавшихся вмешательству (введению раствора СТЗ или ЦБ).
Методы регистрации исходов
Офтальмоскопическое и электроретинографическое исследования проводили животным, наркотизированным хлоралгидратом (0,3 г/кг, внутрибрюшинно). Данные исследования осуществляли в четыре временные точки: до введения СТЗ или ЦБ, а также через 50, 58 и 66 сут. Срок развития диабета рассчитывался с момента контрольной регистрации уровня глюкозы в крови, которая осуществлялась на 3-и сутки эксперимента. Перед исследованиями животные получали инстилляции 0,5%-ного раствора тропикамида («Мидриацил», Alcon) для расширения зрачка и 0,5%-ного раствора проксиметакаина («Алкаин», Alcon) для обезболивания в оба глаза, а затем подвергались темновой адаптации в течение 15 минут. Электроретинографическое исследование проводили на электроретинографе «Нейро-ЭРГ» (Neurosoft), используя петлевой активный электрод, который накладывали на роговицу, референсный игольчатый электрод, вводимый подкожно на затылочную часть головы, и игольчатый электрод заземления, который вводили подкожно сбоку в области нижнего ребра. С целью оценки зрительной функции проводили следующие тесты: палочковая ЭРГ, максимальная ЭРГ, осцилляторные потенциалы. Затем животных адаптировали 10 мин на свету и проводили второй набор тестов: колбочковая ЭРГ, ритмическая ЭРГ, зрительные вызванные потенциалы. Параметры стимуляции при электроретинографическом исследовании отражены в табл. 1. Последним этапом проводили офтальмоскопическое исследование обоих глаз с использованием непрямого бинокулярного офтальмоскопа фирмы Heine (линза 70D).
Таблица 1. Параметры стимуляции при проведении электроретинографического исследования
|
Тест |
Стимулятор |
Амплитуда стимула, лог. ед. |
Длительность стимула, мс |
Измеряемые параметры |
|
Темновая адаптация (15 мин) |
||||
|
Палочковая ЭРГ |
Ганцфельд |
-2,0 |
5 |
Латентность α- и β-волн |
|
Максимальная ЭРГ |
Ганцфельд |
0,0 |
5 |
Латентность α- и β-волн |
|
Осцилляторные потенциалы |
Ганцфельд |
0,00 |
5 |
Амплитуда и латентность О1-О4 волн |
|
Световая адаптация (10 мин) |
||||
|
Колбочковая ЭРГ |
Красный Синий Зеленый Белый |
0,0 |
5 |
Латентность α- и β-волн |
|
Ритмическая ЭРГ |
Ганцфельд |
0,0 |
5 |
Амплитуда |
Этическая экспертиза
При работе с экспериментальными животными руководствовались приказом Министерства здравоохранения и социального развития Российской Федерации №708н от 23.08.2010 г. «Об утверждении Правил лабораторной практики». На проведение опытов получено разрешение комиссии по биоэтике факультета № БМЭ-12-17/110-03 от 19.09.2017. При организации работы ориентировались на стандарты GLP (Good Laboratory Practice), ГОСТ 33044-2014.
Статистический анализ
Размер выборки предварительно не рассчитывался. Статистический анализ результатов исследования проводили с помощью пакета программы IBM SPSS Statistics 22.0 с применением метода ANOVA и t-теста для парных выборок, поскольку критерий согласия Пирсона позволил заключить, что распределение является нормальным. Данные представлены в виде среднего значения и стандартного отклонения. Статистически значимыми считали результаты при p<0,05.
РЕЗУЛЬТАТЫ
Объекты исследования
В исследование вошли 98 животных, соответствующих критериям исследования, массой 412,4±61,1 г с равномерным распределением животных по массе между группами и подгруппами. Данные об абсолютном количестве животных, принимавших участие в эксперименте, их смертности и развитии диабета представлены в табл. 2.
Таблица 2. Данные об абсолютном количестве животных, принимавших участие в эксперименте, их смертности и развитии диабета
|
Группа |
День забора |
Было исходно |
Нет диабета |
Умерли |
Включены в исследование |
|
СД |
50 |
13 |
1 |
1 |
11 |
|
58 |
18 |
4 |
5 |
9 |
|
|
66 |
14 |
1 |
7 |
6 |
|
|
ЦБ |
50 |
11 |
- |
0 |
11 |
|
58 |
10 |
0 |
10 |
||
|
66 |
9 |
4 |
5 |
||
|
ИК |
9 |
- |
- |
- |
9 |
Основные результаты исследования
У животных со стрептозотоцин-индуцированным диабетом наблюдали полиурию, повышенное потребление воды. Начиная с 36-х суток эксперимента масса животных в группе СД значимо снижалась по сравнению с группой ЦБ (рис. 1А), в то время как уровень глюкозы в крови значимо возрастал по сравнению с исходным значением (5–9 ммоль/л) уже на первой неделе развития СД и составлял в среднем 30–40 ммоль/л (рис. 1Б). Уровни кетоновых тел в крови животных группы ЦБ и СД статистически значимо не отличались и составляли 0,84 и 0,89 ммоль/л соответственно.
Рис. 1. А. Динамика массы животных после внутрибрюшинной инъекции цитратного буфера (группа ЦБ, серые графики) или стрептозотоцина (группа СД, черные графики). Б. Динамика уровня глюкозы венозной крови из хвостовой вены после внутрибрюшинной инъекции цитратного буфера (группа ЦБ, серые графики) или стрептозотоцина (группа СД, черные графики).
Офтальмоскопические исследование
При офтальмоскопическом исследовании у крыс группы ЦБ не было выявлено изменений глазного дна в контрольные точки по сравнению с состоянием до введения ЦБ. Осмотр глазного дна крыс в группе СД выявил легкое помутнение хрусталика преимущественно на периферии. К 50-м суткам эксперимента зарегистрировали побледнение диска зрительного нерва и размытие его границ. На 66-е сутки глазное дно стало более бледным, что может говорить о снижении или нарушении капиллярного кровотока в сетчатке глаза (рис. 2).
Рис. 2. Глазное дно правого глаза крысы до внутрибрюшинного введения стрептозотоцина и через 66 сут.
Электроретинографическое исследование
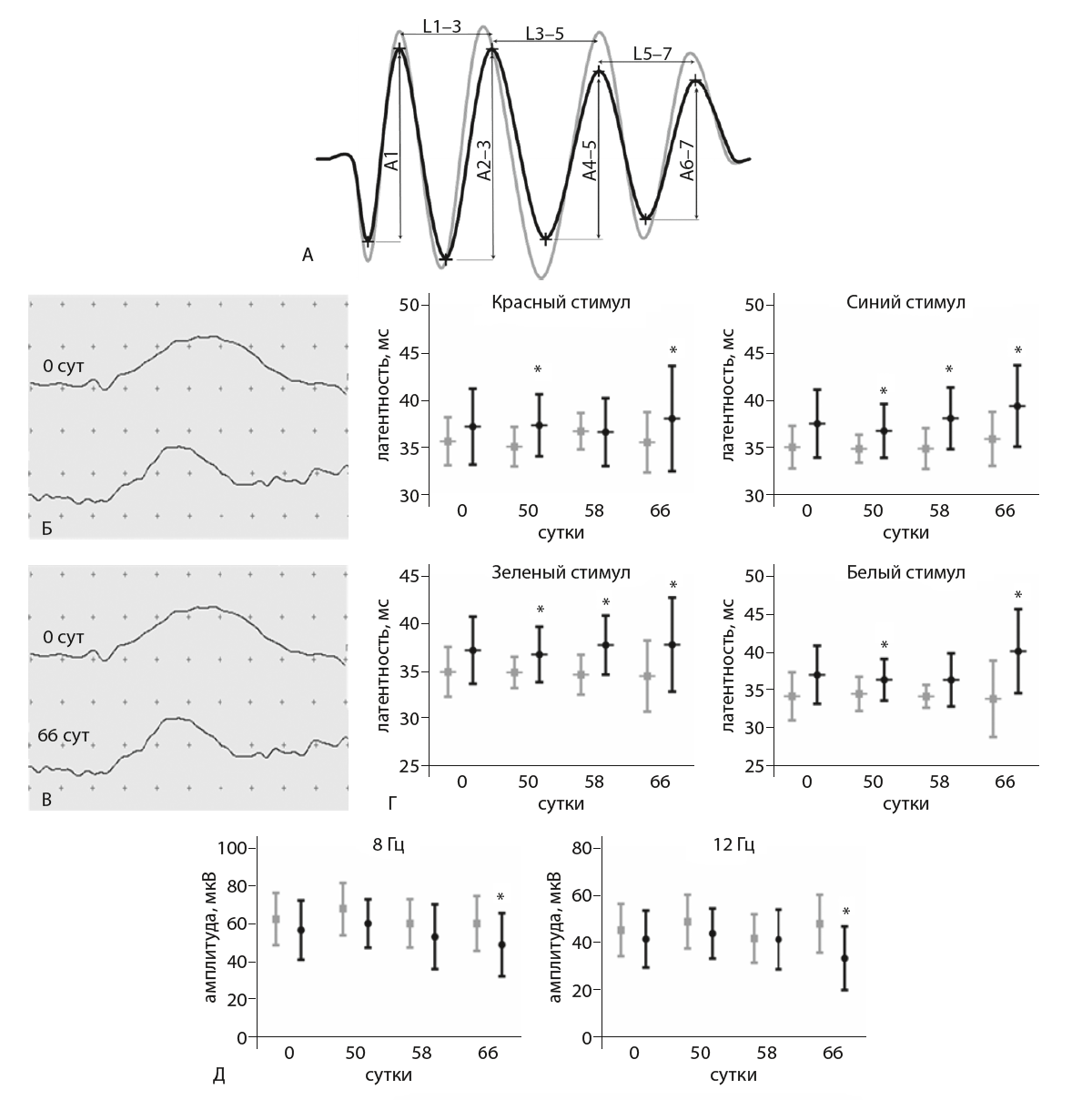
Основные результаты электроретинографического исследования представлены на рис. 3. При моделировании СД даже к 66-м суткам ответ палочковой системы практически не изменяется, равно как и смешанный ответ палочек и колбочек (рис. 3Б, 3В). Анализ осцилляторных потенциалов показал, что на 50-е сутки у крыс в группе СД амплитуды волн А1, А2–3 и А4–5 были значимо ниже по сравнению с группой ЦБ в 1,23, 1,67 и 1,44 раза соответственно (p<0,05). К 58-м суткам регистрировали значимое снижение амплитуд волн А4–5 и А6–7 у крыс в группе СД по сравнению с группой ЦБ соответственно на 11 и 12,4% (p<0,05). Снижение амплитуды волны А4–5 в группе СД по сравнению с группой ЦБ сохранялось на 66-е сутки эксперимента и составляло 31,9% (p<0,05). Кроме этого, к 66-м сутками мы наблюдали снижение амплитуды волн А2–3, А4–5 и А6–7 в группе СД по сравнению с исходными значениями до введения в эксперимент на 6,3, 4,6 и 1,99%. Латентности волн практически не изменялись по сравнению с группой ЦБ. Только к концу эксперимента наблюдали увеличение латентностей волн L1–3 и L5–7, в особенности L5–7, на 6% (p<0,05) (рис. 3А, табл. 3). Таким образом, наиболее ранним сигналом ухудшения зрительной функции при развитии СД в эксперименте является снижение амплитуд волн осцилляторных потенциалов, но не увеличение их латентностей.
Таблица 3. Результаты обсчета графиков осцилляторных потенциалов.
|
Группа |
Срок |
А1 |
А2–3 |
А4–5 |
А6–7 |
L1–3 |
L3–5 |
L5–7 |
|
ЦБ |
0 |
11,81±3,97 |
13,26±5,60 |
11,11±4,06 |
8,62±3,68 |
14,13±2,14 |
19,02±9,07 |
15,45±2,62 |
|
50 |
13,81±2,05 |
16,67±6,21$ |
12,52±3,43 |
8,57±3,31 |
13,16±2,22 |
22,75±4,89$ |
16,36±2,51 |
|
|
58 |
11,87±3,62 |
12,27±4,47 |
9,89±2,04 |
8,06±1,99$ |
14,35±1,92 |
17,62±3,00 |
14,91±2,83 |
|
|
66 |
11,43±5,63 |
12,17±5,71 |
12,37±5,75 |
9,28±5,61 |
14,08±1,50 |
19,42±3,73$ |
14,93±2,17 |
|
|
СД |
0 |
10,81±4,83 |
11,24±5,85 |
8,83±3,07 |
7,03±2,97 |
13,76±2,36 |
17,19±5,26 |
16,64±2,55 |
|
50 |
11,25±4,11* |
10,01±3,99*$ |
8,71±3,06*$ |
6,69±2,09$ |
14,08±2,38 |
17,46±2,44 |
17,44±3,33 |
|
|
58 |
10,94±4,82 |
12,91±7,53 |
8,80±2,95*$ |
7,06±4,36*$ |
13,66±1,11 |
16,56±2,31 |
16,68±2,05 |
|
|
66 |
9,53±5,11 |
10,53±5,56$ |
8,42±2,94*$ |
6,89±2,65$ |
14,14±3,10* |
18,08±9,09 |
15,82±1,53* |
Примечания: * – p<0,05 по сравнению с группой ЦБ, $ – p<0,05 по сравнению со значениями до внутрибрюшинной инъекции
Рис. 3. А. Усредненные графики осцилляторных потенциалов с обозначенными оцениваемыми параметрами через 66 суток после внутрибрюшинной инъекции цитратного буфера (группа ЦБ, серые графики) или стрептозотоцина (группа СД, черные графики). Б. Примеры графиков палочкового ответа до внутрибрюшинной инъекции стрептозотоцина и через 66 суток. В. Примеры графиков максимального ответа до внутрибрюшинной инъекции стрептозотоцина и через 66 суток. Г. Результаты анализа β-волны колбочкового ответа после внутрибрюшинной инъекции цитратного буфера (группа ЦБ, серые графики) или стрептозотоцина (группа СД, черные графики): * – p<0,05 по сравнению с группой ЦБ. Д. Результаты анализа ритмической электроретинографии после внутрибрюшинной инъекции цитратного буфера (группа ЦБ, серые графики) или стрептозотоцина (группа СД, черные графики): * – p<0,05 по сравнению с группой ЦБ.
Более чувствительным оказался колбочковый ответ на различные цветовые стимулы (рис. 3Г). В частности, уже к 50-м суткам развития диабета наблюдалось статистически значимое увеличение латентности β-волны колбочкового ответа на все цветовые стимулы по сравнению с группой ЦБ в среднем на 5,4% (p<0,05). Латентность β-волн в ответ на синий и зеленый стимулы увеличилась в среднем на 8,5% по сравнению с группой ЦБ (p<0,05) на 58-е сутки. К 66-м суткам статистически значимые различия между латентностями β-волн между группами СД и ЦБ зафиксированы в ответ на любые цветовые стимулы. Латентности β-волн с увеличением срока наблюдения значительно не возрастали, но имелась тенденция к их увеличению по мере прогрессирования диабета. Амплитуда α-волны колбочкового ответа значимо не изменялась. СД привел к снижению амплитуды ритмического ответа при стимуляции с частотой 8 и 12 Гц на 66-е сутки в среднем на 25% (p<0,05) по сравнению с группой ЦБ (рис. 3Д).
ОБСУЖДЕНИЕ
Резюме основного результата исследования
Офтальмоскопическое исследование животных со стрептозотоцин-индуцированным диабетом выявило развитие изменений глазного дна, свидетельствующих об ухудшении кровоснабжения. Проведенная оценка функциональной активности сетчатки позволяет заключить, что поражаются преимущественно внутренние слои сетчатки, а фоторецепторная система остается практически неизменной.
Обсуждение основного результата исследования
Примененная модель стрептозотоцин-индуцированного СД в настоящее время является наиболее часто используемой и легко воспроизводимой и также используется для изучения диабетической ретинопатии [11]. Стрептозотоцин при внутрибрюшинном введении сам по себе не обладает нейротоксическим эффектом, в связи с чем наблюдаемая ретинопатия связана именно с гипергликемией и является диабетической [12].
Поскольку нас интересовали достаточно длительные сроки эксперимента, мы дополнительно осуществляли инсулинотерапию в дозе 2 ЕД/кг, что не снижало высокую концентрацию глюкозы в крови, но предотвращало резкую потерю массы животных и, соответственно, их гибель.
Клинический диагноз диабетической ретинопатии ставится на основе результатов офтальмоскопического исследования. К основным признакам данной патологии относят геморрагии, микроаневризмы, ватообразные очаги. Однако известно, что функциональное нарушение сетчатки глаза происходит еще до проявления клинических симптомов. Электроретинографическое исследование позволяет выявить наиболее ранние симптомы нарушения функциональной целостности глаза у пациентов с СД [13]. Данные ЭРГ, в свою очередь, коррелируют с морфологическими изменениями в сетчатке глаза [14].
Данные, полученные в ходе электроретинографического исследования, показывают, что ответ палочковой системы, равно как и смешанный ответ палочек и колбочек, практически не изменяются на 50–66-е сутки эксперимента [15]. Напротив, измерение амплитуд волн осцилляторных потенциалов, но не их латентностей, является достаточно чувствительным показателем, отражающим функциональное повреждение сетчатки при развитии СД. В то же время латентность β-волны колбочкового ответа на различные цветовые стимулы – один из наиболее значимых показателей, отражающих нарушение функционирования сетчатки. Известно, что источником осцилляторных потенциалов являются внутренние слои сетчатки (биполярные клетки, амакриновые клетки, ганглионарные клетки) [16], в то время как β-волна колбочкового ответа отражает биоэлектрическую активность фотопической системы сетчатки (вероятно, биполярных клеток и клеток Мюллера). Таким образом, у крыс со стрептозотоцин-индуцированным СД к 66-м суткам эксперимента развивается нарушение функционирования именно внутренних слоев сетчатки, но не фоторецепторной системы [5, 17, 18].
В результате исследования глазного дна крыс методом офтальмоскопии к 50–66-м суткам мы выявили характерные признаки ишемического поражения сетчатки: побледнение диска зрительного нерва, размытие его границ, побледнение глазного дня, что согласуется с литературными данными [19, 20]. Полученные данные свидетельствуют об ишемической природе поражения нейронов второго порядка и ганглионарных клеток сетчатки на фоне развития СД при прогрессировании диабетической ретинопатии.
Ограничения исследования
Настоящее исследование направлено на моделирование СД у лабораторных животных с целью изучения новых клинически перспективных способов определения ранних функциональных изменений сетчатки глаза. Возможным ограничением исследования является прямая экстраполяция данных на человека. Существенно дополнить данное исследование могут модели с СД 2 типа, нарушение обмена веществ в которых связано с развитием толерантности к глюкозе на фоне эугликемии. Интересным также является вопрос влияния диет, в животных моделях – это смещение рациона в сторону преобладания белковой или жирной пищи. Различные рационы изменяют биохимический состав крови и, безусловно, влияют на развитие осложнений СД. Два последних подхода в настоящее время разрабатываются коллективом авторов статьи.
ЗАКЛЮЧЕНИЕ
Полученные результаты показывают, что высокая гипергликемия в модели стрептозотоцин-индуцированного СД приводит к ишемическим повреждениям сетчатки, при этом на ранних этапах развития заболевания функционально в большей степени страдают внутренние ее слои. Изменение электрической активности внутренних слоев сетчатки может использоваться как маркер диабетического повреждения при проведении дальнейших исследований и как основа для поиска новых диагностических подходов в клинической практике.
ДОПОЛНИТЕЛЬНАЯ ИНФОРМАЦИЯ
Источник финансирования. Исследование выполнено при финансовой поддержке Российского научного фонда (проект № 16-15-10365).
Конфликт интересов. Авторы декларируют отсутствие явных и потенциальных конфликтов интересов, связанных с публикацией настоящей статьи.
Участие авторов. Участие авторов. Е. М. Клочихина – уход и наблюдение за лабораторными животными, моделирование сахарного диабета, проведение комплексного обследования животных, концепция и дизайн статьи, анализ литературы, статистическая обработка результатов исследования, интерпретация результатов, написание статьи; С.А. Гаврилова – концепция и дизайн статьи, редактирование текста, утверждение итогового варианта текста рукописи; Е.В. Иванов, А.М. Горбачева, М. П. Морозова, А.К. Ердяков – уход и наблюдение за лабораторными животными, моделирование сахарного диабета, проведение комплексного обследования животных; З.Н. Джемилова, Е.В. Артемова, А.Ю. Токмакова – редактирование текста; В.Б. Кошелев, Г.Р. Галстян – редактирование текста; утверждение итогового варианта текста рукописи. Все авторы внесли существенный вклад в проведение исследования и подготовку статьи, прочли и одобрили финальную версию перед публикацией.
Список литературы
1. Di Leo MA, Caputo S, Falsini B, et al. Nonselective Loss of Contrast Sensitivity in Visual System Testing in Early Type I Diabetes. Diabetes Care. 1992;15(5):620-625. doi: 10.2337/diacare.15.5.620
2. Ewing FME, Deary IJ, McCrimmon RJ, et al. Effect of acute hypoglycemia on visual information processing in adults with type 1 diabetes mellitus. Physiol Behav. 1998;64(5):653-660. doi: 10.1016/s0031-9384(98)00120-6
3. Zochodne DW. Microangiopathy, Diabetes, and the Peripheral Nervous System. In: Veves A, Malik RA, editors. Diabetic Neuropathy. Clinical Diabetes. New York: Humana Press; 2003. p. 207-229. doi: 10.1007/978-1-59745-311-0_12
4. Gillies MC, Su T, Stayt J, et al. Effect of high glucose on permeability of retinal capillary endothelium in vitro. Invest Ophthalmol Vis Sci. 1997;38(3):635-642.
5. Puro DG. Diabetes-induced dysfunction of retinal Muller cells. Trans Am Ophthalmol Soc. 2002;100:339-352.
6. Ciudin A, Hernandez C, Simo R. Molecular Implications of the PPARs in the Diabetic Eye. PPAR Res. 2013;2013:686525. doi: 10.1155/2013/686525
7. Simo R, Hernandez C, European Consortium for the Early Treatment of Diabetic R. Neurodegeneration is an early event in diabetic retinopathy: therapeutic implications. Br J Ophthalmol. 2012;96(10):1285-1290. doi: 10.1136/bjophthalmol-2012-302005
8. Barber AJ, Lieth E, Khin SA, et al. Neural apoptosis in the retina during experimental and human diabetes. Early onset and effect of insulin. J Clin Invest. 1998;102(4):783-791. doi: 10.1172/JCI2425
9. Pescosolido N, Barbato A, Stefanucci A, Buomprisco G. Role of Electrophysiology in the Early Diagnosis and Follow-Up of Diabetic Retinopathy. J Diabetes Res. 2015;2015:319692. doi: 10.1155/2015/319692
10. Shankar U, Gunasundari R. A Review on Electrophysiology Based Detection of Diabetic Retinopathy. Procedia Comput Sci. 2015;48:630-637. doi: 10.1016/j.procs.2015.04.145
11. Furman BL. Streptozotocin-Induced Diabetic Models in Mice and Rats. Curr Protoc Pharmacol. 2015;70:5 47 41-20. doi: 10.1002/0471141755.ph0547s70
12. Davidson E, Coppey L, Lu B, et al. The roles of streptozotocin neurotoxicity and neutral endopeptidase in murine experimental diabetic neuropathy. Exp Diabetes Res. 2009;2009:431980. doi: 10.1155/2009/431980
13. Tzekov R, Arden GB. The Electroretinogram in Diabetic Retinopathy. Surv Ophthalmol. 1999;44(1):53-60. doi: 10.1016/s0039-6257(99)00063-6
14. Jansson RW, Raeder MB, Krohn J. Photopic full-field electroretinography and optical coherence tomography in type 1 diabetic retinopathy. Graefes Arch Clin Exp Ophthalmol. 2015;253(7):989-997. doi: 10.1007/s00417-015-3034-y
15. Pardue MT, Barnes CS, Kim MK, et al. Rodent Hyperglycemia-Induced Inner Retinal Deficits are Mirrored in Human Diabetes. Transl Vis Sci Technol. 2014;3(3):6. doi: 10.1167/tvst.3.3.6
16. Wachtmeister L. Oscillatory potentials in the retina: what do they reveal. Prog Retin Eye Res. 1998;17(4):485-521. doi: 10.1016/s1350-9462(98)00006-8
17. van Dijk HW, Kok PH, Garvin M, et al. Selective loss of inner retinal layer thickness in type 1 diabetic patients with minimal diabetic retinopathy. Invest Ophthalmol Vis Sci. 2009;50(7):3404-3409. doi: 10.1167/iovs.08-3143
18. Kohzaki K, Vingrys AJ, Bui BV. Early inner retinal dysfunction in streptozotocin-induced diabetic rats. Invest Ophthalmol Vis Sci. 2008;49(8):3595-3604. doi: 10.1167/iovs.08-1679
19. Zhang Y, Fortune B, Atchaneeyasakul LO, et al. Natural history and histology in a rat model of laser-induced photothrombotic retinal vein occlusion. Curr Eye Res. 2008;33(4):365-376. doi: 10.1080/02713680801939318
20. Terelak-Borys B, Skonieczna K, Grabska-Liberek I. Ocular ischemic syndrome – a systematic review. Med Sci Monit. 2012;18(8):RA138-RA144. doi: 10.12659/msm.883260
Об авторах
Екатерина Михайловна КлочихинаМосковский государственный университет имени М.В. Ломоносова
Россия
аспирант
Алексей Константинович Ердяков
Московский государственный университет имени М.В. Ломоносова
Россия
к.б.н., старший научный сотрудник
Мария Павловна Морозова
Московский государственный университет имени М.В. Ломоносова
Россия
к.б.н., ассистент
Светлана Анатольевна Гаврилова
Московский государственный университет имени М.В. Ломоносова
Россия
к.б.н., доцент
Елена Сергеевна Ахапкина
Московский государственный университет имени М.В. Ломоносова
Россия
студент
Евгений Викторович Иванов
Московский государственный университет имени М.В. Ломоносова
Россия
аспирант
Зера Нусредовна Джемилова
Национальный медицинский исследовательский центр эндокринологии
Россия
научный сотрудник
Екатерина Викторовна Артемова
Национальный медицинский исследовательский центр эндокринологии
Россия
научный сотрудник
Алла Юрьевна Токмакова
Национальный медицинский исследовательский центр эндокринологии
Россия
д.м.н., г.н.с. отделения «Диабетическая стопа»
Владимир Борисович Кошелев
Московский государственный университет имени М.В. Ломоносова
Россия
д.б.н., профессор, заведующий кафедрой физиологии и общей патологии
Гагик Радикович Галстян
Национальный медицинский исследовательский центр эндокринологии
Россия
д.м.н., зав. отделением «Диабетическая стопа»
Дополнительные файлы
|
1. Электрическая активность сетчатки у крыс со стрептозотоцин-индуцированным сахарным диабетом | |
| Тема | ||
| Тип | Исследовательские инструменты | |
Скачать
(145KB)
|
Метаданные ▾ | |
|
|
2. Рис. 1. А. Динамика массы животных после внутрибрюшинной инъекции цитратного буфера (группа ЦБ, серые графики) или стрептозотоцина (группа СД, черные графики). Б. Динамика уровня глюкозы венозной крови из хвостовой вены после внутрибрюшинной инъекции цитратного буфера (группа ЦБ, серые графики) или стрептозотоцина (группа СД, черные графики). | |
| Тема | ||
| Тип | Исследовательские инструменты | |
Посмотреть
(183KB)
|
Метаданные ▾ | |
|
|
3. Рис. 2. Глазное дно правого глаза крысы до внутрибрюшинного введения стрептозотоцина и через 66 сут. | |
| Тема | ||
| Тип | Исследовательские инструменты | |
Посмотреть
(1MB)
|
Метаданные ▾ | |
|
|
4. Рис. 3. А. Усредненные графики осцилляторных потенциалов с обозначенными оцениваемыми параметрами через 66 суток после внутрибрюшинной инъекции цитратного буфера (группа ЦБ, серые графики) или стрептозотоцина (группа СД, черные графики). Б. Примеры графиков палочкового ответа до внутрибрюшинной инъекции стрептозотоцина и через 66 суток. В. Примеры графиков максимального ответа до внутрибрюшинной инъекции стрептозотоцина и через 66 суток. Г. Результаты анализа β-волны колбочкового ответа после внутрибрюшинной инъекции цитратного буфера (группа ЦБ, серые графики) или стрептозотоцина (группа СД, черные графики): * – p<0,05 по сравнению с группой ЦБ. Д. Результаты анализа ритмической электроретинографии после внутрибрюшинной инъекции цитратного буфера (группа ЦБ, серые графики) или стрептозотоцина (группа СД, черные графики): * – p<0,05 по сравнению с группой ЦБ. | |
| Тема | ||
| Тип | Исследовательские инструменты | |
Посмотреть
(317KB)
|
Метаданные ▾ | |
Рецензия
Для цитирования:
Клочихина Е.М., Ердяков А.К., Морозова М.П., Гаврилова С.А., Ахапкина Е.С., Иванов Е.В., Джемилова З.Н., Артемова Е.В., Токмакова А.Ю., Кошелев В.Б., Галстян Г.Р. Электрическая активность сетчатки у крыс со стрептозотоцин- индуцированным сахарным диабетом. Сахарный диабет. 2018;21(5):356-363. https://doi.org/10.14341/DM9490
For citation:
Klochihina E.M., Erdyakov A.K., Morozova M.P., Gavrilova S.A., Akhapkina E.S., Ivanov E.V., Dzhemilova Z.N., Artemova E.V., Tokmakova A.Y., Koshelev V.B., Galstyan G.R. Electrical activity in rat retina in a streptozotocin-induced diabetes model. Diabetes mellitus. 2018;21(5):356-363. (In Russ.) https://doi.org/10.14341/DM9490
Контент доступен под лицензией Creative Commons Attribution-NonCommercial-NoDerivatives 4.0 International License (CC BY-NC-ND 4.0).









































