Перейти к:
Контроль гликемии и сахароснижающая терапия у больных сахарным диабетом 2 типа с сердечно-сосудистыми заболеваниями (обзор многоцентровых рандомизированных клинических исследований)
https://doi.org/10.14341/DM2003422-27
Аннотация
Применение современных методов лечения сердечно-сосудистых заболеваний (ССЗ), в том числе фармакологической терапии, увеличивает продолжительность и улучшает качество жизни пациентов как с нормальным углеводным обменом (НУО), так и с сахарным диабетом 2 типа (СД2). В статье представлен обзор научных публикаций, посвященных контролю гликемии и выбору тактики сахароснижающей терапии у больных СД2, имеющих ССЗ. Агрессивная тактика снижения гликемии у больных СД2 с уже имеющимися ССЗ приводит к увеличению частоты сердечно-сосудистых осложнений (ССО) и сердечно-сосудистой смертности (ССС), что связано с гипогликемией (ГГ). Для предупреждения развития ГГ, согласно последним рекомендациям, целевым уровнем гликированного гемоглобина (HbA1c) считается величина менее 7,0%, у пожилых пациентов ее устанавливают на уровне 7,5–8,0%. Рекомендуемый целевой уровень глюкозы крови составляет 7,7–10,0 ммоль/л. Результаты рандомизированных клинических исследований (РКИ) показали неблагоприятные эффекты производных сульфонилмочевины (СМ) второго поколения в виде развития частых эпизодов ГГ, повышения частоты ССО и летальности. В сравнении с препаратами СМ второго поколения и инсулином, метформин снижает риск ССЗ. Тиазолидиндионы у больных с ССЗ в настоящее время не применяются. Безопасность аналогов глюкагоноподобного пептида 1 типа (ГПП-1) и ингибиторов натрий-глюкозного котранспортера 2 типа (SGLT-2) продолжает изучаться. При неэффективности терапии метформином в качестве дополнительного антигипергликемического (АГГ) средства целесообразно назначение ингибиторов дипептидилпептидазы 4 типа (ДПП-4). Метформин противопоказан больным с тяжелой хронической сердечной недостаточностью (ХСН) и острым инфарктом миокарда (ОИМ) из-за риска развития лактатацидоза при тканевой гипоксии. Инсулин остается основным препаратом коррекции сахара крови у больных ССЗ с хронической болезнью почек (ХБП), тяжелой ХСН и острыми клиническими состояниями.
Ключевые слова
Для цитирования:
Какорин С.В., Искандарян Р.А., Мкртумян А.М. Контроль гликемии и сахароснижающая терапия у больных сахарным диабетом 2 типа с сердечно-сосудистыми заболеваниями (обзор многоцентровых рандомизированных клинических исследований). Сахарный диабет. 2016;19(3):221-228. https://doi.org/10.14341/DM2003422-27
For citation:
Kakorin S.V., Iskandaryan R.A., Mkrtumyan A.M. Glycemia control and glucose-lowering therapy in patients with type 2 diabetes mellitus and cardiovascular disease (review of multicenter randomized trials). Diabetes mellitus. 2016;19(3):221-228. (In Russ.) https://doi.org/10.14341/DM2003422-27
Актуальность
В статье в хронологическом порядке представлен обзор многоцентровых рандомизированных клинических исследований (РКИ) с 1970 по 2015 гг. по выбору целевых уровней гликемии и назначению сахароснижающих препаратов (ССП), оказывающих антигипергликемический эффект и кардиопротективное действие. Нормогликемия является идеалом лечения, так как при ней минимальны риски микро- и макроангиопатий. Сложность достижения нормогликемии при использовании ССП объясняется опасностью развития гипогликемических (ГГ) состояний и побочных эффектов при сопутствующей патологии (ХБП, ХСН и ОИМ), поэтому обсуждается выбор целевого уровня гликемии. С позиций эффективности и безопасности сопоставлены стратегии применения инсулина, препаратов сульфонилмочевины, бигуанидов, тиазолидиндионов, а также аналогов глюкагоноподобного пептида 1 (ГПП-1), ингибиторов дипептидилпептидазы-4 (ДПП-4), ингибиторов переносчика глюкозы SGLT-2.
Стратегия контроля уровня гликемии
Первое время акцент делался на достижении целевых уровней гликемии путем интенсивной инсулинотерапии (DIGAMI [1, 2]) и назначения пероральных сахароснижающих препаратов (ПССП) – DIGAMI-2 [3, 4], PROactiv [5], ADVANCE [6, 7]). В мета-анализе Turnbull FM и соавт. (2009) [8], обобщившем результаты РКИ ACCORD [7], ADVANCE [6], VADT [9] и UKPDS [10], показано, что интенсивная стратегия контроля гликемии уменьшила общее число ССО на 9%, риск ОИМ – на 15%, однако частота эпизодов ГГ возросла в 2,48 раза. Исследование ADVANCE [6] показало, что интенсивный контроль гликемии при достижении целевого уровня HbA1c менее 6,5% статистически достоверно снизил частоту микроваскулярных осложнений, в особенности нефропатии – на 21%. Частота макроваскулярных осложнений достоверно не изменилась. Интенсивность контроля гликемии достоверно не повлияла на смертность от ССЗ и общую летальность (р<0,32). Эпизоды ГГ были чаще в группе пациентов с интенсивным контролем уровня гликемии. В исследовании ACCORD [11, 12] интенсивная антигипергликемическая (АГГ) терапия с целью достижения уровня HbA1c 6,0% и ниже сопровождалась снижением числа нефатальных ОИМ, острых нарушений мозгового кровообращения (ОНМК), а также смертности от ССЗ. Одновременно общая смертность выросла на 22%, что вряд ли может считаться положительным результатом. Похожий вывод содержится в опубликованном в 2011 г. мета-анализе Boussageon R и соавт. [13] результатов 13 исследований, где при интенсивной стратегии АГГ-терапии частота ОИМ и микроальбуминурии соответственно составила 0,85 и 0,90 от уровней при стандартном лечении, а число опасных для жизни случаев ГГ увеличилось в 2,33 раза. В исследовании Zoungas S и соавт. [14] наличие в анамнезе эпизодов ГГ со снижением глюкозы крови ниже 2,8 ммоль/л повышало риск макроваскулярных осложнений в 2,88 раза, микроваскулярных осложнений – в 1,81 раза, смерти от ССЗ — в 2,68 раза, общей смертности – в 2,69 раза. Таким образом, агрессивная тактика снижения гликемии у больных сахарным диабетом 2 типа (СД2) с уже имеющимися ССЗ приводит к увеличению частоты ССО и ССС, что связано с ГГ.
Частоту ГГ можно снизить путем оптимизации питания и усиления контроля уровня глюкозы в крови. В исследовании READ [15], проведенном среди мусульман, соблюдающих режим питания во время поста Рамадан, разъяснение сущности рисков, связанных с ГГ, обучение навыкам контроля гликемии и разъяснение необходимости соблюдать режим приема АГГ-препаратов привело к снижению на 55,6% числа эпизодов ГГ. Напротив, в контрольной группе число эпизодов выросло в 4 раза.
Согласно последним рекомендациям 2015 г., для профилактики ССЗ целевым уровнем HbA1c считается величина менее 7,0%, у пожилых пациентов – 7,5–8,0%, учитывая риск ГГ ввиду невозможности строгого самоконтроля, когнитивных, психологических особенностей у пожилых людей [16]. Предпочтительный целевой уровень глюкозы крови для большинства пациентов составляет 7,7–10 ммоль/л – уровень доказательности А [17].
Рандомизированные клинические исследования инсулина
В исследовании DIGAMI [2, 18] изучено влияние инсулина на смертность при ОИМ у лиц с СД2. Пациентам вводили внутривенно в течение 24 часов глюкозо-инсулиновую смесь, а затем в течение 3 месяцев – инсулин подкожно. В первые 24 часа гликемия у пациентов, получавших инсулин, снизилась с 15,4 до 9,6 ммоль/л (в контрольной группе – с 15,7 до 11,7 ммоль/л). Смертность за год снизилась с 26,1% до 18,6%. Наибольшим снижение было у пациентов, не получавших ранее инсулин и имевших низкий риск ССЗ (на 52% за год) [1, 19]. В исследовании DIGAMI-2 сравнивалась эффективность трех стратегий лечения СД2 у больных с ОИМ: 1) введение глюкозо-инсулиновой смеси в острую фазу и лечение инсулином в последующем периоде; 2) введение глюкозо-инсулиновой смеси в острую фазу и лечение ПССП в последующее время; 3) лечение ПССП в течение всего заболевания. Включены 1263 пациента (средний возраст 68 лет, 67% мужчин) с СД2. Средняя длительность наблюдения составила 2,1 года. Гликемия на момент поступления в стационар составила в первой группе 12,8 ммоль/л; во второй и третьей – 12,5 и 12,9 ммоль/л соответственно. Гликемия через 24 часа существенно снижалась в группах 1 и 2, составив 9,1 ммоль/л в обеих, и менее существенно – в 3 группе (10,0 ммоль/л). К концу периода наблюдений заметного снижения гликемии не было ни в одной из групп (8,0; 8,3 и 8,6 ммоль/л в группах 1, 2 и 3 соответственно, при целевом уровне 5–7 ммоль/л). Показатели смертности к концу наблюдений различались недостоверно (23,4; 22,6 и 19,3%), как и частота повторных ОИМ и ОНМК, а также концентрация HbA1c. В ходе расширенного наблюдения за когортой DIGAMI-2 [4] в течение 4,1 лет средняя смертность составила 31% (по трем группам: 34%, 32% и 32%), причем на ССЗ пришлось 72%. Применение инсулина в 1 и 2 группах было связано с более частым выявлением новообразований [3]. Отношение риска возникновения опухолей между группами 1 и 2 составило 1,77, а между группами 2 и 3 — 3,60. При использовании инсулина в группе 1 чаще наблюдались нефатальные ОИМ и приступы стенокардии, и реже – фатальные ОИМ. Применение метформина уменьшало смертность и частоту возникновения опухолей (соответствующие отношения рисков равны 0,65 и 0,25) [3, 4].
В РКИ Hi-5 [20] сравнивалась эффективность лечения ОИМ у больных СД2 инсулин-декстрозной смесью и ПССП. Применение инсулина не привело к снижению смертности в госпитальном периоде, а также не уменьшило ее в течение 6 месяцев. Зарегистрировано лишь уменьшение частоты эпизодов ХСН, а также повторных ОИМ в течение 3 месяцев с момента первого инфаркта.
В исследовании 4T [21, 22] оценивались три схемы введения инсулина: дважды в день, трижды в день перед едой, инсулин пролонгированного действия один раз в день. Во всех группах были достигнуты сопоставимые значения HbA1c (7,1; 6,8; 6,9 ммоль/л соответственно), однако в 1-й группе число пациентов с уровнем HbA1c<6,5% оказалось меньше, чем во 2-й и 3-й. Число эпизодов ГГ составило 3,0; 5,7 и 1,7% соответственно. Авторами был сделан вывод, что назначение инсулина пролонгированного действия снижает частоту эпизодов ГГ. В исследовании Gan RM и соавт., 2009 г. [23] у пациентов, получавших внутривенно инсулин, наблюдалось удлинение корригированного интервала QT, что свидетельствует о повышении риска возникновения фатальных аритмий. При этом летальный исход и частота нарушений ритма наступали значительно чаще у пациентов при госпитализации с уровнем гликемии выше 8,0 ммоль/л. В исследовании HEART 2D [24] сравнивались базальная и прандиальная стратегии инсулинотерапии. В РКИ BARI 2D [25] сопоставлялись стратегии инсулинотерапии, а также комбинации препаратов СМ и тиазолидиндионов. В этих исследованиях не выявлено разницы в частоте достижения связанной с ССЗ первичной композитной конечной точки, включающей смерть от любой причины, а также нефатальный ОИМ или инсульт. В РКИ ORIGIN (2012) [26], проведенном с целью оценки безопасности и эффективности инсулина длительного действия гларгин, за период 6,2 года были выявлены сопоставимая частота ССО в группе, где применялся инсулин гларгин и в группе со стандартным лечением: 2,94% и 2,85% соответственно. Число эпизодов ГГ при использовании гларгина составило 1,00 на 100 человеко-лет (0,31 на 100 человек-лет при стандартном лечении). При использовании гларгина в течение 6 лет с целью достижения нормальных значений уровня глюкозы натощак не отмечено негативного воздействия на уровень ССО и частоту новообразований. В то же время установлено, что инсулинотерапия гларгином повышает частоту ГГ и увеличивает массу тела [26].
В 2014 г. опубликованы результаты исследования DIGAMI, средний срок наблюдения которого составил 7,3 года [18]. За это время в группе пациентов, получавших глюкозо-инсулиновую смесь, смертность составила 89%, в контрольной группе – 91%. Среднее время жизни после ОИМ составило в опытной группе 7,0 лет, а в контрольной – 4,7 лет. Эффект интенсивного контроля уровня гликемии прослеживался до 8 лет, увеличивая продолжительность жизни на 2–3 года.
Результаты исследований DIGAMI и DIGAMI-2 не противоречат друг другу. Снижение смертности в результате интенсивной инсулиновой терапии в исследовании DIGAMI можно объяснить совместным проявлением трех возможных эффектов: уменьшением гликемии, коррекцией метаболизма липидов, прямым воздействием инсулина на миокард [27]. На наш взгляд, применением производных СМ второго поколения, которые входили в план «традиционного» лечения исследования DIGAMI-2, объясняется отсутствие различий в уровнях смертности с интенсивной длительной инсулинотерапией.
Результаты наиболее часто цитируемых исследований
Поскольку терапия инсулином «в чистом виде» не смогла снизить летальный риск у пациентов с СД2, поиск был продолжен среди препаратов класса бигуанидов, представителем которых является метформин. Он влияет на патогенез СД2 путем снижения инсулинорезистентности (ИР). В 1998 г. опубликованы результаты исследования UKPDS [10], целью которого была оценка эффективности и безопасности различных методов лечения СД2. Из числа первоначально набранных 5102 пациентов, 4209 были случайным образом распределены на две группы. Пациенты 1-й группы (1138 человек) находились только на диете. Их переводили на АГГ-терапию только если уровень глюкозы в плазме крови превышал 15 ммоль/л. Остальные 3867 пациентов изначально получали АГГ-терапию одним препаратом: инсулином (1156 человек), СМ (1573 человек) и метформином (342 человек). Метформин в исследовании UKPDS назначался только если «идеальная» масса тела была превышена на 20% и более. В дальнейшем эти пациенты переводились на терапию двумя и более препаратами, если гликемия превышала 15 ммоль/л. После завершения исследования разница в уровнях HbA1c между группами исчезла уже через год. После 10 лет наблюдения (UKPDS post-trial follow-up) [28] среди пациентов, получавших инсулин и препараты СМ, риск возникновения микрососудистых осложнений снизился на 24%. В этих же группах частота ОИМ снизилась на 15% по сравнению с контролем, а общая смертность – на 13%. Авторы связывают это с ранним началом интенсивной АГГ-терапии, так как в группе пациентов, находившихся на диете, такого эффекта не было. Среди пациентов с избыточной массой тела, получавших метформин, риск фатального и нефатального ОИМ снизился на 33%, а общая смертность – на 27%. В исследовании UKPDS выявлена бóльшая, по сравнению с другими препаратами, эффективность метформина, но только среди пациентов с избыточной массой тела. Также сделан вывод о необходимости одновременного контроля гликемии и АД у пациентов с СД2 [29, 30]. Вероятность достижения любой конечной точки, связанной с СД2 (ОИМ, ССС, ОНМК, ХБП, ампутации нижней конечности, смерти от заболевания периферических сосудов, гипергликемии или ГГ, ХСН, а также кровоизлияния в стекловидное тело глаза, оперативного лечения катаракты или отслойки сетчатки глаза), повышалась, если действовали сразу оба фактора: артериальная гипертензия и ГГ. При наименьших уровнях двух показателей: HbA1c<6,0% и сАД<130 мм рт. ст. частота достижения конечной точки, связанной с СД2, составила 15 на 1000 в год, а при максимальных уровнях этих показателей (HbA1c>8%, сАД>150 мм рт. ст.) – 82 на 1000 в год. Обосновано достижение целевого уровня гликемии 6,0 ммоль/л и снижения АД менее 150/85 мм рт. ст., что уменьшало смертность примерно на треть.
В мета-анализе Monami М и соавт. (2013) [31] обобщены результаты 115 исследований длительностью более 6 месяцев, где сравнивались эффекты препаратов СМ второго поколения (глибенкламид) и других средств – инсулина, метформина, ингибиторов дипептидилпептидазы-4 (ДПП-4). В 62 исследованиях учитывалось число ССО, а в 30 было зарегистрировано минимум одно осложнение. Отношения рисков для ОИМ и ОНМК составили 0,88 и 1,28 соответственно. Летальный риск при применении препаратов СМ второго поколения возрастал (отношение рисков 1,22).
По данным трехлетнего исследования по национальной регистрационной базе данных Великобритании Clinical Practice Research Datalink (2014) [32], применение глибенкламида было связано с 1,6-кратным увеличением смертности и 1,2-кратным увеличением частоты основных ССО, в сравнении с метформином. В многоцентровом исследовании [33] сопоставлялась эффективность глимепирида и глибенкламида. Ранее получавшим глибенкламид пациентам назначался глимепирид в дозировке 1 мг (524 пациентов) или глибенкламид в дозировке 2,5 мг (520 пациентов). Затем дозы обоих препаратов пошагово увеличивали до 8 мг глимепирида и до 20 мг глибенкламида, пока уровень гликемии не достигал 8,3 ммоль/л. Через год после начала исследования не было выявлено достоверных различий в уровне глюкозы и HbA1c. Однако уровень инсулина и С-реактивного белка был достоверно ниже у пациентов, которые получали глимепирид. У пациентов из этой же группы была ниже частота эпизодов ГГ. При анализе Украинского национального регистра [34], включившего 64 288 пациентов, получавших глибенкламид, глимепирид или гликлазид, отмечено достоверное снижение риска смертности от ССЗ в группе гликлазида по сравнению с глибенкламидом: отношение рисков 0,29 (95% доверительный интервал 0,21–0,38; р<0,001). Таким образом, производные СМ (глимепирид и гликлазид) входят в число перспективных препаратов [35], а глибенкламид не рекомендуется в качестве стартового перорального препарата, поскольку ассоциирован с наиболее высоким риском ГГ. Из препаратов производных СМ предпочтительно назначение гликлазида МВ или глимепирида.
В исследовании PROactive [5] оценивали эффективность пиоглитазона в сравнении с плацебо в дополнение к традиционной терапии. Отмечен незначимый (p=0,095) тренд снижения частоты негативных событий, обусловленных ССЗ (10% за 34,5 месяцев). Выявлено увеличение эпизодов ХСН, переломов костей конечностей у женщин, а также рака желудка и мочевого пузыря при использовании пиоглитазона. В 2008 г. испытания росиглитазона выявили увеличение смертности в постинфарктном периоде (отношение рисков 1,43) и смертности от всех ССЗ (отношение рисков 1,64) [36, 37]. В исследовании RECORD [38] возросла частота ХСН при использовании росиглитазона. В РКИ TIDE [39] сопоставлялись эффективность и безопасность росиглитазона и пиоглитазона. Оно было прервано из-за опасений в небезопасности всех тиазолидиндионов и замечаний со стороны регулятора пищевой и фармацевтической отрасли США FDA (US Food and Drug Administration), который ужесточил требования к клиническим испытаниям АГГ-средств с целью определения их кардиоваскулярной безопасности.
Результаты рандомизированных клинических исследований последних лет
Новые подходы к лечению СД2 [40, 41] основаны на модификации эффекта гормонов, регулирующих метаболизм глюкозы. К этому классу относятся аналоги ГПП-1: эксенатид, лираглутид и др., а также ингибиторы ДПП-4: алоглиптин, саксаглиптин и др. Их действие основано на «инкретиновом эффекте», сопровождаемом 3–4-кратным увеличением секреции инсулина и снижением секреции глюкагона. Гормоны-инкретины повышают чувствительность рецепторов глюкозы и увеличивают выброс инсулина. Другой подход основан на ингибировании Na+-зависимого транспортера глюкозы SGLT-2 в канальцах почек, что увеличивает глюкозурию за счет снижения ее реабсорбции, уменьшает уровень гликемии и HbA1c. Коррекция метаболизма глюкозы приводит к уменьшению массы тела, при этом систолическое АД снижается на 4–6 мм рт. ст., а диастолическое АД – на 2 мм рт. ст. Ингибиторы SGLT-2 блокируют реабсорбцию натрия в проксимальных канальцах, вследствие чего его приток к плотному пятну (macula densa) возрастает, приносящие артериолы клубочков спазмируются, фильтрационное давление и объем первичной мочи снижаются, что ведет к уменьшению протеинурии на 30–40% [42, 43]. Представители класса – канаглифлозин, дапаглифлозин и эмпаглифлозин. По данным обзора 2014 г. [40], их применение уменьшало частоту ГГ, устраняло эндотелиальную дисфункцию, снижало уровень липидов крови и АД, усиливало сократимость миокарда. В мета-анализе Scheen AJ (2015) [44] отмечено, что ингибиторы SGLT-2 существенно снижают гликемию и HbA1c, повышают чувствительность к инсулину при минимальном риске развития ГГ. При приеме аналогов рецептора ГПП-1 у пациентов со снижением скорости клубочковой фильтрации (СКФ) менее 45 мл/мин/1,73 м2 отмечались эпизоды острой почечной недостаточности, что ограничивает их применение при ХБП.
В 2013 г. опубликованы результаты исследований EXAMINE [45] и SAVOR–TIMI 53 [46], в которых оценивались эффективность и безопасность ингибиторов ДПП-4 алоглиптина и саксаглиптина. Саксаглиптин достоверно увеличил число госпитализаций по поводу ХСН на 27% по сравнению с контролем. При использовании алоглиптина на фоне глимепирида [47] не было выявлено увеличения частоты ССО. Исследование K. Aziz [48] продемонстрировало безопасность и низкий риск ГГ на фоне приема вилдаглиптина. Результаты 18 исследований ингибиторов ДПП-4 (алоглиптина, датоглиптина, линаглиптина, саксаглиптина, ситаглиптина, вилдаглиптина) обобщены в мета-анализе Patil HR и соавт. (2012) [49]. При использовании этих препаратов общий риск ССО и риск нефатального ОИМ снижаются (отношения рисков 0,48 и 0,40 соответственно). Наиболее безопасным препаратом оказался ситаглиптин. Это особенно заметно в РКИ TECOS (2015) [50], где пациенты, изначально получавшие базисную антигипергликемическую терапию, были рандомизированы на две группы, в которых назначался ситаглиптин или плацебо. Средний период наблюдений составил 3 года. За это время не было отмечено достоверных различий в частоте достижения первичной композитной конечной точки, включавшей смерть от ССЗ, нефатальный ОИМ или инсульт, а также госпитализацию по поводу нестабильной стенокардии (11,4% и 11,6%). Достоверно не различалась частота госпитализации по поводу сердечной недостаточности, острого панкреатита и опухолей поджелудочной железы. Таким образом, ситаглиптин оказался безопасным препаратом из группы ингибиторов ДПП-4, не осложняющим течение ССЗ при СД2.
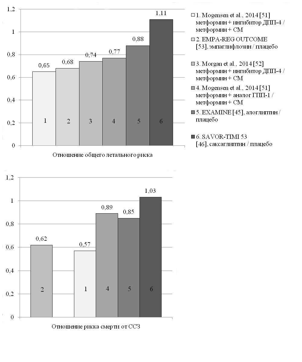
В 2014 г. опубликованы результаты исследования [51], в котором наиболее безопасной в отношении снижения смертности после ОИМ была комбинация «метформин + ингибитор ДПП-4». Отобраны 40 028 пациентов, получавших метформин. К базисной терапии метформином у 25 092 пациентов были добавлены препараты СМ, у 11 138 – ингибитор ДПП-4, у 4345 – аналог ГПП-1 и у 6858 – инсулин. Соответственно, в этих группах частота осложнений была 18, 10, 8 и 21 на 1000 человеко-лет (наименьшая при терапии ГПП-1). Приняв за основу сравнения комбинацию «метформин + препараты СМ», авторы подсчитали, что при добавлении к метформину ингибитора ДПП-4 отношения риска для общей смертности, обусловленной ССЗ, соответственно составили 0,65 и 0,57. Для комбинации «метформин + аналог ГПП-1» эти величины составили 0,77 и 0,89 соответственно. В исследовании Morgan CL и соавт. (2014) [52] комбинация «метформин + ингибитор ДПП-4» была безопаснее, чем сочетание «метформин + препараты СМ» (отношение летальных рисков 0,74). На рис. 1 представлен сравнительный анализ летального риска при использовании некоторых новых видов АГГ-препаратов, по данным многоцентровых РКИ последних лет. Согласно рекомендациям 2015 г. [16], ингибиторы ДПП-4 безопасны у больных с ССЗ, однако требуется осторожность у больных с ХСН II–IV ФК по NYHA.
В 2015 г. представлены результаты многоцентрового исследования EMPA-REG OUTCOME, где изучались эффективность и безопасность эмпаглифлозина, ингибитора SGLT-2 [53]. Отобранные для участия в исследовании 7020 пациентов были случайно распределены по трем группам: получавшие эмпаглифлозин в дозировке 10 и 25 мг/сутки (1-я и 2-я группы) и получавшие плацебо (3-я группа) на фоне базисной терапии (80% принимали блокаторы ренин-ангиотензин-альдостероновой системы, 75% – статины, 60% – β-адреноблокаторы). Первичная композитная конечная точка регистрировалась при наступлении одного из следующих событий: смерть от ССЗ, нефатальный ОИМ или нефатальный инсульт. Средний срок наблюдений составил 3,1 года. Первичная конечная точка была достигнута 480 пациентами из 4687 (10,5%), получавшими эмпаглифлозин (группы I и II), и 282 пациентами из 2333 (12,15%) контрольной группы (отношение рисков 0,86). Между группами не выявлено различий по частоте наступления ОИМ или инсульта. Смертность от ССЗ среди пациентов, получавших эмпаглифлозин, была меньше на 38% (3,7% и 5,9% соответственно); частота госпитализации по поводу ХСН – на 35% меньше (2,7% и 4,1% соответственно); общая смертность – меньше на 32% (5,7% и 8,3% соответственно). Эмпаглифлозин улучшал исходы ССЗ: частота госпитализации или смерти вследствие ХСН составила в основной и контрольной группах 5,7% и 8,5% соответственно (отношение рисков 0,66) – данные 2016 г. [54]. Различий между группами по частоте госпитализации в связи с нестабильной стенокардией не выявлено, равно как не выявлено различий по частоте смерти от ССЗ, ОИМ или инсульта между группами пациентов, получавших разные дозировки эмпаглифлозина (10 и 25 мг). Авторы обзоров (2016) [43, 55] предполагают, что уменьшение летальности от ССЗ при использовании эмпаглифлозина связано с его способностью предотвращать развитие жизнеугрожающих аритмий.
Заключение
Агрессивная тактика снижения гликемии у больных СД2 с уже имеющимися ССЗ приводит к увеличению частоты ССО и смертности, что связано с ГГ. Согласно рекомендациям от 2015 г., с целью профилактики ССЗ при СД2 целевой уровень HbA1c следует поддерживать менее 7,0%. У пожилых пациентов для предотвращения ГГ HbA1c должен быть 7,5–8,0%, учитывая невозможность строгого самоконтроля, когнитивные, психологические особенности. Рекомендуемый целевой уровень глюкозы крови для больных с ССЗ составляет 7,7–10 ммоль/л. Результаты РКИ выявляли неблагоприятные эффекты производных СМ второго поколения в виде частых эпизодов ГГ и повышения ССО, смертности. Метформин снижает риск ССЗ, оказывает гипогликемическое действие, не вызывая ГГ, свойственной производным СМ и инсулину. Среди всех испытанных в ходе РКИ препаратов наилучшую оценку на настоящий момент имеет метформин. Его применение позволяет эффективно контролировать уровень гликемии, причем увеличения числа ССО и новообразований пока не зафиксировано. Тиазолидиндионы у больных с ССЗ в настоящее время не применяются. Безопасность аналогов ГПП-1, ингибиторов SGLT-2 продолжает изучаться. При неэффективности терапии метформином в качестве дополнительного АГГ-средства целесообразно назначение ингибиторов ДПП-4. Следует помнить, что метформин противопоказан больным с ХБП III–V стадий, ХСН III–IV ФК (NYHA) и ОИМ из-за риска развития лактатацидоза при тканевой гипоксии. Инсулин остается основным препаратом коррекции углеводного обмена у больных ССЗ с выраженными стадиями ХБП, тяжелой ХСН и острыми клиническими состояниями, однако в исключительных случаях допускается назначение метформина в режиме off-label (комиссионное назначение с нарушением предписаний утвержденной инструкции). Таким образом, ведение пациентов с СД2 и ССЗ представляет сложность как для эндокринолога, так и для кардиолога, так как требует знания смежных дисциплин.
Дополнительная информация
Сокращенные названия исследований
• DIGAMI: Diabetes Mellitus Insulin Glucose Infusion in Acute Myocardial Infarction.
• PROactiv: PROspective pioglitAzone Clinical Trial In macroVascular Events.
• ADVANCE: Action in Diabetes and Vascular Disease: Preterax and Diamicron MR Controlled Evaluation.
• ACCORD: Action to Control Cardiovascular Risk in Diabetes.
• VADT: Veteran's Affairs Diabetes Trial.
• UKPDS: UK Prospective Diabetes Study.
• READ: Ramadan Education and Awareness in Diabetes.
• HI-5: The Hyperglycemia: Intensive Insulin Infusion In Infarction (HI-5) Study.
• 4T: Treating To Target in Type 2 diabetes.
• BARI 2D: The Bypass Angioplasty Revascularization Investigation 2 Diabetes.
Информация о конфликте интересов
Авторы декларируют отсутствие явных и потенциальных конфликтов интересов, связанных с публикацией настоящей статьи.
Информация о финансировании
Поисково-аналитическая работа по подготовке статьи выполнена авторами на собственные средства.
Участие авторов: авторы внесли равный вклад в проведение поисково-аналитической работы и написание статьи.
Список литературы
1. Malmberg K, Rydén L, Efendic S, et al. Randomized trial of insulin-glucose infusion followed by subcutaneous insulin treatment in diabetic patients with acute myocardial infarction (DIGAMI study): Effects on mortality at 1 year. Am J Cardiol. 1995;26(1):57-65. doi: 10.1016/0735-1097(95)00126-k
2. Malmberg K. Prospective randomised study of intensive insulin treatment on long term survival after acute myocardial infarction in patients with diabetes mellitus. Bmj. 1997;314(7093):1512-1512. doi: 10.1136/bmj.314.7093.1512
3. Malmberg K, Rydén L, Wedel H. Intense Metabolic Control by Means of Insulin in Patients With Diabetes Mellitus and Acute Myocardial Infarction (DIGAMI 2): Effects on Mortality and Morbidity. ACC Current Journal Review. 2005;14(7):6. doi: 10.1016/j.accreview.2005.06.015
4. Mellbin LG, Malmberg K, Norhammar A, et al. Prognostic implications of glucose-lowering treatment in patients with acute myocardial infarction and diabetes: experiences from an extended follow-up of the Diabetes Mellitus Insulin-Glucose Infusion in Acute Myocardial Infarction (DIGAMI) 2 Study. Diabetologia. 2011;54(6):1308-1317. doi: 10.1007/s00125-011-2084-x
5. Dormandy JA, Charbonnel B, Eckland DJA, et al. Secondary prevention of macrovascular events in patients with type 2 diabetes in the PROactive Study (PROspective pioglitAzone Clinical Trial In macroVascular Events): a randomised controlled trial. The Lancet. 2005;366(9493):1279-1289. doi: 10.1016/s0140-6736(05)67528-9.
6. Group AC, Patel A, MacMahon S, et al. Intensive blood glucose control and vascular outcomes in patients with type 2 diabetes. N Engl J Med. 2008;358(24):2560-2572. doi: 10.1056/NEJMoa0802987.
7. Group AC, Patel A, MacMahon S, et al. Intensive blood glucose control and vascular outcomes in patients with type 2 diabetes. N Engl J Med. 2008;358(24):2560-2572. doi: 10.1056/NEJMoa0802987.
8. Control G, Turnbull FM, Abraira C, et al. Intensive glucose control and macrovascular outcomes in type 2 diabetes. Diabetologia. 2009;52(11):2288-2298. doi: 10.1007/s00125-009-1470-0
9. Duckworth W, Abraira C, Moritz T. Glucose Control and Vascular Complications in Veterans with Type 2 Diabetes. Journal of Vascular Surgery. 2009;49(4):1084. doi: 10.1016/j.jvs.2009.02.026
10. Effect of intensive blood-glucose control with metformin on complications in overweight patients with type 2 diabetes (UKPDS 34). The Lancet. 1998;352(9131):854-865. doi: 10.1016/s0140-6736(98)07037-8
11. Miller ME, Williamson JD, Gerstein HC, et al. Effects of randomization to intensive glucose control on adverse events, cardiovascular disease, and mortality in older versus younger adults in the ACCORD Trial. Diabetes Care. 2014;37(3):634-643. doi: 10.2337/dc13-1545
12. Group AS, Gerstein HC, Miller ME, et al. Long-term effects of intensive glucose lowering on cardiovascular outcomes. N Engl J Med. 2011;364(9):818-828. doi: 10.1056/NEJMoa1006524
13. Boussageon R, Bejan-Angoulvant T, Saadatian-Elahi M, et al. Effect of intensive glucose lowering treatment on all cause mortality, cardiovascular death, and microvascular events in type 2 diabetes: meta-analysis of randomised controlled trials. BMJ. 2011;343:d4169. doi: 10.1136/bmj.d4169
14. Zoungas S, Patel A, Chalmers J, et al. Severe hypoglycemia and risks of vascular events and death. N Engl J Med. 2010;363(15):1410-1418. doi: 10.1056/NEJMoa1003795
15. Bravis V, Hui E, Salih S, et al. Ramadan Education and Awareness in Diabetes (READ) programme for Muslims with Type 2 diabetes who fast during Ramadan. Diabet Med. 2010;27(3):327-331. doi: 10.1111/j.1464-5491.2010.02948.x
16. Дедов И.И., Шестакова М.В., Галстян Г.Р., и др. Алгоритмы специализированной медицинской помощи больным сахарным диабетом. Под редакцией И.И. Дедова, М.В. Шестаковой (7-й выпуск) // Сахарный диабет. – 2015. – Т. ١٨. – №1S – C. 1-112. [Dedov II, Shestakova MV, Galstyan GR, et al. Standards of specialized diabetes care. Edited by Dedov I.I., Shestakova M.V. (7th edition).Diabetes mellitus. 2015;18(1S):1-112. (in Russ)] doi: 10.14341/DM20151S1-112
17. Verges B, Avignon A, Bonnet F, et al. Consensus statement on the care of the hyperglycaemic/diabetic patient during and in the immediate follow-up of acute coronary syndrome. Diabetes Metab.2012;38(2):113-127. doi: 10.1016/j.diabet.2011.11.003
18. Ritsinger V, Malmberg K, Mårtensson A, et al. Intensified insulin-based glycaemic control after myocardial infarction: mortality during 20 year follow-up of the randomised Diabetes Mellitus Insulin Glucose Infusion in Acute Myocardial Infarction (DIGAMI 1) trial. Lancet Diabetes Endocrinol. 2014;2(8):627-633. doi: 10.1016/s2213-8587(14)70088-9
19. Cummings J, Mineo K, Levy R, Josephson R. A Review of the DIGAMI Study: Intensive Insulin Therapy During and After Myocardial Infarctions in Diabetic Patients. Diabetes Spectrum. 1999;12(2):84-88.
20. Cheung NW, Wong VW, McLean M. The Hyperglycemia: Intensive Insulin Infusion In Infarction (HI-5) Study: A randomized controlled trial of insulin infusion therapy for myocardial infarction.Diabetes Care. 2006;29(4):765-770. doi: 10.2337/diacare.29.04.06.dc05-1894
21. Holman RR, Farmer AJ, Davies MJ, et al. Three-year efficacy of complex insulin regimens in type 2 diabetes. N Engl J Med. 2009;361(18):1736-1747. doi: 10.1056/NEJMoa0905479
22. Holman RR, Thorne KI, Farmer AJ, et al. Addition of biphasic, prandial, or basal insulin to oral therapy in type 2 diabetes. N Engl J Med. 2007;357(17):1716-1730. doi: 10.1056/NEJMoa075392
23. Gan RM, Wong V, Cheung NW, McLean M. Effect of insulin infusion on electrocardiographic findings following acute myocardial infarction: importance of glycaemic control. Diabet Med.2009;26(2):174-176. doi: 10.1111/j.1464-5491.2008.02630.x
24. Raz I, Wilson PW, Strojek K, et al. Effects of prandial versus fasting glycemia on cardiovascular outcomes in type 2 diabetes: the HEART2D trial. Diabetes Care. 2009;32(3):381-386. doi: 10.2337/dc08-1671
25. Group BDS, Frye RL, August P, et al. A randomized trial of therapies for type 2 diabetes and coronary artery disease. N Engl J Med. 2009;360(24):2503-2515. doi: 10.1056/NEJMoa0805796
26. Investigators OT, Gerstein HC, Bosch J, et al. Basal insulin and cardiovascular and other outcomes in dysglycemia. N Engl J Med. 2012;367(4):319-328. doi: 10.1056/NEJMoa1203858
27. Taylor R. Digami too? Diabetologia. 2006;49(6):1134-1137. doi: 10.1007/s00125-006-0250-3
28. Holman RR, Paul SK, Bethel MA, et al. 10-year follow-up of intensive glucose control in type 2 diabetes. N Engl J Med. 2008;359(15):1577-1589. doi: 10.1056/NEJMoa0806470
29. Stratton IM, Cull CA, Adler AI, et al. Additive effects of glycaemia and blood pressure exposure on risk of complications in type 2 diabetes: a prospective observational study (UKPDS 75). Diabetologia.2006;49(8):1761-1769. doi: 10.1007/s00125-006-0297-1
30. Leslie RDG. United Kingdom Prospective Diabetes Study (UKPDS): what now or so what? Diabetes Metab Res Rev. 1999;15(1):65-71. doi: 10.1002/(SICI)1520-7560(199901/02)15:1<65::AID-DMRR3>3.0.CO;2-X
31. Monami M, Genovese S, Mannucci E. Cardiovascular safety of sulfonylureas: a meta-analysis of randomized clinical trials. Diabetes Obes Metab. 2013;15(10):938-953. doi: 10.1111/dom.12116
32. Morgan CL, Mukherjee J, Jenkins-Jones S, et al. Association between first-line monotherapy with sulphonylurea versus metformin and risk of all-cause mortality and cardiovascular events: a retrospective, observational study. Diabetes Obes Metab. 2014;16(10):957-962. doi: 10.1111/dom.12302
33. Draeger KE, Wernicke-Panten K, Lomp HJ, et al. Long-term treatment of type 2 diabetic patients with the new oral antidiabetic agent glimepiride (Amaryl): a double-blind comparison with glibenclamide.Horm Metab Res. 1996;28(9):419-425. doi: 10.1055/s-2007-979830
34. Дедов И.И., Шестакова М.В., Аметов А.С., и др. Проект консенсус совета экспертов Российской ассоциации эндокринологов (РАЭ) по инициации и интенсификации сахароснижающей терапии сахарного диабета 2 типа? // Сахарный диабет. – 2011. – Т. 14. – №1 – C. 95-105. [Dedov II, Shestakova MV, Ametov AS, et al. Consensus statement by a panel of experts of the Russian Association of Endocrinologists (RAE) on initiation and intensificationof hypoglycemic therapy for type 2 diabetes mellitus. Diabetes mellitus. 2011;14(1):95-105. (in Russ)] doi: 10.14341/2072-0351-6256
35. Шаронова Л.А., Вербовой А.Ф., Косарева О.В. Роль препаратов сульфонилмочевины в лечении сахарного диабета ٢-го типа // Медицинский совет. – 2016. – №3 – С. 6-9. [Sharonova LA, Verbovoy AF, Kosareva OV. The role of sulfonylures in the treatment of type 2 diabetes. Meditsinskiy Sovet. 2016;(3):6-9. (in Russ)]
36. Nissen SE, Wolski K. Effect of rosiglitazone on the risk of myocardial infarction and death from cardiovascular causes. N Engl J Med. 2007;356(24):2457-2471. doi: 10.1056/NEJMoa072761
37. Nissen SE, Wolski K. Rosiglitazone revisited: an updated meta-analysis of risk for myocardial infarction and cardiovascular mortality. Arch Intern Med. 2010;170(14):1191-1201. doi: 10.1001/archinternmed.2010.207
38. Home PD, Pocock SJ, Beck-Nielsen H, et al. Rosiglitazone evaluated for cardiovascular outcomes in oral agent combination therapy for type 2 diabetes (RECORD): a multicentre, randomised, open-label trial. The Lancet. 2009;373(9681):2125-2135. doi: 10.1016/s0140-6736(09)60953-3
39. Punthakee Z, Bosch J, Dagenais G, et al. Design, history and results of the Thiazolidinedione Intervention with vitamin D Evaluation (TIDE) randomised controlled trial. Diabetologia. 2012;55(1):36-45. doi: 10.1007/s00125-011-2357-4
40. Jayawardene D, Ward GM, O’Neal DN, et al. New treatments for type 2 diabetes: cardiovascular protection beyond glucose lowering? Heart Lung Circ. 2014;23(11):997-1008. doi: 10.1016/j.hlc.2014.05.007
41. Waugh N, Cummins E, Royle P, et al. Newer agents for blood glucose control in type 2 diabetes: systematic review and economic evaluation. Health Technol Assess. 2010;14(36). doi: 10.3310/hta14360
42. Muskiet MHA, van Raalte DH, van Bommel EJM, et al. Understanding EMPA-REG OUTCOME. Lancet Diabetes Endocrinol. 2015;3(12):928-929. doi: 10.1016/s2213-8587(15)00424-6
43. Rajasekeran H, Lytvyn Y, Cherney DZ. Sodium-glucose cotransporter 2 inhibition and cardiovascular risk reduction in patients with type 2 diabetes: the emerging role of natriuresis. Kidney Int.2016;89(3):524-526. doi: 10.1016/j.kint.2015.12.038
44. Scheen AJ. SGLT2 inhibition: efficacy and safety in type 2 diabetes treatment. Expert Opin Drug Saf. 2015;14(12):1879-1904. doi: 10.1517/14740338.2015.1100167
45. White WB, Cannon CP, Heller SR, et al. Alogliptin after acute coronary syndrome in patients with type 2 diabetes. N Engl J Med. 2013;369(14):1327-1335. doi: 10.1056/NEJMoa1305889
46. Scirica BM, Bhatt DL, Braunwald E, et al. Saxagliptin and cardiovascular outcomes in patients with type 2 diabetes mellitus. N Engl J Med. 2013;369(14):1317-1326. doi: 10.1056/NEJMoa1307684
47. Seino Y, Hiroi S, Hirayama M, Kaku K. Efficacy and safety of alogliptin added to sulfonylurea in Japanese patients with type 2 diabetes: A randomized, double-blind, placebo-controlled trial with an open-label, long-term extension study. J Diabetes Investig. 2012;3(6):517-525. doi: 10.1111/j.2040-1124.2012.00226.x
48. Aziz KM. Fasting during Ramadan: efficacy, safety, and patient acceptability of vildagliptin in diabetic patients. Diabetes Metab Syndr Obes. 2015;8:207-211. doi: 10.2147/DMSO.S54683
49. Patil HR, Al Badarin FJ, Al Shami HA, et al. Meta-analysis of effect of dipeptidyl peptidase-4 inhibitors on cardiovascular risk in type 2 diabetes mellitus. Am J Cardiol. 2012;110(6):826-833. doi: 10.1016/j.amjcard.2012.04.061
50. Green JB, Bethel MA, Armstrong PW, et al. Effect of Sitagliptin on Cardiovascular Outcomes in Type 2 Diabetes. N Engl J Med. 2015;373(3):232-242. doi: 10.1056/NEJMoa1501352
51. Mogensen UM, Andersson C, Fosbol EL, et al. Cardiovascular safety of combination therapies with incretin-based drugs and metformin compared with a combination of metformin and sulphonylurea in type 2 diabetes mellitus--a retrospective nationwide study. Diabetes Obes Metab. 2014;16(10):1001-1008. doi: 10.1111/dom.12314
52. Morgan CL, Mukherjee J, Jenkins-Jones S, et al. Combination therapy with metformin plus sulphonylureas versus metformin plus DPP-4 inhibitors: association with major adverse cardiovascular events and all-cause mortality. Diabetes Obes Metab. 2014;16(10):977-983. doi: 10.1111/dom.12306
53. Zinman B, Wanner C, Lachin JM, et al. Empagliflozin, Cardiovascular Outcomes, and Mortality in Type 2 Diabetes. N Engl J Med. 2015;373(22):2117-2128. doi: 10.1056/NEJMoa1504720
54. Fitchett D, Zinman B, Wanner C, et al. Heart failure outcomes with empagliflozin in patients with type 2 diabetes at high cardiovascular risk: results of the EMPA-REG OUTCOME(R) trial. Eur Heart J.2016;37(19):1526-1534. doi: 10.1093/eurheartj/ehv728
55. Scheen AJ. Reduction in cardiovascular and all-cause mortality in the EMPA-REG OUTCOME trial: A critical analysis. Diabetes Metab. 2016;42(2):71-76. doi: 10.1016/j.diabet.2015.12.005
Об авторах
Сергей Валентинович КакоринРоссия
к.м.н.
Конфликт интересов:
Конфликт интересов отсутствует
Рубен Александрович Искандарян
Россия
к.б.н.
Конфликт интересов:
Конфликт интересов отсутствует
Ашот Мусаелович Мкртумян
Россия
д.м.н., профессор
Конфликт интересов:
Конфликт интересов отсутствует
Дополнительные файлы
|
|
1. Рисунок 1. Сравнение летального риска при испытании некоторых новых антигипергликемических препаратов, по данным многоцентровых РКИ | |
| Тема | Эффективность и безопасность антигипергликемической терапии | |
| Тип | Результаты исследования | |
Посмотреть
(69KB)
|
Метаданные ▾ | |
Рецензия
Для цитирования:
Какорин С.В., Искандарян Р.А., Мкртумян А.М. Контроль гликемии и сахароснижающая терапия у больных сахарным диабетом 2 типа с сердечно-сосудистыми заболеваниями (обзор многоцентровых рандомизированных клинических исследований). Сахарный диабет. 2016;19(3):221-228. https://doi.org/10.14341/DM2003422-27
For citation:
Kakorin S.V., Iskandaryan R.A., Mkrtumyan A.M. Glycemia control and glucose-lowering therapy in patients with type 2 diabetes mellitus and cardiovascular disease (review of multicenter randomized trials). Diabetes mellitus. 2016;19(3):221-228. (In Russ.) https://doi.org/10.14341/DM2003422-27
Контент доступен под лицензией Creative Commons Attribution-NonCommercial-NoDerivatives 4.0 International License (CC BY-NC-ND 4.0).









































