The role of Leu260Phe polymorphism of the receptor gene to GLP-1 incretin in the pathogenesis of diabetes type 2 diabetes with obesity
https://doi.org/10.14341/DM9974
Abstract
BACKGROUND: Glucagon-like peptide-1 (GLP-1) stimulates the proliferation of β-cells, enhances their resistance to apoptosis and increases glucose-dependent insulin secretion.
AIMS: Study of the relationship of Leu260Phe polymorphism (rs1042044) of the GLP-1R gene with postprandial hormone production (C-peptide, insulin, ghrelin, GLP-1) in obese patients with type 2 diabetes.
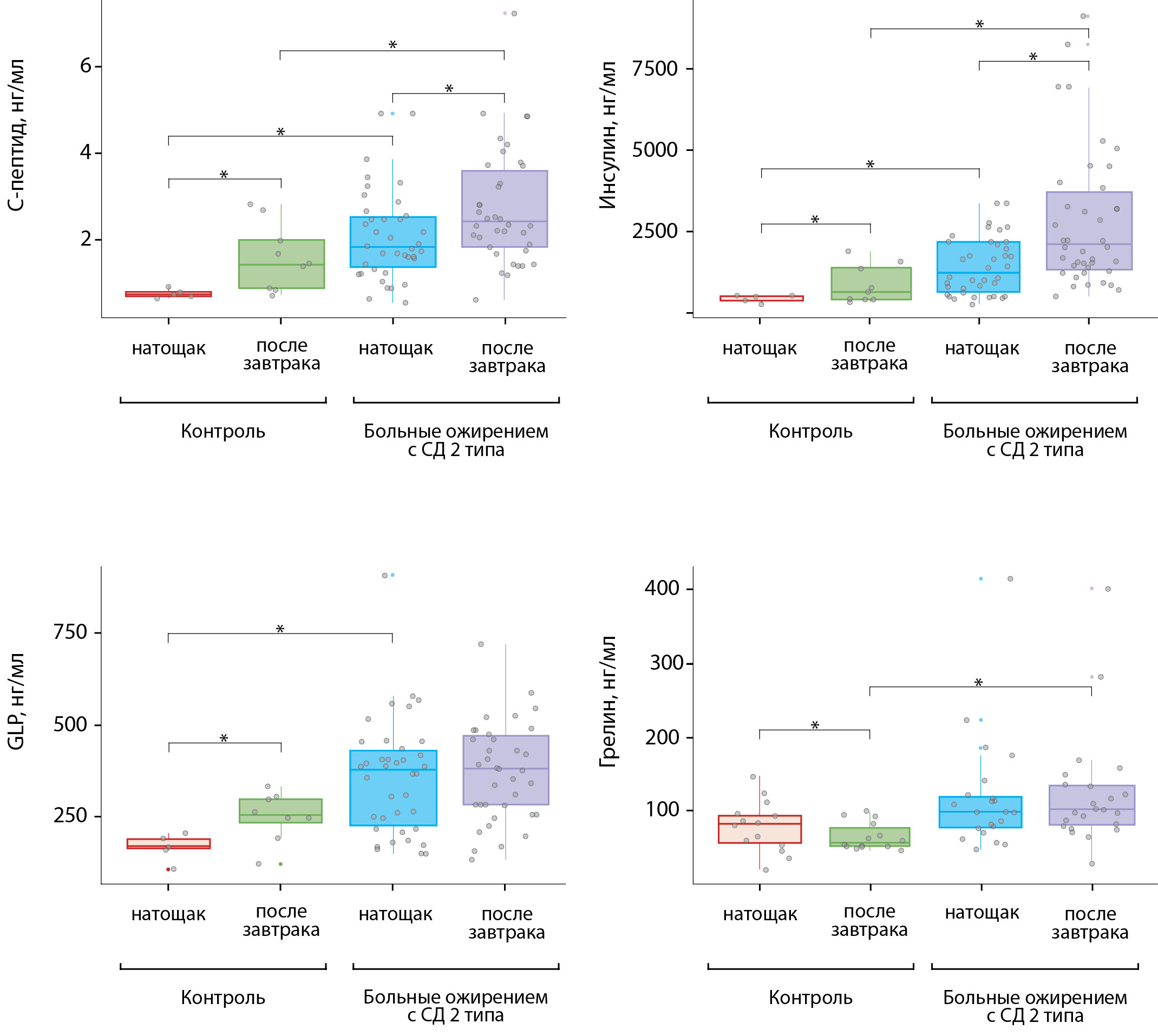
MATERIALS AND METHODS: A total of 174 patients, 82 patients with obesity with type 2 diabetes (BMI=40.4±14.3 kg/m2)and 92 conditionally healthy donors (BMI=22.6±2.7 kg/m2) were studied. The material for the study was venous blood taken on an empty stomach and 60 minutes after the test breakfast. Genotyping was performed by PCR using the sets for determining polymorphism (rs1042044) of the GLP-1R gene (Sintol) and the amplificator (CFX96 BioRad, USA). Plasma hormone levels were evaluated by flow fluorimetry (Bio-PlexProteinAssaySystem, Bio-Rad, USA) using commercial test systems (Bio-PlexProHumanDiabetes 10-Plex Assay, Bio-Rad, USA). Statistical analysis and graphs were obtained at R Statistical Software.
RESULTS: A violation of postprandial production of GLP-1 and ghrelin after a test breakfast in obese patients with type 2 diabetes was found. A postprandial increase in C-peptide levels of 3.25[1.83;4.16] ng/ml and insulin 3048 [1978;4972] ng/ml in carriers of the CC genotype compared with carriers of the CA genotype in the group of patients with obesity with type 2 diabetes type In carriers of the CA genotype, there was a decrease in the C-peptide level of 2.21 [1.8;2.49] ng/ml and insulin 1462 [1146; 2304] ng/ml with a constant concentration of GLP-1. The postprandial level of ghrelin in carriers of the CA genotype of the Leu260Phe polymorphism increased to 118[96.1;157] ng/ml compared to carriers of the AA 98 genotype [86; 109] ng/ml.
CONCLUSION: The presence of the CC genotype of the Leu260Phe polymorphism of the GLP-1 receptor gene is associated with an increase in postprandial plasma levels of C-peptide and insulin in obese patients with type 2 diabetes, and the CA genotype with a decrease in these indicators and an increase in ghrelin content.
About the Authors
Daria A. SkuratovskaiaImmanuel Kant Baltic Federal University
Russian Federation
PhD in Biology
Maria A. Vulf
Immanuel Kant Baltic Federal University
Russian Federation
PhD in Biology
Elena V. Kirienkova
Immanuel Kant Baltic Federal University
Russian Federation
PhD in Biology
Natalia I. Myronyuk
Immanuel Kant Baltic Federal University; Oblast Clinical Hospital of the Kaliningrad Region
Russian Federation
MD, PhD
Pavel A. Zatolokin
Immanuel Kant Baltic Federal University; Oblast Clinical Hospital of the Kaliningrad Region
Russian Federation
MD, PhD
Larisa S. Litvinova
Immanuel Kant Baltic Federal University
Russian Federation
MD, PhD
References
1. Taylor R. Type 2 diabetes: etiology and reversibility. Diabetes Care. 2013;36(4):1047-1055. doi: https://doi.org/10.2337/dc12-1805
2. Knebel B, Strassburger K, Szendroedi J, et al. Specific Metabolic Profiles and Their Relationship to Insulin Resistance in Recent-Onset Type 1 and Type 2 Diabetes. J Clin Endocrinol Metab. 2016;101(5):2130-2140. doi: https://doi.org/10.1210/jc.2015-4133
3. Vejrazkova D, Lischkova O, Vankova M, et al. Distinct response of fat and gastrointestinal tissue to glucose in gestational diabetes mellitus and polycystic ovary syndrome. Physiol Res. 2017;66(2):283-292.
4. Garber AJ. Novel incretin-based agents and practical regimens to meet needs and treatment goals of patients with type 2 diabetes mellitus. J Am Osteopath Assoc. 2011;111(7 Suppl 5):S20-30.
5. McIntosh CHS, Widenmaier S, Kim SJ. Glucose-dependent insulinotropic polypeptide (gastric inhibitory polypeptide; GIP). Vitam Horm. 2009;80:409-471. doi: https://doi.org/10.1016/S0083-6729(08)00615-8
6. Girard J. The incretins: from the concept to their use in the treatment of type 2 diabetes. Part A: incretins: concept and physiological functions. Diabetes Metab. 2008;34(6 Pt 1):550-559. doi: https://doi.org/10.1016/j.diabet.2008.09.001
7. Kim W, Egan JM. The role of incretins in glucose homeostasis and diabetes treatment. Pharmacol Rev. 2008;60(4):470-512. doi: https://doi.org/10.1124/pr.108.000604
8. Koole C, Savage EE, Christopoulos A, et al. Minireview: Signal bias, allosterism, and polymorphic variation at the GLP-1R: implications for drug discovery. Mol Endocrinol. 2013;27(8):1234-1244. doi: https://doi.org/10.1210/me.2013-1116
9. de Luis DA, Pacheco D, Aller R, Izaola O. Role of the rs6923761 gene variant in glucagon-like peptide 1 receptor gene on cardiovascular risk factors and weight loss after biliopancreatic diversion surgery. Ann Nutr Metab. 2014;65(4):259-263. doi: https://doi.org/10.1159/000365975
10. Sheikh HI, Dougherty LR, Hayden EP, et al. Glucagon-like peptide-1 receptor gene polymorphism (Leu260Phe) is associated with morning cortisol in preschoolers. Prog Neuropsychopharmacol Biol Psychiatry. 2010;34(6):980-983. doi: https://doi.org/10.1016/j.pnpbp.2010.05.007
11. Zhang X, Li W, Li P, et al. Intraportal infusion of ghrelin could inhibit glucose-stimulated GLP-1 secretion by enteric neural net in Wistar rat. Biomed Res Int. 2014;2014:923564. doi: https://doi.org/10.1155/2014/923564
12. Hong X, Zhang H, Liang H, et al. Exendin-4 decreases ghrelin levels through mTOR signaling. Mol Cell Endocrinol. 2016;437:201-212. doi: https://doi.org/10.1016/j.mce.2016.08.039
13. Page LC, Gastaldelli A, Gray SM, et al. Interaction of GLP-1 and Ghrelin on Glucose Tolerance in Healthy Humans. Diabetes. 2018;67(10):1976-1985. doi: https://doi.org/10.2337/db18-0451
14. Ma X, Lu R, Gu N, et al. Polymorphisms in the Glucagon-Like Peptide 1 Receptor (GLP-1R) Gene Are Associated with the Risk of Coronary Artery Disease in Chinese Han Patients with Type 2 Diabetes Mellitus: A Case-Control Study. J Diabetes Res. 2018;2018:1054192. doi: https://doi.org/10.1155/2018/1054192
15. Lee S, Lee DY. Glucagon-like peptide-1 and glucagon-like peptide-1 receptor agonists in the treatment of type 2 diabetes. Ann Pediatr Endocrinol Metab. 2017;22(1):15-26. doi: https://doi.org/10.6065/apem.2017.22.1.15
16. Puddu A, Sanguineti R, Montecucco F, Viviani GL. Effects of High Glucose Levels and Glycated Serum on GIP Responsiveness in the Pancreatic Beta Cell Line HIT-T15. J Diabetes Res. 2015;2015:326359. doi: https://doi.org/10.1155/2015/326359
17. Nielsen ST, Janum S, Krogh-Madsen R, et al. The incretin effect in critically ill patients: a case-control study. Crit Care. 2015;19:402. doi: https://doi.org/10.1186/s13054-015-1118-z
18. Makris MC, Alexandrou A, Papatsoutsos EG, et al. Ghrelin and Obesity: Identifying Gaps and Dispelling Myths. A Reappraisal. In Vivo. 2017;31(6):1047-1050. doi: https://doi.org/10.21873/invivo.11168
19. Giezenaar C, van der Burgh Y, Lange K, et al. Effects of Substitution, and Adding of Carbohydrate and Fat to Whey-Protein on Energy Intake, Appetite, Gastric Emptying, Glucose, Insulin, Ghrelin, CCK and GLP-1 in Healthy Older Men-A Randomized Controlled Trial. Nutrients. 2018;10(2). doi: https://doi.org/10.3390/nu10020113
Supplementary files
|
|
1. Fig. 1. The level of hormones of the gastrointestinal tract (C-peptide, insulin, ghrelin and GLP-1) in the studied groups. Data are presented as median and interquartile range Me [Q1; Q3] | |
| Subject | ||
| Type | Исследовательские инструменты | |
View
(371KB)
|
Indexing metadata ▾ | |
|
|
2. Fig. 2. Correlations between plasma levels of C-peptide, ghrelin and GLP-1 and fasting insulin (a) and after test breakfast (b) in the group of obese patients with T2DM. | |
| Subject | ||
| Type | Исследовательские инструменты | |
View
(124KB)
|
Indexing metadata ▾ | |
Review
For citations:
Skuratovskaia D.A., Vulf M.A., Kirienkova E.V., Myronyuk N.I., Zatolokin P.A., Litvinova L.S. The role of Leu260Phe polymorphism of the receptor gene to GLP-1 incretin in the pathogenesis of diabetes type 2 diabetes with obesity. Diabetes mellitus. 2019;22(3):217-224. https://doi.org/10.14341/DM9974
This work is licensed under a Creative Commons Attribution-NonCommercial-NoDerivatives 4.0 International License (CC BY-NC-ND 4.0).









































