Перейти к:
Разработка и проверка работы ПИД-регулятора для искусственной поджелудочной железы с интраперитонеальным введением инсулина
https://doi.org/10.14341/DM8265
Аннотация
Обоснование. Эффективность лечения сахарного диабета 1 типа (СД1) можно значительно повысить при использовании искусственной поджелудочной железы (ИПЖ) – устройства или технологии, позволяющей автоматически управлять гликемией. В основе ИПЖ лежит управляющий алгоритм, задачей которого является регуляция доз вводимого пациенту инсулина в зависимости от информации об уровне глюкозы в крови таким образом, чтобы эффективно удерживать концентрацию глюкозы у пациента в заданном интервале. К настоящему времени разработан ряд теоретических моделей функционирования таких устройств, часть из них уже проходят клинические или экспериментальные испытания.
Цель. В этой работе мы оценивали эффективность работы контроллера для управления автоматической доставкой инсулина в ИПЖ, конструкция которого создана на основе пропорционально-интегрально-дифференциального (ПИД) алгоритма, используя фармакокинетические параметры инсулина при его интраперитонеальном (ИП) введении.
Методы. Оценка работы контроллера проводилась в виртуальной среде InSilico (при помощи математического моделирования, без участия живых участников) с использованием метаболического тренажера UVA/Padova на 10 пациентах. Схема контроллера использовала параметры фармакокинетики и фармакодинамики инсулина при условии введения его в ИП-пространство и основывалась на ПИД-контроллере с обратной связью для обеспечения безопасной и эффективной доставки инсулина.
Результаты. Предложенная конструкция контроллера позволила достигать виртуальным пациентам 83% времени в пределах гликемического диапазона 70–140 мг/дл (3,9–7,8 ммоль/л) при полном отсутствии эпизодов гипогликемии.
Заключение. Полученные результаты могут служить обоснованием для проведения исследований разработанного контроллера с участием живых объектов in vivo для оценки его эффективности и безопасности.
Ключевые слова
Для цитирования:
Карпельев В.А., Филиппов Ю.И., Аверин А.В., Боярский М.Д., Гаврилов Д.А. Разработка и проверка работы ПИД-регулятора для искусственной поджелудочной железы с интраперитонеальным введением инсулина. Сахарный диабет. 2018;21(1):58-65. https://doi.org/10.14341/DM8265
For citation:
Karpelyev V.A., Philippov Yu.I., Averin A.V., Boyarsky M.D., Gavrilov D.A. Development and in silico validation of the PID-algorithm for the artificial pancreas with intraperitoneal insulin delivery. Diabetes mellitus. 2018;21(1):58-65. https://doi.org/10.14341/DM8265
Обоснование
Для предотвращения развития осложнений сахарного диабета (СД) необходимо поддерживать концентрацию глюкозы в крови пациентов на максимально близком к физиологичному уровне. Интенсифицированная инсулинотерапия – наиболее эффективный способ достижения целевых показателей гликемии у пациентов с СД 1 типа (СД1) – подразумевает необходимость самостоятельного расчета доз инсулина пациентом на основе данных о концентрации глюкозы в крови (ГК), количества углеводов в планируемом приеме пищи, физической активности и другой информации. На практике сложности, с которыми неизбежно сталкиваются большинство пациентов при проведении интенсифицированной инсулинотерапии, не позволяют достичь целей лечения большинству больных СД1.
Новейшие технические достижения позволяют устранить часть сложностей управления СД и обеспечивают достижение лучших результатов. Так, применение инсулиновых помп для постоянной подкожной инфузии инсулина (ППИИ) позволяет значительно большей доле пациентов достичь целевых показателей гликемического контроля, чем при режиме многократных инъекций инсулина (МИИ) [1]. Другим важным техническим достижением стала разработка устройств для непрерывного мониторинга глюкозы (НМГ) [2]. ППИИ в сочетании с НМГ позволяют людям с СД значительно эффективнее управлять гликемией, чем это было возможно ранее. Столь широкие возможности управления заболеванием, в то же время, имеют и обратную сторону: эффективность лечения слишком зависит от самого пациента, его уровня знаний и навыков, мотивации, личностных качеств и многих других факторов, вплоть до присущих всем людям непредсказуемых изменений настроения. Таким образом, нередко сам пациент является основной преградой на пути к достижению целей лечения.
Именно поэтому ученые возлагают большие надежды на создание искусственной поджелудочной железы (ИПЖ) – системы «замкнутого контура», которая позволила бы эффективно управлять гликемией больных СД в автоматическом режиме, исключая зависимость результата лечения от человеческого фактора. Под ИПЖ ученые в большинстве случаев подразумевают инсулиновую помпу, осуществляющую автоматизированное дозирование инсулина на основе информации о гликемии с помощью алгоритма управления, который закроет «контур принятия решений». Система должна работать по принципу обратной связи и поддерживать гликемию в пределах заданного диапазона значений. Количественно цель работы ИПЖ состоит в том, чтобы поддерживать концентрацию ГК в пределах довольно узкого физиологичного диапазона значений (3,9–7,8 ммоль/л) максимально возможно продолжительное время.
Различные варианты ИПЖ уже были испытаны в клинических исследованиях, а некоторые проходят испытания в амбулаторных условиях [3, 4]. При этом одной из самых серьезных проблем на пути к успеху является слишком медленная фармакокинетика инсулина (и его генно-инженерных аналогов ультракороткого действия) при довольно высокой скорости изменения гликемии под действием внешних факторов, не позволяющая эффективно прогнозировать значения гликемии и верно дозировать инсулин. Рабочая же версия ИПЖ должна обеспечивать сохранение гликемии в пределах заданного диапазона значений, несмотря на погрешности данных НМГ и растянутое во времени действие инсулина. Наиболее трудной задачей является удержание гликемии при быстрых изменениях состояния системы, например, при приеме пищи, которая вызывает стремительный рост гликемии.
Одним из вариантов решения данной проблемы рассматривают использование альтернативных способов доставки инсулина в тело, в том числе – постоянную внутривенную или интраперитонеальную инфузию [5]. Интраперитонеальная (ИП) инфузия инсулина [6] разрабатывается с 70-х гг. ХХ в. [7]. Инсулин, поступающий при ИП-введении, имеет иные фармакокинетические и фармакодинамические характеристики, чем инсулин, вводимый подкожно: пик концентрации инсулина при подкожном введении наступает через 50–60 мин [8], в отличие от 20–25 мин при использовании ИП-инфузии [9]. Снижение концентрации инсулина в крови также отличается: вводимый подкожно инсулин имеет время элиминации 6–8 ч [9], в то время как при ИП-введении период полной элиминации инсулина ограничивается 1–2 ч [9].
Существует несколько стратегий управления, которые были рассмотрены для применения в ИПЖ, в том числе пропорционально-интегрально-дифференциальный контроль (ПИД) и модель интеллектуального управления [3]. Модель интеллектуального управления была предложена в качестве подходящей стратегии для конструкций ИПЖ с использованием подкожного введения инсулина и воспринимающей большие задержки в этих системах [10]. При использовании ИП-введения инсулина системная задержка ответа на события (введение инсулина) значительно меньше. В этом случае мы ожидаем, что ПИД-контроллер будет обеспечивать удовлетворительные результаты. Поскольку инсулин будет действовать быстро, система может работать хорошо и без серьезных предсказательных элементов, предложенных моделью интеллектуального управления.
За основу ПИД-алгоритма (контроллера) взят алгоритм для расчета скорости введения инсулина PID(t), математически он описывается следующим образом [11]:
. (1)
Параметр t означает время, параметры , и указывают относительные веса пропорциональной, интегральной и дифференциальной компонент, а G и представляют концентрацию глюкозы в крови пациента и базальную (целевую) концентрацию глюкозы соответственно. Из отдельных компонент, пропорциональный ответ относится к реакции на управляющее воздействие пропорционально разнице между измеренной концентрацией глюкозы в крови и ее желаемым значением, дифференциальный ответ воспроизводит известную первую фазу высвобождения инсулина β-клеткой, а интегральный ответ воспроизводит вторую фазу – фазу устойчивого роста выделения инсулина. Эти ответы включают низкочастотный и дифференциальный фильтры, в результате чего происходят некоторые задержки в пропорциональном и интегральном ответах и расширение дифференциального ответа.
Для дозирования инсулина в условиях замкнутого контура ПИД-контроллер реализован в следующем виде [12]:
, (2)
где – скорость доставки инсулина; (n) – предполагаемая концентрация инсулина в плазме крови; n – номер временного шага; , γ – коэффициенты, значения которых приведены в табл. 1; u(n) – скорость подачи инсулина, рассчитываемая контроллером по формуле:
, (3)
где , (4)
, (5)
, (6)
, (7)
, (8)
В этих уравнениях P, I, и D представляют пропорциональную, интегральную и дифференциальную компоненту действия соответственно. ∆P(n)=P(n)-P(n-1); ∆I(n)=I(n)-I(n-1); ∆D(n)=D(n)-D(n-1).
Δt является шагом по времени (5 мин); является целевым значением концентрации глюкозы; – это измеренная концентрация глюкозы; TDI – суточная доза инсулина; α, β – параметры модели.
Ключевой математической особенностью физиологического контроля гликемии у здорового человека является то, что инсулин, присутствующий в крови, подавляет дальнейшее производство инсулина [13]. Большинство исследований с использованием ПИД-регулирования с подкожным введением инсулина включало эту функцию с помощью алгоритма обратной связи инсулина [14, 15]. В нашем случае обратная связь осуществляется с помощью второго слагаемого в выражении (2). Так как в настоящее время не представляется возможным измерить концентрацию инсулина в плазме (t) в режиме реального времени, метод базируется на модели фармакокинетики инсулина для оценки концентрации инсулина в плазме крови. Коэффициенты в модели рассчитываются с использованием экспериментальных данных по введению инсулина.
В ранее предложенной модели [16] отклик инсулина плазмы (t) на введение болюса инсулина характеризуется уравнением:
. (9)
Это уравнение основано на предположении, что диффузия инсулина в ткани и элиминация инсулина из организма зависят от его концентрации. Параметры τ1 и τ2 – постоянные времени, определяющие, насколько быстро концентрация инсулина возрастает и снижается. Параметр CinsB определяет величину дозы инсулина для болюсного введения. Суммарное изменение концентрации инсулина в плазме в зависимости от множества болюсных введений определялось линейной суммацией, а коэффициенты были определены с использованием нелинейного метода наименьших квадратов. Обработка экспериментальных данных [17] по указанному выше способу показала, что уравнение (9) неудовлетворительно описывает изменение концентрации инсулина в плазме крови в зависимости от времени после болюсного ИП-введения инсулина (рис. 1). Среднеквадратичная ошибка составила ±187 μЕд/мл.
Рис. 1. Результаты обработки экспериментальных данных [17] по интраперитонеальному введению инсулина с помощью уравнения (9).
В настоящей работе мы использовали измененную модель описания фармакокинетики инсулина при ИП-введении. Для расчета изменения концентрации инсулина в плазме в ответ на ИП болюсное введение инсулина использовалось уравнение:
, (10)
где , , , , , – коэффициенты, первое слагаемое в фигурных скобках определяет процесс поступления инсулина в плазму крови, а второе слагаемое – процесс элиминации инсулина из плазмы крови.
На основе нелинейного метода наименьших квадратов с использованием системы Mathcad и экспериментальных данных по ИП-введению инсулина [17] были определены коэффициенты , , , , , в уравнении (10). Значения коэффициентов показаны в табл. 1. Результаты обработки приведены на рис. 2. Выражение (10) оказалось более подходящим для описания фармакокинетики ИП вводимого инсулина. Среднеквадратичная ошибка составила ±9 μЕд/мл. Кроме того, процесс изменения концентрации инсулина в плазме в крови в ответ на болюсное ИП-введение удалось разложить на две составляющие. Первая составляющая – процесс поступления инсулина в плазму крови и вторая – процесс элиминации инсулина из плазмы крови. Процесс поступления инсулина можно описать с помощью уравнения:
, (11)
где (t) – концентрация поступающего в плазму инсулина. Процесс элиминации инсулина описывается выражением:
, (12)
где (t) – концентрация элиминирующего инсулина.
Дискретизация модели, для того чтобы соответствовать периоду дискретизации контроллера, дает следующее уравнение:
, (13)
где (n) – предполагаемая концентрация инсулина в крови; – количество инсулина, введенное на i-м временном шаге; – время окончания i-го шага; n=(t-)⁄∆t, где t – текущее время; – время начала инфузии инсулина.
Таблица 1. Параметры ПИД-контроллера для интраперитонеального введения инсулина
|
Параметр |
Размерность параметра |
Значение параметра |
|
τС |
мин |
40 |
|
τI |
мин |
273 |
|
τD |
мин |
23,5 |
|
β |
- |
0,1 |
|
α |
- |
0,04 |
|
γ |
мин-1 |
0,5 |
|
KPI |
мин-1 |
1 |
|
a1 |
пмоль |
7,17×10-6 |
|
a2 |
пмоль |
-6,70×10-6 |
|
b1 |
- |
1,0 |
|
b2 |
- |
0,28 |
|
c1 |
мин |
38,2 |
|
c2 |
мин |
114,9 |
|
TDI |
Ед |
60 |
|
Gsp |
мг/мл |
120 |
|
∆t |
мин |
5 |
Рис. 2. Результаты обработки экспериментальных данных [17] по интраперитонеальному введению инсулина с помощью уравнения (10).
Передача управления введением инсулина от человека математическому алгоритму ИПЖ – непростой шаг с точки зрения биомедицинской этики. Необходимо иметь серьезные доказательства безопасности и эффективности работы и самого управляющего алгоритма, и системы ИПЖ в целом. Первый доклинический этап тестирования эффективности и безопасности работы управляющего алгоритма принято проводить в условиях программной симуляции. Исследователи из университетов Вирджинии (США) и Падуи (Италия) разработали метаболический симулятор UVA/Padova для облегчения разработки алгоритмов ИПЖ и их виртуального тестирования (в условиях in silico), которое по одобрению Food and Drug Administration (FDA, США) может заменить этап доклинического тестирования с участием лабораторных животных [18–20].
Цель
Настоящее исследование проведено с целью доклинической оценки эффективности работы управляющего алгоритма контроля ИП-инфузии инсулина с помощью инсулиновой помпы.
Методы
Дизайн исследования
Путем компьютерной симуляции (в условиях in silico) были созданы условия для проведения проспективного неконтролируемого нерандомизированного исследования с участием виртуальных пациентов.
Критерии соответствия
Выборка виртуальных субъектов для проведения исследований in silico основана на реальных индивидуальных данных и охватывает наблюдаемую вариабельность основных параметров в общей человеческой популяции [18]. Выборка для настоящего исследования включает 10 взрослых виртуальных субъектов. Табл. 2 представляет ключевые демографические и метаболические параметры этих субъектов.
Таблица 2. Ключевые демографические и метаболические параметры субъектов in silico, доступные в среде симуляции
|
Параметр |
Mean±SD |
Минимальное значение |
Максимальное значение |
|
Средний вес, кг |
79,7±12,8 |
52,3 |
118,7 |
|
Инсулин, Ед/день |
47,2±15,2 |
21,3 |
98,4 |
|
Углеводный коэффициент, г/Ед |
10,5±3,3 |
4,6 |
21,1 |
|
Глюкоза натощак, ммоль/л |
143,4±9,33 |
122,1 |
167,1 |
|
Влияние инсулина на утилизацию глюкозы, 10-2 мг/кг/мин на пмоль/л |
3,82±1,34 |
1,08 |
8,08 |
Условия проведения
В нашем исследовании метаболический симулятор UVA|Padova T1DMS Metabolic Simulator (Alere Informatics Inc. D/B/A The Epsilon Group) был использован для оценки эффективности работы управляющего алгоритма системы контроля над дозированием инсулина. Программа-симулятор является надстройкой к пакету программ MATLAB (для проведения работ использована версия v. R2016b с пакетом SimuLink, MathWorks, США). Схема метаболического симулятора, которая была использована в данной работе, показана на рис. 3.
Рис. 3. Блок-схема конфигурации метаболического тренажера UVA/Padova, используемого в данной работе для того, чтобы испытать ПИД-контроллер искусственной поджелудочной железы.
Для моделирования ИП-введения инсулина мы использовали параметры фармакокинетики и фармакодинамики инсулина, наблюдающиеся при внутривенном (ВВ) введении [21]; источником данных о гликемии виртуальных пациентов был смоделированный подкожный сенсор ГК.
Продолжительность исследования
Для оценки управляющего алгоритма был использован следующий стандартный сценарий метаболического симулятора T1DMS: 31-часовой клинический протокол моделировался с целью проверки работы для типичного сценария реальной жизни. Управление в замкнутом контуре для каждого виртуального субъекта было начато в 02:00, в 07:00 завтрак, содержащий 40 г углеводов, затем следовал обед, содержащий 50 г углеводов, в 12:00, и ужин в 19:00 с содержанием углеводов 70 г. Управление в замкнутом контуре было закончено в 07:00 следующего дня.
Описание медицинского вмешательства
Тестирование управляющего алгоритма системы контроля дозирования инсулина проведено в условиях in silico, что исключило необходимость проведения каких-либо вмешательств на людях или животных. В рамках симуляции были созданы виртуальные субъекты с СД1, получающие помповую инсулинотерапию через специальный имплантированный для постоянного длительного ношения лапаропорт. Единственным доступным в клинической практике изделием такого рода является DiaPort (Roche, Германия).
Основной исход исследования
Эффективность работы управляющего алгоритма оценивали по показателям гликемического контроля у созданных в рамках программной симуляции виртуальных субъектов:
- среднее значение гликемии в течение суток;
- доля времени, проведенная пациентами в диапазоне нормальных показателей гликемии 70–140 мг/дл (3,9–7,8 ммоль/л);
- доля времени, проведенная в гипергликемии >180 мг/дл (10 ммоль/л);
- доля времени, проведенная в гипогликемии <70 мг/дл (3,9 ммоль/л);
- максимальное и минимальное значение гликемии за оцениваемый период.
Методы регистрации исходов
В рамках математического моделирования использовались данные о содержании ГК виртуальных пациентов, полученные путем симуляции работы системы НМГ на основе глюкозооксидазного сенсора глюкозы, установленного подкожно.
Этическая экспертиза
Исследование проведено без участия живых объектов или персонализированных медицинских данных, что исключило необходимость экспертизы протокола исследования на этичность.
Статистический анализ
Принципы расчета размера выборки: в исследовании использовалась стандартная выборка 10 виртуальных субъектов одного возраста (взрослые), применяемая в пилотных исследованиях in silico.
Методы статистического анализа данных. Для статистической обработки использована программа MS Excel 2010. При описании результатов количественные данные представлены в виде M±SD (что оправдано параметрическим характером распределения данных, полученных в ходе математического моделирования).
Результаты
Основные результаты исследования
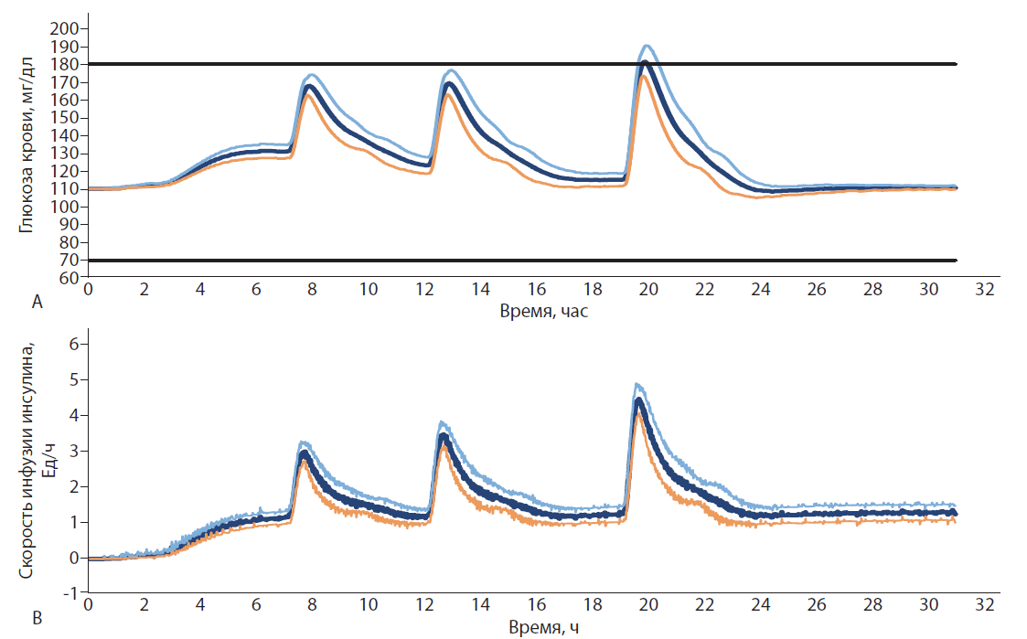
Результаты моделирования изображены на рис. 4 и показаны в табл. 3.
Таблица 3. Результаты моделирования работы ПИД-алгоритма
|
Максимальное значение ГК, мг/дл (ммоль/л) |
Минимальное значение ГК, мг/дл (ммоль/л) |
Доля времени ГК в пределах 70−140 мг/дл (3,9–7,8 ммоль/л), % |
Доля времени ГК <70 мг/дл (3,9 ммоль/л), % |
Доля времени ГК >180 мг/дл (10 ммоль/л), % |
Источник |
|
184±13 (10,2±0,7) |
107±2 (5,9±0,1) |
83±9 |
0±0 |
1±3 |
Настоящая работа |
|
196±14 (10,9±0,8) |
93±7 (5,2±0,4) |
78±6 |
0±0 |
5±4 |
[12] |
Рис. 4. Концентрация глюкозы в крови (А) и скорость инфузии инсулина (В) для предложенной конструкции контроллера оценивались по 10 взрослым субъектам in silico с использованием протокола 31-часового сценария.
Диапазон приемлемых значений гликемии 70–180 мг/дл показан черными горизонтальными линиями на верхней панели А. На нижней панели В приведены данные по скорости инфузии инсулина. Толстые средние линии показывают среднее по 10 субъектам, а тонкие линии показывают разброс значений ±SD.
Обсуждение
Резюме основного результата исследования
Проведена проверка модернизированного ПИД-контроллера с обратной связью при инфузии инсулина в ИП пространство, осуществленная in silico с использованием метаболического тренажера UVA/Padova на 10 пациентах. Предложенная конструкция контроллера позволяет достигать 83% времени в пределах гликемического диапазона 70–140 мг/дл (3,9–7,8 ммоль/л) без времени, проведенного в гипогликемии. Время нахождения в приемлемой гликемической зоне 70–180 мг/дл (3,9–10,0 ммоль/л) составляет 99%.
Обсуждение основного результата исследования
Сравнение итогов моделирования, проведенного в настоящей работе, с результатами моделирования близкого по конструкции ПИД-контроллера [12] с использованием 27-часового сценария с тремя приемами пищи показывает неплохое совпадение результатов. Предложенный нами управляющий алгоритм позволил избежать гипогликемии у виртуальных пациентов и не допустить большого времени нахождения пациентов с концентрацией глюкозы >180 мг/дл (10 ммоль/л).
ИПЖ, которая использует ИП-введение инсулина, имеет большой потенциал значительного улучшения показателей гликемического контроля при использовании замкнутого контура. Поскольку ИП-введение инсулина имеет более быстрые фармакокинетические и фармакодинамические характеристики, чем подкожное введение инсулина, ИПЖ будет в состоянии привести ГК к желаемому значению быстрее при нарушениях гликемии. Так как элиминация ИП инсулина происходит быстрее, существует меньший риск развития гипогликемий [22] из-за действия оставшегося в крови инсулина.
В этом исследовании при разработке ПИД-контроллера нами была использована новая модель для описания фармакокинетики инсулина, которая, как оказалось, более точно описывает экспериментальные данные, чем предложенная ранее [16]. Так, среднеквадратичная ошибка при обработке экспериментальных данных концентрации инсулина в плазме крови по формуле (9) из работы [16] составляла ±187 μЕд/мл, тогда как по формуле (10) при нашем подходе – ±9 μЕд/мл. Это является значимым, так как обратная связь для инсулина является важным дополнением к контроллеру ИПЖ, который имитирует физиологию человеческого организма. Увеличение концентрации инсулина в плазме ингибирует доставку большего количества инсулина, а это означает уменьшение запасов инсулина и снижение риска гипогликемии.
Ограничения исследования
Данные математического моделирования нельзя безоговорочно экстраполировать на животных и человека, в связи с чем проведенное исследование является лишь первым в череде планируемых испытаний. Несмотря на использование однородной выборки пациентов, объем выборки нельзя считать достаточным для получения убедительных данных о значимых преимуществах разработанного алгоритма перед аналогами. Необходимы дальнейшие исследования, в том числе в условиях in silico, со значимо большим количеством субъектов и прямым сравнением управляющих алгоритмов между собой на единой выборке.
Заключение
ИПЖ, работающая в ИП-пространстве, позволяет решить многие проблемы, связанные с подкожным введением инсулина. Быстрые транспорт и действие инсулина позволяют управляющему алгоритму поддерживать хороший гликемический контроль. В этой работе при разработке ПИД-контроллера для ИПЖ, с целью улучшения работы обратной связи инсулина, была введена новая модель для описания фармакокинетики инсулина, чтобы улучшить эффективность работы управляющего алгоритма. Предложенный алгоритм может быть усовершенствован при помощи разработки более точных моделей на основе экспериментальных данных. После того, как эти данные будут собраны и проанализированы, обновленный контроллер можно оценить на животной модели в условиях in vivo.
Дополнительная информация
Источник финансирования. Работа проведена при поддержке Российского научного фонда (грант №14-25-00181).
Конфликт интересов. Авторы декларируют отсутствие явных и потенциальных конфликтов интересов, связанных с публикацией настоящей статьи.
Участие авторов. Карпельев В.А. – разработка математического алгоритма управления помпой; Аверин А.В. – создание виртуального контроллера в среде InSilico; Боярский М.Д. — проведение InSilico стимуляции; Гаврилов Д.А. — математический анализ полученных данных; Филиппов Ю.И. – разработка концепции и дизайна исследования. Все авторы были существенно вовлечены в проведение исследования и приняли равное участие в анализе и интерпретации его результатов и подготовке статьи, прочли и одобрили к публикации финальную версию статьи.
Список литературы
1. Pickup J, Keen H. Continuous subcutaneous insulin infusion at 25 years: evidence base for the expanding use of insulin pump therapy in type 1 diabetes. Diabetes Care. 2002;25(3):593-598.
2. Bergenstal RM, Tamborlane WV, Ahmann A, et al. Effectiveness of sensor-augmented insulin-pump therapy in type 1 diabetes. N Engl J Med. 2010;363(4):311-320. doi: 10.1056/NEJMoa1002853
3. Doyle FJ, 3rd, Huyett LM, Lee JB, et al. Closed-loop artificial pancreas systems: engineering the algorithms. Diabetes Care. 2014;37(5):1191-1197. doi: 10.2337/dc13-2108
4. Renard E, Place J, Cantwell M, et al. Closed-loop insulin delivery using a subcutaneous glucose sensor and intraperitoneal insulin delivery: feasibility study testing a new model for the artificial pancreas. Diabetes Care. 2010;33(1):121-127. doi: 10.2337/dc09-1080
5. Dassau E, Renard E, Place J, et al. Intraperitoneal insulin delivery provides superior glycaemic regulation to subcutaneous insulin delivery in model predictive control-based fully-automated artificial pancreas in patients with type 1 diabetes: a pilot study. Diabetes, Obesity and Metabolism. 2017;19(12):1698-1705. doi: 10.1111/dom.12999
6. Карпельев В.А., Федорова Е.А., Филиппов Ю.И., и др. Интраперитонеальная инфузия инсулина при сахарном диабете: на пути к искусственной поджелудочной железе // Сахарный диабет. – 2015. – Т. 18. – №3. – C. 32-45. [ Karpel'ev VA, Fedorova EAe, Philippov YI, et al. Intraperitoneal insulin infusion: on the way to the artificial pancreas. Diabetes mellitus. 2015;18(3):32-45.] doi: 10.14341/dm2015332-45
7. Botz CK, Leibel BS, Zingg W, et al. Comparison of peripheral and portal routes of insulin infusion by a computer-controlled insulin infusion system (artificial endocrine pancreas). Diabetes. 1976;25(8):691-700.
8. Homko C, Deluzio A, Jimenez C, et al. Comparison of insulin aspart and lispro: pharmacokinetic and metabolic effects. Diabetes Care. 2003;26(7):2027-2031.
9. Schaepelynck Belicar P, Vague P, Lassmann-Vague V. Reproducibility of plasma insulin kinetics during intraperitoneal insulin treatment by programmable pumps. Diabetes Metab. 2003;29(4 Pt 1):344-348.
10. Grosman B, Dassau E, Zisser HC, et al. Zone model predictive control: a strategy to minimize hyper- and hypoglycemic events. J Diabetes Sci Technol. 2010;4(4):961-975. doi: 10.1177/193229681000400428
11. Steil GM, Panteleon AE, Rebrin K. Closed-loop insulin delivery-the path to physiological glucose control. Adv Drug Deliv Rev. 2004;56(2):125-144.
12. Huyett LM, Dassau E, Zisser HC, Doyle FJ, 3rd. Design and Evaluation of a Robust PID Controller for a Fully Implantable Artificial Pancreas. Ind Eng Chem Res. 2015;54(42):10311-10321. doi: 10.1021/acs.iecr.5b01237
13. Argoud GM, Schade DS, Eaton RP. Insulin suppresses its own secretion in vivo. Diabetes. 1987;36(8):959-962.
14. Steil GM, Palerm CC, Kurtz N, et al. The effect of insulin feedback on closed loop glucose control. J Clin Endocrinol Metab. 2011;96(5):1402-1408. doi: 10.1210/jc.2010-2578
15. Palerm CC. Physiologic insulin delivery with insulin feedback: a control systems perspective. Comput Methods Programs Biomed. 2011;102(2):130-137. doi: 10.1016/j.cmpb.2010.06.007
16. Steil GM, Rebrin K, Darwin C, et al. Feasibility of automating insulin delivery for the treatment of type 1 diabetes. Diabetes. 2006;55(12):3344-3350. doi: 10.2337/db06-0419
17. Nathan DM, Dunn FL, Bruch J, et al. Postprandial insulin profiles with implantable pump therapy may explain decreased frequency of severe hypoglycemia, compared with intensive subcutaneous regimens, in insulin-dependent diabetes mellitus patients. Am J Med. 1996;100(4):412-417. doi: 10.1016/S0002-9343(97)89516-2
18. Patek SD, Bequette BW, Breton M, et al. In silico preclinical trials: methodology and engineering guide to closed-loop control in type 1 diabetes mellitus. J Diabetes Sci Technol. 2009;3(2):269-282. doi: 10.1177/193229680900300207
19. Kovatchev BP, Breton M, Man CD, Cobelli C. In silico preclinical trials: a proof of concept in closed-loop control of type 1 diabetes. J Diabetes Sci Technol. 2009;3(1):44-55. doi: 10.1177/193229680900300106
20. Man CD, Micheletto F, Lv D, et al. The UVA/PADOVA Type 1 Diabetes Simulator: New Features. J Diabetes Sci Technol. 2014;8(1):26-34. doi: 10.1177/1932296813514502
21. Lee JJ, Dassau E, Zisser H, Doyle FJ, 3rd. Design and in silico evaluation of an intraperitoneal-subcutaneous (IP-SC) artificial pancreas. Comput Chem Eng. 2014;70:180-188. doi: 10.1016/j.compchemeng.2014.02.024
22. Liebl A, Hoogma R, Renard E, et al. A reduction in severe hypoglycaemia in type 1 diabetes in a randomized crossover study of continuous intraperitoneal compared with subcutaneous insulin infusion. Diabetes Obes Metab. 2009;11(11):1001-1008. doi: 10.1111/j.1463-1326.2009.01059.x
Об авторах
Владимир Александрович КарпельевФГБУ Национальный медицинский исследовательский центр эндокринологии Минздрава России
Россия
научный сотрудник отделения терапии дибате института диабета
Юрий Иванович Филиппов
ФГБУ Национальный медицинский исследовательский центр эндокринологии Минздрава России
Россия
научный сотрудник отделения програмного обучения и лечения Института диабета ФГБУ ЭНЦ
Артем Владимирович Аверин
ФГАОУ ВПО Московский физико-технический институт (государственный университет)
Россия
Максим Дмитриевич Боярский
ФГБУ Национальный медицинский исследовательский центр эндокринологии Минздрава России
Россия
Дмитрий Александрович Гаврилов
ФГАОУ ВПО Московский физико-технический институт (государственный университет)
Россия
кандидат физико-технических наук
Дополнительные файлы
|
|
1. Рис. 1. Результаты обработки экспериментальных данных [17] по интраперитонеальному введению инсулина с помощью уравнения (9). | |
| Тема | ||
| Тип | Исследовательские инструменты | |
Посмотреть
(26KB)
|
Метаданные ▾ | |
|
|
2. Рис. 2. Результаты обработки экспериментальных данных [17] по интраперитонеальному введению инсулина с помощью уравнения (10). | |
| Тема | ||
| Тип | Исследовательские инструменты | |
Посмотреть
(33KB)
|
Метаданные ▾ | |
|
|
3. Рис. 3. Блок-схема конфигурации метаболического тренажера UVA/Padova, используемого в данной работе для того, чтобы испытать ПИД-контроллер искусственной поджелудочной железы. | |
| Тема | ||
| Тип | Исследовательские инструменты | |
Посмотреть
(21KB)
|
Метаданные ▾ | |
|
|
4. Рис. 4. Концентрация глюкозы в крови (А) и скорость инфузии инсулина (В) для предложенной конструкции контроллера оценивались по 10 взрослым субъектам in silico с использованием протокола 31-часового сценария. | |
| Тема | ||
| Тип | Исследовательские инструменты | |
Посмотреть
(72KB)
|
Метаданные ▾ | |
Рецензия
Для цитирования:
Карпельев В.А., Филиппов Ю.И., Аверин А.В., Боярский М.Д., Гаврилов Д.А. Разработка и проверка работы ПИД-регулятора для искусственной поджелудочной железы с интраперитонеальным введением инсулина. Сахарный диабет. 2018;21(1):58-65. https://doi.org/10.14341/DM8265
For citation:
Karpelyev V.A., Philippov Yu.I., Averin A.V., Boyarsky M.D., Gavrilov D.A. Development and in silico validation of the PID-algorithm for the artificial pancreas with intraperitoneal insulin delivery. Diabetes mellitus. 2018;21(1):58-65. https://doi.org/10.14341/DM8265
Контент доступен под лицензией Creative Commons Attribution-NonCommercial-NoDerivatives 4.0 International License (CC BY-NC-ND 4.0).









































