Перейти к:
Состояние костной ткани у женщин с сахарным диабетом 2 типа бурятской популяции в постменопаузальном периоде
https://doi.org/10.14341/DM10310
Аннотация
ОБОСНОВАНИЕ. В большинстве стран наблюдается стремительный рост популяции больных сахарным диабетом 2 типа (СД2). Костные изменения у женщин, больных СД2, в состоянии постменопаузы связаны с повышением минеральной плотности костной ткани (МПК). Продолжается изучение метаболических процессов в костной ткани при коморбидной патологии в разных этнических группах.
ЦЕЛЬ. Изучить концентрацию маркеров костного ремоделирования и показатели МПК у женщин бурятской популяции, больных СД2, в постменопаузальном периоде.
МЕТОДЫ. Обследовано 39 женщин, больных СД2, постменопаузального периода (22 – русской популяции и 17 – бурятской популяции). Группу сравнения составили 42 женщины в состоянии постменопаузы (21 – русской популяции и 21 – бурятской популяции). Исследование МПК в поясничном отделе позвоночника (LI-LIV), шейке бедра (Neck), в проксимальном отделе бедренной кости (Total hip) проводили с помощью двухэнергетической рентгеновской абсорбциометрии. Оценивали показатели остеокальцина (ОК), N-терминального пропептида проколлагена 1-го типа (P1NP), С-концевых телопептидов коллагена I типа (β-Cross laps), 25(ОН) витамина D и ионизированного кальция.
РЕЗУЛЬТАТЫ. Представленное исследование выявило одновременное повышение показателей остеосинтеза: ОК (p=0,048) и P1NP (p=0,016), а также маркера костной резорбции β-Cross laps (p=0,020), сопровождавшееся отсутствием изменений МПК у женщин бурятской популяции, больных СД2, в постменопаузальном периоде относительно женщин русской популяции с СД2 в состоянии постменопаузы. При СД2 у пациенток бурятской популяции в периоде постменопаузы установлено снижение показателей остеосинтеза (ОК, p=0,021; P1NP, p=0,029) с повышением МПК LI-LIV (p=0,024) и МПК Total hip (p=0,039) относительно группы сравнения женщин бурятской популяции.
ЗАКЛЮЧЕНИЕ. Состояние костной ткани у женщин бурятской популяции, больных СД2, в постменопаузальном периоде характеризуется активацией процессов костного ремоделирования.
Для цитирования:
Бардымова Т.П., Мистяков М.В., Ягельская Г.П. Состояние костной ткани у женщин с сахарным диабетом 2 типа бурятской популяции в постменопаузальном периоде. Сахарный диабет. 2019;22(5):436-443. https://doi.org/10.14341/DM10310
For citation:
Bardymova T.P., Mistiakov M.V., Yagelskaya G.P. Condition of bone tissue in postmenopausal women with type 2 diabetes mellitus of Buryat population. Diabetes mellitus. 2019;22(5):436-443. (In Russ.) https://doi.org/10.14341/DM10310
ОБОСНОВАНИЕ
Сахарный диабет 2 типа (СД2) характеризуется развитием долгосрочных осложнений, к которым поражение костной ткани традиционно не относилось. Ряд исследований показал, что СД2 можно отнести к факторам риска переломов костей независимо от индекса массы тела (ИМТ) и повышенной частоты падений [1, 2]. СД2 чаще встречается у женщин, и пик заболеваемости приходится на возраст старше 40 лет [3]. Как известно, с возрастом наблюдается более высокий риск остеопоротических переломов, а при диабете у женщин изменения костной ткани наслаиваются на состояние постменопаузы, с наступлением которой костные потери ускоряются [4]. Проведенные ранее исследования показали, что при СД2 отмечаются высокие показатели минеральной плотности костной ткани (МПК), нарушаются процессы костеобразования и костной резорбции [5–8]. В последние годы шире исследуется связь маркеров костного ремоделирования с показателями МПК и риском переломов при СД. Имеется недостаточно сведений о состоянии костного метаболизма у женщин монголоидного происхождения, данные носят противоречивый характер. До настоящего времени остаются малоизученными вопросы, связанные с изучением особенностей метаболических процессов костной ткани у женщин бурятской популяции, больных СД.
ЦЕЛЬ
Изучить маркеры костного ремоделирования и показатели МПК у женщин бурятской популяции, больных СД2, в постменопаузальном периоде.
МЕТОДЫ
Дизайн исследования
Проведено наблюдательное одноцентровое одномоментное выборочное контролируемое нерандомизированное исследование.
Критерии соответствия
Критерии включения в исследование: женский пол, принадлежность к русской или бурятской популяциям, возраст 50–65 лет, продолжительность менопаузы не менее одного года, диагноз СД2, отсутствие выраженных осложнений диабета.
К критериям исключения относились факторы риска развития вторичного остеопороза: системные ревматические заболевания (ревматоидный артрит, спондилоартрит и другие болезни соединительной ткани), заболевания органов желудочно-кишечного тракта с нарушением всасывания кальция (в том числе резекции желудка, синдром мальабсорбции и др.), другие эндокринные заболевания (тиреотоксикоз, гиперкортицизм и др.), онкологические заболевания и болезни крови, хроническая болезнь почек 3–5-й стадий. Также не включались женщины на менопаузальной гормональной терапии, принимающие глюкокортикоидные препараты, иммунодепрессанты и препараты для лечения остеопороза (в том числе в анамнезе).
Условия проведения
Исследование проводилось (амбулаторно) на базе клинико-диагностического центра ИГМАПО – филиала ФГБОУ ДПО РМАНПО Минздрава России, г. Иркутск.
Продолжительность исследования
Исследование проведено в период с 2016 г. по 2018 г.
Описание медицинского вмешательства
После подписания информированного согласия у всех пациенток проводился анализ анамнестических данных, общеклинического обследования с занесением в анкеты, специально разработанные для исследования. Участницы исследования сдавали образцы крови утром натощак с 8 до 9 ч из кубитальной вены. Исследование МПК проводили методом двухэнергетической рентгеновской абсорбциометрии (DXA).
Основной исход исследования
Основными показателями, оцениваемыми в исследовании, были значения МПК и маркеры костного ремоделирования: остеокальцин (ОК) и N-терминальный пропептид проколлагена 1-го типа (P1NP) сыворотки крови, С-концевые телопептиды коллагена I типа (β-Cross laps) плазмы крови у пациенток с СД2, в состоянии постменопаузы и групп сравнения женщин в периоде постменопаузы русской и бурятской популяций.
Дополнительные исходы исследования
Изучены уровень ионизированного кальция (iCa) плазмы крови и содержание 25(ОН) витамина D в сыворотке крови у пациенток с СД2 в состоянии постменопаузы и групп сравнения женщин в периоде постменопаузы русской и бурятской популяций.
Анализ в подгруппах
Участниц исследования разделили на две когорты: когорту с СД2 и когорту сравнения.
В когорту с СД2 включили пациенток с верифицированным СД2. Верификация диагноза осуществлялась по данным медицинской документации на момент первичной диагностики (ВОЗ, 1999–2013).
В когорту сравнения включили пациенток без нарушений углеводного обмена.
Дополнительно каждая когорта пациенток была разделена на две группы:
- русской популяции – в нее вошли пациентки, считавшие себя, своих родителей и их предков по этническому происхождению русскими;
- бурятской популяции – в нее вошли пациентки, считавшие себя, своих родителей и их предков по этническому происхождению бурятами.
Методы регистрации исходов
Методом DXA оценивали МПК в поясничном отделе позвоночника (LI-LIV), шейке бедра (Neck), в проксимальном отделе бедренной кости (Total hip). Исследования проводили на аппарате Prodigy, LUNAR (GE, USA).
Определение концентраций β-Cross laps и iCa плазмы крови, ОК, P1NP и 25(ОН) витамина D сыворотки крови проводили иммунохемилюминесцентным и ионоселективным методами. В работе использовали анализаторы Architect i2000, Cobas 601, Konelab PRIME 30 (Лаборатория «Инвитро»).
Этическая экспертиза
Проведение исследования одобрено Комитетом по этике научных исследований ИГМАПО – филиала ФГБОУ ДПО РМАНПО Минздрава России (протокол заседания № 1 от 28 января 2016 г.). Все обследованные женщины давали письменное информированное согласие на участие в исследовании.
Статистический анализ
Размер выборки предварительно не рассчитывался. Статистическая обработка данных проводилась с помощью прикладных программ Statistica 10.0 (StatSoft Inc., USA). Учитывая, что распределение большинства изученных признаков было отличным от нормального, применяли методы непараметрической статистики. Описательные статистические данные представлены в виде медианы и межквартильного интервала (Me [Q1; Q3]). Вариационные ряды сравнивались по критерию Манна–Уитни, основанному на сопоставлении средних значений в двух группах. Методом непараметрического корреляционного анализа (коэффициент корреляции Спирмена) оценивались ассоциации изучаемых показателей. Критический уровень значимости (p) для проверки статистических гипотез при сравнении статистических показателей принимался менее 0,05.
РЕЗУЛЬТАТЫ
Объекты (участники) исследования
В исследование включены 22 женщины с СД2 русской популяции, медиана возраста 57,5 [55; 62] лет, длительность заболевания от 6 до 11 лет, а также 17 пациенток с СД2 бурятской популяции, медиана возраста 59 [57; 61] лет, длительность заболевания от 7 до 12 лет. Группу сравнения составили 42 женщины без нарушений углеводного обмена, из них 21 женщина русской популяции, медиана возраста 56 [52; 60] лет, и 21 женщина бурятской популяции, медиана возраста 56 [52; 60] лет. Группы женщин с СД2 и группы сравнения по длительности постменопаузы были сопоставимы. Все женщины с СД2 были в состоянии удовлетворительной компенсации заболевания. Все пациентки с СД2 находились на стандартных схемах сахароснижающей терапии с учетом рациональных комбинаций.
Основные результаты исследования
Сравнительный анализ показал, что значения МПК Neck по результатам DXA у пациенток с СД2 русской популяции выше этих же показателей группы сравнения русских женщин (p=0,039). Кроме этого, у женщин с СД2 русской популяции отмечено снижение уровней P1NP (р<0,0001), ОК (р<0,0001) и β-Cross laps (р=0,0002) относительно аналогичных данных группы сравнения русских женщин (табл. 1). У пациенток с СД2 русской популяции ИМТ был выше относительно русской группы сравнения (30,9 [27,4; 34,1] кг/м2 и 26,4 [25,6; 29,2] кг/м2 соответственно) (p=0,025).
Таблица 1. Сравнительная характеристика показателей двухэнергетической рентгеновской абсорбциометрии и маркеров костного ремоделирования у женщин русской популяции
|
Показатель |
ОК, нг/мл |
P1NP, нг/мл |
β-Cross laps, нг/мл |
МПК Neck, г/см2 |
МПК Total hip, г/см2 |
МПК LI-LIV, г/см2 |
|
Женщины с СД2 (n=22) |
14 [12; 17]* |
27,5 [22,6; 40,8]* |
0,254 [0,158; 0,409]* |
0,940 [0,886; 0,988]* |
1,024 [0,949; 1,072] |
1,099 [1,025; 1,185] |
|
Группа сравнения (n=21) |
24 [21; 31] |
49,7 [45,1; 61,9] |
0,528 [0,411; 0,690] |
0,864 [0,812; 0,935] |
0,957 [0,885; 1,059] |
1,058 [0,929; 1,125] |
Примечания: * – статистически значимые отличия (p<0,05).
ОК – остеокальцин; P1NP – N-терминальный пропептид проколлагена 1-го типа; β-Cross laps – С-концевые телопептиды коллагена I типа; МПК – минеральная плотность костной ткани; Neck – шейка бедра; Total hip – проксимальный отдел бедренной кости; LI-LIV – поясничный отдел позвоночника.
Отмечено, что у женщин, больных СД2, бурятской популяции повышались показатели МПК Total hip (p=0,039) и МПК LI-LIV (p=0,024) по сравнению с данными группы сравнения женщин-буряток. Кроме того, отмечена депрессия только остеосинтеза: снижение содержания ОК (p=0,021) и P1NP (p=0,029) у женщин-буряток с СД2 относительно соответствующей группы сравнения (табл. 2). У пациенток с СД2 бурятской популяции ИМТ также был выше относительно группы сравнения женщин-буряток (30,1 [28,5; 31,6] кг/м2 и 26,8 [23,4; 29,9] кг/м2 соответственно) (p=0,026).
Таблица 2. Сравнительная характеристика показателей двухэнергетической рентгеновской абсорбциометрии и маркеров костного ремоделирования у женщин бурятской популяции
|
Показатель |
ОК, нг/мл |
P1NP, нг/мл |
β-Cross laps, нг/мл |
МПК Neck, г/см2 |
МПК Total hip, г/см2 |
МПК LI-LIV, г/см2 |
|
Женщины с СД2 (n=17) |
16 [14; 22]* |
39,2 [32,8; 47,4]* |
0,450 [0,284; 0,560] |
0,875 [0,759; 0,971] |
1,002 [0,913; 1,075]* |
1,072 [1,015; 1,191]* |
|
Группа сравнения (n=21) |
23 [18; 28] |
53,4 [42,5; 63,9] |
0,555 [0,298; 0,664] |
0,841 [0,763; 0,918] |
0,897 [0,831; 0,966] |
0,984 [0,893; 1,072] |
Примечания: * – статистически значимые отличия (p<0,05).
ОК – остеокальцин; P1NP – N-терминальный пропептид проколлагена 1-го типа; β-Cross laps – С-концевые телопептиды коллагена I типа; МПК – минеральная плотность костной ткани; Neck – шейка бедра; Total hip – проксимальный отдел бедренной кости; LI-LIV – поясничный отдел позвоночника.
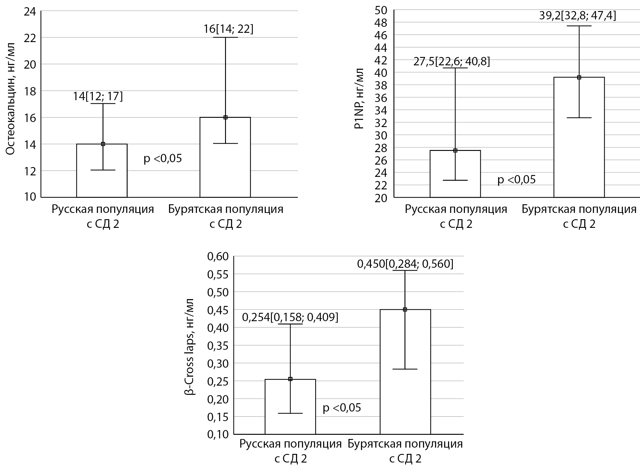
Установлены этнические особенности метаболизма костной ткани при СД2. Так, в группе женщин, больных СД2, бурятской популяции установлено ускорение ремоделирования костной ткани, характеризующееся повышением P1NP (p=0,016), ОК (p=0,048) и β-Cross laps (p=0,02), относительно группы женщин с СД2 русской популяции (рис. 1). В то время как показатели МПК не различались между группами пациенток с СД изучаемых популяций (p>0,05).
Рис. 1. Маркеры ремоделирования костной ткани у пациенток с сахарным диабетом 2 типа русской и бурятской популяций.
Проведенный ранговый корреляционный анализ выявил значимую корреляцию концентрации 25(OH) витамина D c уровнями ОК (ρ=-0,69; p=0,002), P1NP (ρ=-0,50; p=0,042) и β-Cross laps (ρ=-0,55; p=0,023) у женщин, больных СД2, бурятской популяции (рис. 2). Кроме того, обнаружена взаимосвязь МПК Neck и P1NP в группе сравнения женщин-буряток (ρ=0,57; p=0,017).
Рис. 2. Корреляционные связи между 25(ОН) витамином D и маркерами ремоделирования костной ткани у пациенток с сахарным диабетом 2 типа бурятской популяциии
Дополнительные результаты исследования
У пациенток с СД2 русской популяции наблюдалось снижение уровня 25(ОН) витамина D (20 [17; 27] нг/мл) относительно группы сравнения русских женщин (26 [21,5; 32] нг/мл) (p<0,05). У женщин, больных СД2, бурятской популяции показатель 25(ОН) витамина D был на уровне женщин-буряток группы сравнения (18 [15; 21] нг/мл и 18 [16; 22] соответственно) (p>0,05). Одновременно не установлено различий в концентрации 25(ОН) витамина D между группами женщин с СД2 русской и бурятской групп сравнения (p>0,05). Сравнительный анализ продемонстрировал особую стабильность iCa, концентрации которого между изучаемыми группами были сопоставимы и не отличались (p>0,05).
Нежелательные явления
Во время исследования нежелательных явлений не было отмечено.
ОБСУЖДЕНИЕ
Резюме основного результата исследования
Представленное исследование выявило одновременное повышение как показателей остеосинтеза, так и костной резорбции, сопровождавшееся отсутствием изменений МПК у женщин, больных СД2, в постменопаузальном периоде бурятской популяции относительно женщин с СД2 в состоянии постменопаузы русской популяции. У пациенток с СД2 бурятской популяции в периоде постменопаузы установлено снижение показателей остеосинтеза (ОК, P1NP) с повышением МПК LI-LIV и МПК Total hip относительно группы сравнения женщин бурятской популяции без СД2.
Обсуждение основного результата исследования
Повышение МПК у пациенток с СД2 согласуется с данными других исследователей, которые показали, что уровень МПК при СД2 превышает МПК лиц без диабета. Повышенную минерализацию костной ткани при СД длительно относили к протективным факторам, способствующим низкому риску низкотравматических переломов [9]. Все шире обсуждается вопрос увеличения риска развития переломов у пациентов с СД2, которые происходят при повышении МПК [10, 11]. Результаты исследований позволяют предположить, что основной причиной костных нарушений при СД является не изменение МПК, а ухудшение качества кости и нарушения микроархитектоники костной ткани [11, 12].
В данном исследовании мы тестировали гипотезу об этнических особенностях метаболических процессов костной ткани у женщин, больных СД2, постменопаузального периода бурятской популяции. Нами установлено повышение МПК у пациенток с СД2 как русской, так и бурятской популяций относительно соответствующих этнических групп сравнения. Следует отметить, что локализация изменений МПК отличалась: у больных СД2 русской популяции – МПК Neck, а у пациенток с СД2 бурятской популяции – МПК LI-LIV и МПК Total hip.
Как известно, на показатель МПК оказывает влияние скорость костного ремоделирования [13–15]. Состояние костного ремоделирования у женщин с СД2 в постменопаузальном периоде русской популяции характеризовалось замедлением как остеосинтеза (снижение P1NP, ОК), так и резорбции костной ткани (снижение β-Cross laps) относительно русской группы сравнения. У пациенток с СД2 бурятской популяции установлено снижение только показателей P1NP, ОК по сравнению с бурятской группой сравнения, что, видимо, предрасполагает к преобладанию костной резорбции над синтезом и будет способствовать риску переломов, в том числе низкотравматических.
Результаты проведенных ранее работ показали, что при СД2 по сравнению с контрольной группой наблюдались низкие концентрации маркеров костного образования: ОК и P1NP, а также маркера костной резорбции – β-Cross laps [5, 6, 8, 16, 17]. Снижение β-Cross laps в группе русских пациенток с СД2 на фоне подавленного остеосинтеза свидетельствует о снижении скорости костного обмена, что согласуется с результатами метаанализа, проведенного Hygum и соавт. (2017) [18].
По результатам проведенного исследования у женщин бурятской популяции, больных СД2, в периоде постменопаузы отмечено статистически значимое увеличение биохимических маркеров (P1NP, ОК и β-Cross laps), отражающих интенсивность ремоделирования костной ткани и продемонстрировавших усиление как остеосинтеза, так и остеорезорбции по сравнению с пациентками с СД2 русской популяции. По отдельным исследованиям подобные данные могут способствовать изменениям биологии костной ткани. Установленный дисбаланс сывороточных маркеров костного обмена у буряток, больных диабетом, наблюдался на фоне стабильности МПК относительно группы женщин с СД2 в периоде постменопаузы русской популяции. Указывается, что на процессы костного ремоделирования при СД2 может оказывать влияние склеростин, который, высвобождаясь из остеоцитов, уменьшает дифференцировку и активность остеобластов, а также способствует снижению активности остеокластов. Снижение костного ремоделирования способствует накоплению престарелой костной массы, которая может накапливать микротрещины и имеет повышенный риск перелома независимо от МПК [19].
Полученные данные позволяют предположить, что выявленные особенности костного обмена у женщин бурятской популяции характеризуют диапазон компенсаторно-приспособительных реакций и регуляторных процессов, которые частично можно объяснить относительным влиянием эпигенетических факторов, связанных с разными анатомо-геометрическими характеристиками систем, в том числе структуры костной ткани, традиционного стереотипа питания, развитием адаптационных механизмов к болезни.
Общеизвестна роль 25-OH витамина D, обеспечивающего абсорбцию кальция в кишечнике и оказывающего влияние на функционирование остеобластов и остеокластов [20]. Обнаруженное снижение уровня 25-OH витамина D у женщин, больных СД2, русской популяции относительно русской группы сравнения способствует прогрессированию остеопоретических процессов [21]. Концентрация 25-OH витамина D у пациенток с СД2 бурятской популяции была на уровне бурятской группы сравнения, что подтверждается литературными данными об относительном снижении витамина D у азиатских народов [22]. Установленная обратная корреляционная связь концентрации 25-OH витамина D с маркерами костного обмена у женщин, больных СД2, бурятской популяции может оказывать негативное влияние на процессы костного ремоделирования. Выявленная нами обратная связь согласуется с данными Jorde и соавт. (2019) [23].
Ограничения исследования
Одномоментный дизайн не позволяет судить о причинно-следственных взаимосвязях между признаками. Объем выборки требует осторожности при интерпретации полученных данных.
ЗАКЛЮЧЕНИЕ
Проведенная оценка состояния костной ткани позволяет установить этнические особенности обменных процессов, определяющих массу и метаболизм костной ткани, у женщин, больных СД2, в постменопаузальном периоде бурятской популяции. Так, в ходе исследования установлены низкие показатели ОК, P1NP у женщин бурятской популяции, больных СД2, в постменопаузальном периоде относительно женщин группы сравнения бурятской популяции. В то же время у женщин с СД2 постменопаузального периода русской популяции также снижены ОК, P1NP и дополнительно снижен показатель резорбции – β-Cross laps по сравнению с группой сравнения женщин русской популяции. У пациенток с СД2 выявлено повышение показателей МПК относительно соответствующих групп сравнения: шейки бедра – в русской популяции, проксимального отдела бедра и поясничного отдела позвоночника – в бурятской популяции. Сравнительный анализ маркеров костного ремоделирования при СД2 показал существенное повышение уровней ОК, P1NP и β-Cross laps у женщин постменопаузального периода бурятской популяции относительно группы женщин в периоде постменопаузы русской популяции. В группе женщин бурятской популяции, больных СД2, в состоянии постменопаузы выявлена обратная корреляция между концентрацией 25-OH витамина D и уровнями маркеров костного обмена. Как известно, каждый народ адаптирован к тем условиям, в которых он сформировался, и определение этнических категорий больных по отношению к метаболическим процессам позволит модифицировать существующие и разрабатываемые рекомендации с учетом этнических особенностей каждой группы пациентов. Предлагаемый подход позволит оптимизировать региональные программы профилактического характера, что будет способствовать своевременному выделению групп риска.
ДОПОЛНИТЕЛЬНАЯ ИНФОРМАЦИЯ
Источник финансирования. Исследование проведено за счет внебюджетных средств организации.
Конфликт интересов. Авторы декларируют отсутствие явных и потенциальных конфликтов интересов, связанных с публикацией настоящей статьи.
Участие авторов. Бардымова Т.П. – концепция и дизайн исследования, анализ данных, написание текста; Мистяков М.В. – сбор клинического материала, статистическая обработка результатов, написание текста; Ягельская Г.П – анализ литературы, анализ данных. Все авторы внесли существенный вклад в проведение исследования и подготовку статьи, прочли и одобрили финальную версию перед публикацией.
Благодарности. Выражается благодарность всем пациентам, участвовавшим в данном исследовании, а также сотрудникам клинико-диагностического центра ИГМАПО – филиала ФГБОУ ДПО РМАНПО Минздрава России, Иркутского областного клинического консультативно-диагностического центра и Независимой лаборатории ИНВИТРО.
Список литературы
1. Leslie WD, Rubin MR, Schwartz AV, et al. Type 2 diabetes and bone. J Bone Miner Res. 2012;27(11):2231−2237. doi: https://doi.org/10.1002/jbmr.1759
2. Ялочкина Т.О., Белая Ж.Е., Рожинская Л.Я., и др. Переломы костей при сахарном диабете 2 типа: распространенность и факторы риска // Сахарный диабет. — 2016. — Т. 19. — №5. — C. 359−365. [Yalochkina TO, Belaya JE, Rozhinskaya LY, et al. Bone fractures in patients with type 2 diabetes mellitus: prevalence and risk factors. Diabetes mellitus. 2016;19(5):359−365. (In Russ.)] doi: https://doi.org/10.14341/dm7796
3. Дедов И.И., Шестакова М.В., Викулова О.К., и др. Сахарный диабет в Российской Федерации: распространенность, заболеваемость, смертность, параметры углеводного обмена и структура сахароснижающей терапии по данным Федерального регистра сахарного диабета, статус 2017 г. // Сахарный диабет. — 2018. — Т. 21. — №3. — С. 144−159. [Dedov II, Shestakova MV, Vikulova OK, et al. Diabetes mellitus in Russian Federation: prevalence, morbidity, mortality, parameters of glycaemic control and structure of hypoglycaemic therapy according to the Federal Diabetes Register, status 2017. Diabetes Mellitus. 2018;21(3):144−159. (In Russ.)] doi: https://doi.org/10.14341/DM9686
4. Boonen S, Body J, Boutsen Y, et al. Evidence-based guidelines for the treatment of postmenopausal osteoporosis: a consensus document of the Belgian Bone Club. Osteoporos Int. 2005;16(3):239−254. doi: 10.1007/s00198-004-1812-1
5. Starup-Linde J, Lykkeboe S, Gregersen S, et al. Differences in biochemical bone markers by diabetes type and the impact of glucose. Bone. 2016;83:149−155. doi: https://doi.org/10.1016/j.bone.2015.11.004
6. Jiajue R, Jiang Y, Wang O, et al. Suppressed bone turnover was associated with increased osteoporotic fracture risks in non-obese postmenopausal Chinese women with type 2 diabetes mellitus. Osteoporos Int. 2014;25(8):1999−2005. doi: https://doi.org/10.1007/s00198-014-2714-5
7. Vestergaard P. Discrepancies in bone mineral density and fracture risk in patients with type 1 and type 2 diabetes – a meta-analysis. Osteoporos Int. 2006;18(4):427−444. doi: https://doi.org/10.1007/s00198-006-0253-4
8. Бардымова Т.П., Мистяков М.В., Сеурко О.В. Маркеры костного метаболизма у женщин в постменопаузальном периоде с сахарным диабетом 2-го типа // Acta Biomedica Scientifica. — 2017. — Т. 2. — №1. — С. 16−18. [Bardymova TP, Mistyakov MV, Seurko OV. Metabolism. Acta Biomedica Scientifica. 2017;2(1):16−18. (In Russ.)]
9. Van Daele PL, Stolk RP, Burger H, et al. Bone density in non-insulin-dependent diabetes mellitus: the Rotterdam study. Ann Intern Med. 1995;22(6):409−414. doi: https://doi.org/10.7326/0003-4819-122-6-199503150-00002
10. Lecka-Czernik B. Diabetes, bone and glucose-lowering agents: basic biology. Diabetologia. 2017;60(7):1163−1169. doi: 10.1007/s00125-017-4269-4
11. Ferrari S, Abrahamsen B, Napoli N, et al. Diagnosis and management of bone fragility in diabetes: an emerging challenge. Osteoporos Int. 2018;29(12):2585–2596. doi: https://doi.org/10.1007/s00198-018-4650-2
12. Jackuliak P, Payer J. Corrigendum to "Osteoporosis, Fractures, and Diabetes". Int J Endocrinol. 2017;2017:2846080. doi: https://doi.org/10.1155/2017/2846080
13. Brandi ML. Microarchitecture, the key to bone quality. Rheumatology. 2009;48(Suppl 4):iv3−8. doi: https://doi.org/10.1093/rheumatology/kep273
14. Ulivieri FM, Silva BC, Sardanelli F, et al. Utility of the trabecular bone score (TBS) in secondary osteoporosis. Endocrine. 2014;47(2):435−448. doi: https://doi.org/10.1007/s12020-014-0280-4
15. Link TM, Majumdar S. Current diagnostic techniques in the evaluation of bone architecture. Curr Osteoporos Rep. 2004;2(2):47−52. doi: https://doi.org/10.1007/s11914-004-0003-5
16. Chen H, Li X, Yue R, et al. The effects of diabetes mellitus and diabetic nephropathy on bone and mineral metabolism in T2DM patients. Diabetes Res Clin Pract. 2013;100(2):272−276. doi: https://doi.org/10.1016/j.diabres.2013.03.0077
17. Климонтов В.В., Фазуллина О.Н., Лыков А.П., и др. Взаимосвязь маркеров ремоделирования костной ткани с минеральной плотностью костей у женщин с сахарным диабетом 2 типа, находящихся в постменопаузе // Сахарный диабет. — 2016. — Т. 19. — №5. — С. 375−382. [Klimontov VV, Fazullina ON, Lykov AP, et al. The relationships between bone turnover markers and bone mineral density in postmenopausal type 2 diabetic women. Diabetes mellitus. 2016;19(5):375−382. (In Russ.)] doi: https://doi.org/10.14341/DM8008
18. Hygum K, Starup-Linde J, Harslof T, et al. Mechanisms in endocrinology: Diabetes mellitus, a state of low bone turnover – a systematic review and meta-analysis. Eur J Endocrinol. 2017;176(3):R137−157. doi: https://doi.org/10.1530/EJE-16-0652
19. Manolagas SC, Almeida M. Gone with the Wnts: beta-catenin, T-cell factor, forkhead box O, and oxidative stress in age dependent diseases of bone, lipid, and glucose metabolism. Mol Endocrinol. 2007;21(11):2605−2614. doi: https://doi.org/10.1210/me.2007-0259
20. Cranney A, Horsley T, O’Donnell S, et al. Effectiveness and safety of vitamin D in relation to bone health. Rockville (MD): Agency for Healthcare Research and Quality (US); 2007. Available from: https://www.ncbi.nlm.nih.gov/books/NBK38410/
21. Пигарова Е.А., Рожинская Л.Я., Белая Ж.Е., и др. Клинические рекомендации Российской ассоциации эндокринологов по диагностике, лечению и профилактике дефицита витамина D у взрослых // Проблемы эндокринологии. — 2016. — Т. 62. — №4. — С. 60−84. [Pigarova EA, RozhinskayaLYa, Belaya ZE, et al. Russian Association of endocrinologists recommendations for diagnosis, treatment and prevention of vitamin D deficiency in adults. Problems of Endocrinology. 2016;62(4):60−84. (In Russ.)] doi: https://doi.org/10.14341/probl201662460-84
22. Herrick KA, Storandt RJ, Afful J, et al. Vitamin D status in the United States, 2011–2014. Am J Clin Nutr. 2019;110(1):150–157. doi: https://doi.org/10.1093/ajcn/nqz037
23. Jorde R, Stunes AK, Kubiak J. Effects of vitamin D supplementation on bone turnover markers and other bone-related substances in subjects with vitamin D deficiency. Bone. 2019;124:7−13. doi: https://doi.org/10.1016/j.bone.2019.04.002
Об авторах
Татьяна Прокопьевна БардымоваРоссия
д.м.н., профессор, заведующий кафедрой эндокринологии
Максим Викторович Мистяков
Россия
Ассистент кафедры эндокринологии
Галина Павловна Ягельская
Россия
Ассистент кафедры эндокринологии
Дополнительные файлы
|
|
1. Рис. 1. Маркеры ремоделирования костной ткани у пациенток с сахарным диабетом 2 типа русской и бурятской популяций. | |
| Тема | ||
| Тип | Прочее | |
Посмотреть
(298KB)
|
Метаданные ▾ | |
|
|
2. Рис. 2. Корреляционные связи между 25(ОН) витамином D и маркерами ремоделирования костной ткани у пациенток с сахарным диабетом 2 типа бурятской популяциии | |
| Тема | ||
| Тип | Прочее | |
Посмотреть
(555KB)
|
Метаданные ▾ | |
Рецензия
Для цитирования:
Бардымова Т.П., Мистяков М.В., Ягельская Г.П. Состояние костной ткани у женщин с сахарным диабетом 2 типа бурятской популяции в постменопаузальном периоде. Сахарный диабет. 2019;22(5):436-443. https://doi.org/10.14341/DM10310
For citation:
Bardymova T.P., Mistiakov M.V., Yagelskaya G.P. Condition of bone tissue in postmenopausal women with type 2 diabetes mellitus of Buryat population. Diabetes mellitus. 2019;22(5):436-443. (In Russ.) https://doi.org/10.14341/DM10310
JATS XML
Контент доступен под лицензией Creative Commons Attribution-NonCommercial-NoDerivatives 4.0 International License (CC BY-NC-ND 4.0).









































