Scroll to:
Type 2 Diabetes Mellitus. From the start – combination therapy
https://doi.org/10.14341/DM9867
Abstract
Modern treatment of T2DM requires a shift in paradigm with appropriate intensification of therapy from the very first time of diabetes diagnosis. This is supported by data showing how even a moderate delay in achieving good glycemic control can translate into a later increased risk of developing diabetic complications. The recognition of the complexity of the pathogenesis of T2DM leads to the appreciation of the importance of attacking the disease from different angles, i.e. simultaneous tackling of multiple mechanisms contributing to hyperglycemia. From the turn of century a growing number of new anti-hyperglycemic agents have been made available. As compared to the older ones, these new medicines have a more targeted mechanism of action as they act at the level of the specific pathophysiologic disturbances accounting the development and progression of hyperglycemia. Because of that drugs can be use in combination taking advantage of their complementary mechanisms of action and synergistic. If introduced earlier in the natural history of the disease combination therapy may contribute avoiding undesirable exposure to even mild chronic hyperglycemia and provide early benefits. With respect to that in this review we will discuss advantages, disadvantages and still unanswered questions related to the use of early combination therapy in type 2 diabetes.
For citations:
Indovina F., Falcetta P., Del Prato S. Type 2 Diabetes Mellitus. From the start – combination therapy. Diabetes mellitus. 2018;21(5):386-394. https://doi.org/10.14341/DM9867
INTRODUCTION
The pharmacological armamentarium for the treatment of type 2 diabetes (T2DM) has dramatically expanded over the past 20-30 years. After decades of therapeutic stagnation when glucose-lowering opportunities were only based on biguanides, sulfonylureas, and older insulin formulations, at the turn of the century many new classes of glucose-lowering agents have been made available (1) (Fig. 1). However, this revolution doesn’t seem to be associated with an appreciable increase in the number of T2DM patients attaining, and even more importantly, maintaining good glycemic control. A recent analysis performed on data from 2677 adults from the National Health and Nutrition Examination Survey (NHANES) from 2007 to 2014 showed that percentage of people with diabetes and HbA1c <7.0% slightly declined from 52.2% to 50.9% between the two most recent assessments of the database. Even when attainment of individualized targets based on age and comorbidities were considered, a decline from 69.8% to 63.8% was apparent over the same period of time. Even worse, the percentage with HbA1c >9.0% increased from 12.6% to 15.5% (2). The reason for such partial success despite the development of many new medications to treat diabetes has multiple explanations.
Fig. 1. Evolution of the pharmacologic armamentarium over the time
CLINICAL INERTIA IN PEOPLE WITH TYPE 2 DIABETES
Average time for a diabetes consultation for a diabetic outpatient doesn’t take more than 10 min. Too little time is currently spent in diabetes visits for proper interaction with patients and prompt assessment of needs for changing or intensifying treatments. Such a limited is a main reason for clinical inertia. In a retrospective cohort study based on 81,573 T2DM patients Khunti et al (3) have shown for those with HbA1c <7.0, <7.5, or <8.0% (<53, <58, or <64 mmol/mol), the median time to intensification was 2.9, 1.9, or 1.6 years, respectively, for those taking one OAD and >7.2, >7.2, and >6.9 years for those taking two OADs. Median time to intensification with insulin was >7.1, >6.1, or 6.0 years for those taking one, two, or three OADs. At the time intensification was finally adopted, mean HbA1c
Was between 8.7 and 9.7%. These observations clearly show that there is major delay in treatment intensification in T2DM patients despite suboptimal glycemic control and that a substantial proportion of subjects remain in poor glycemic control for several years before intensification is considered. The result of such a delayed intensification of glucose-lowering therapy results in non-necessary exposure to hyperglycemia and increased risk of development of diabetic complications.
A recent study by Laiteerapong at al (4) has determined the impact of delayed glycemic control in a cohort study of 34,737 newly diagnosed T2DM subjects. The authors examined associations between HbA1c
<6.5% (<48 mmol/mol), 6.5% to <7.0% (48 to <53 mmol/mol), 7.0% to <8.0% (53 to <64 mmol/mol),
8.0% to <9.0% (64 to <75 mmol/mol), or >9.0% (>75 mmol/mol) for various periods of early exposure
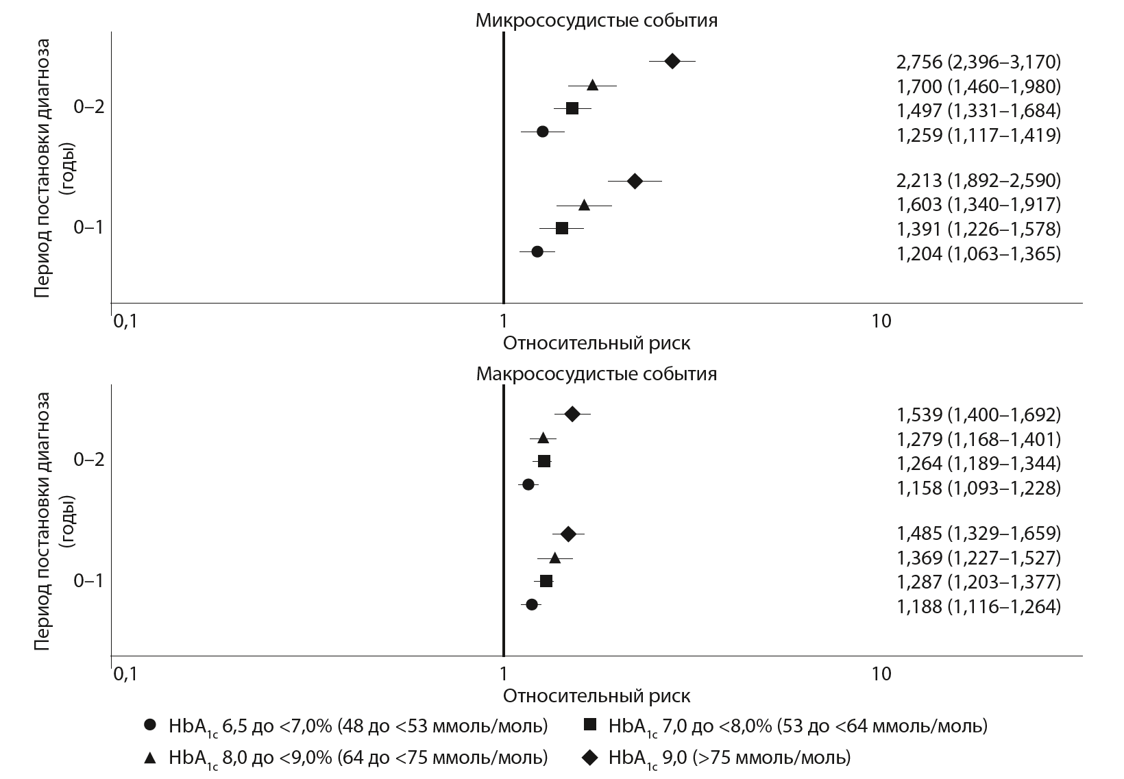
(0–1, 0–2, 0–3, 0–4, 0–5, 0–6, and 0–7 years) and incident future microvascular, macrovascular and mortality over a mean follow-up of 13 years. Compared with HbA1c <6.5% (<48 mmol/mol) for the 0–1- year early exposure period, HbA1c levels >6.5% (>48 mmol/mol) were associated with increased microvascular and macrovascular events and HbA1c levels >7.0% (>53 mmol/mol) were associated with increased mortality (Fig. 2). These results support the notion that immediate treatment targeting strict and long-lasting glycemic control since the time of diagnosis of diabetes is necessary to prevent long-term risk for diabetic complications and mortality.
Fig. 2. Hazard ratios /HR) comparing microvascular (upper panel) and macrovascular (lower panel) event rates for various HbA1c at first year and first 2 years after diagnosis and levels as compared with an HbA1c <6.5% (<48 mmol/mol) for the same exposure periods. HRs adjusted for year of diagnosis, age at diagnosis, sex, race/ethnicity, BMI, systolic and diastolic blood pressure, total cholesterol, HDL cholesterol, smoking status, HbA1c after each early exposure period, and comorbidity (Adapted from ref. 4)
TYPE 2 DIABETES IS A COMPLEX CONDITION
Past treatment strategies did not help fighting clinical inertia as the stepwise approach, i.e. adding a drug upon failure of previous one(s), can result in significant delay (3). Moreover, the stepwise approach does not take into consideration the complex pathogenesis of T2DM. It took us a long time to appreciate the central role of impaired insulin secretion and insulin resistance (5) in the development of the disease. It took even longer to realize that other mechanisms such as alpha-cell hyperactivity, incretin deficiency/resistance, inappropriate renal glucose reabsorption, and altered brain integration activity can all contribute to disruption of glucose homeostasis and favor development and progression of hyperglycemia (6).
Such a complex pathogenesis implies that effective treatment may require pharmacologic treatments addressing more than a single pathogenetic mechanism. Current guidelines do not yet recommend combination therapy at the time of diabetes diagnosis unless glycemic control at presentation is poor (i.e. HbA1c >9%) (7,8). Nonetheless, most guidelines encourage a proactive approach for glucose lowering management in type 2 diabetes. The ADA/EASD position statement, for instance, recommend metformin monotherapy as initial treatment but request considering adding a second drug if HbA1c target is not achieved after 3-month therapy (7). Similarly, upon implementation of dual therapy, triple therapy has to be considered if target HbA1c is not achieved in the ensuing 3 months. It is readily apparent that a large proportion of T2DM patients would be on a much earlier combination therapy were these recommendations carefully implemented. Though early combination therapy may provide more chances to ensure good glycemic control (9) little guidance is made available to the physician with respect of how to select drugs to be used together. This is not a minor aspect to be considered as, given 9 classes of glucose lowering agents currently available the number of possible permutations is as high as 36 for dual therapy and 84 for triple therapy.
An educated selection of combination therapy should require a more solid scientific approach and more carefully generated clinical data. In the next future it may be possible that omics and more accurate phenotypic characterization of each individual together with sophisticated handling of clinical and personal data (i.e. precision medicine) will guide us in such a difficult decision (10). For the time being, it may suffice to analyze elements that may help a more educated selection of combination therapy, in particular: 1. Pathophysiologic basis of the disease. 2. Complementary mechanisms of action, 3. Efficacy- to-safety ratio, and 4. Extra-glycemic properties of glucose-lowering agents.
PATHOPHYSIOLOGIC BASIS OF THE DISEASE
As compared to the past we have now drugs that tackle in a more specific manner mechanisms responsible for diabetic hyperglycemia. Over the years we have moved from serendipitous discovery of the glucose- lowering properties of drugs such as sulfonylureas and biguanides to enter a phase where the development of diabetes medication more commonly stems out of better understanding of the pathophysiology of perturbed glucose homeostasis. Therefore, the modern use of diabetes medication should not simply rely on their empirical efficacy but also be based on the rational of correcting or improving specific mechanisms.
Metformin is currently recommended as first-line treatment for T2DM (7,8). The drug mainly acts as an insulin sensitizer at the level of the liver increasing insulin-mediated suppression of glucose production while it exerts a modest effect on insulin sensitivity at the level of peripheral tissues (i.e. skeletal muscle and adipose tissue) (11). A rational approach for combination therapy would legitimately call for the concomitant use of drug(s) aiming at improving beta-cell function. Metformin, among its many effects, also acts as a GLP1 enhancer. As reviewed by Cho et al (12), metformin can increase the expression of the GLP1 gene in the intestinal L-cells and sensitize the beta cell to the action of GLP1. As such, a DPP4- inhibitor (DPP4i) may sound as a natural companion of metformin, own to its effect in preserving endogenous GLP1. Though GLP1 is mainly produced in the distal part of the intestine, some can be synthesized and locally released by the pancreatic alpha cell (13) in response to metabolic perturbations (14). Of note, DPP4, the enzyme responsible for GLP1 degradation also is expressed on the alpha-cell (15). Therefore, it is tempting to hypothesize that DPP4i could contribute in maintaining elevated intra- islet GLP1 concentration and, therefore, favor preservation of functional beta cell mass. Such a possibility has been supported by several preclinical studies (16-19) though human studies are limited to the demonstration that the use of DPP4i, with or without metformin, can improve beta-cell function as indicated by amelioration of beta-cell sensitivity (20). Moreover, DPP4i can simultaneously restore glucose-mediated suppression of glucagon secretion, thus re-establishing a more physiologic intra-islet hormonal balance (20). The effects elicited by DPP4i can be, obviously, achieved with the use of GLP1- receptor agonists (GLP1-RA) as well (21). These agents also exert a favorable effect on body weight (21). Similarities and differences between DPP4i and GLP1-RA can translate into treatment individualization: DPP4i may be considered for body weight maintenance while GLP1RA could be used for body weight loss.
To the same token, pioglitazone may be seen as an alternative candidate to metformin in the case greater insulin sensitization of peripheral tissues is deemed necessary (11). Of interest, glitazones may also exert beta-cell protection (22). We have previously shown that rosiglitazone can protect human pancreatic islets from lipotoxicity (23). From a clinical point of view, initial combination of pioglitazone and DPP4i has been proven effective and well tolerated (24).
In summary, glucose-lowering agents can be used and combined on the basis of their pharmacologic target. Recently, Abdul-Ghani et al have expanded and tested this approach (25). Drug-naïve, recently diagnosed T2DM subjects were randomized to triple therapy with metformin/pioglitazone/exenatide or classic stepwise approach with an initial escalating dose of metformin followed by sequential addition of sulfonylurea and glargine insulin to maintain HbA1c levels at <6.5% for 2 years (Fig. 3). T2DM patients started on triple therapy had greater reduction in HbA1c level than those receiving conventional therapy (5.95 vs. 6.50%; p < 0.001) with the advantage of a 7.5-fold lower rate of hypoglycemia and a mean weight loss of 1.2 kg vs 4.1 kg weight gain (p < 0.01) in those receiving conventional therapy. The results of this exploratory study show that a combination therapy aiming at improve beta-cell function (exenatide), increase insulin-mediate glucose utilization (pioglitazone) and suppression of hepatic glucose production (metformin) is more effective that the classic stepwise approach.
Fig. 3. Glycated hemoglobin (HbA1c, %), patients with treatment failure (%), patients with hypoglycemia (%) and change in body weight from baseline after 2-year treatment with conventional (initial escalating dose of metformin followed by sequential addition of sulfonylurea and glargine insulin) or triple (metformin/pioglitazone/exenatide) therapy. Treatment failure: HbA1c >6.5% on two consecutive visits (3 months) despite maximum anti-hyperglycemic therapy. Hypoglycemia: blood glucose <3.3 mmol/l (60mg/dl) or symptoms. Basal HbA1c 8.6%, Basal body weight 101 kg.
COMPLEMENTARY MECHANISMS OF ACTION
What discussed above already represent an example of complementary mechanisms of action. By using this approach a greater efficacy and possibly a better durability is expected. However, the complementary mechanisms of action can also contribute to enhance or mitigate undesirable effects of glucose-lowering agents. Treatment with sodium-glucose cotransporter 2 inhibitors (SGLT2i) is associated with increased plasma glucagon levels and a paradoxical increase in endogenous glucose production (26,27). The latter may offset to some extent the glucose-lowering efficacy of these medications so that if the increase in endogenous glucose production is prevented, one could expect a greater efficacy. Metformin, as already said, acts mainly at the level of the liver and pre-clinical studies have shown that metformin can offset the persistence of liver glucose output induced by an SGLT2i (28). In keeping with this mechanistic experiment, clinical trials have shown superiority in glycemic control with the combination of metformin and SGLT2i (29).
Table 1. Potential benefit of early combination therapy for the treatment of type 2 diabetes and open question that remained to be addressed
|
Benefit |
Pending questions |
|
Provides a rational approach |
How durable? |
|
Tackles pathogenic complexity |
Can improve treatment adherence? Takes advantage of complementary mode of action |
|
Takes advantage of complementary mode of action |
Can reduce clinical inertia? |
|
Provides balance between efficacy and side effects allowing for individualized therapy |
Will preserve beta cell function |
|
May result in more sustained efficacy with beneficial effect in reducing the risk of long term complications |
Will the cost be appropriate? |
Incretins can reduce glucagon secretion after the ingestion of a meal, and such a reduction has been claimed to account for up to 50% of the suppression of hepatic glucose production seen with the administration of exenatide (30). Hansen et al. showed that the use of a DPP4i (saxagliptin) together with metformin and a SGLT2i (dapaglifozin) prevented the increase in post-prandial glucagon levels observed with the use of metformin and dapagliflozin, along with an improvement in post-prandial glucose tolerance (31). Consistent with these results, slightly better HbA1c but significantly higher percentage of patients achieving the HbA1c target <7.0% value have been observed in studies with combinations DPP41 (32,33) or GLP1RA (34,35) and SGLT2i as compared to respective mono-therapies.
In summary, drugs with complementary mechanisms of action can be used to either potentiate the individual glucose-lowering efficacy or to prevent metabolic adjustments that may limit full pharmacological potency.
EFFICACY-TO-SAFETY RATIO
Results of the meta-analysis conducted by Phung et al. (9) shows that initial combination therapy in drug- naïve T2DM patients is associated with better glycemic control that can be attained with metformin mono- therapy with a incremental HbA1c reduction of 0.43% and a 40% increase in the chances to achieve a target HbA1c level of 7.0%. Further analysis has also evaluated the efficacy of individual drugs when added to metformin. Palmer et al have performed a careful comparative analysis of the efficacy of drugs added to metformin (36). Among T2DM adults, there were no significant differences in the associations between any of 9 available classes of glucose-lowering drugs. Though efficacy is usually evaluated in term of HbA1c reduction, it is also important to appreciate the durability of such an effect. From this point of view, glitazones have been repeatedly reported to be more durable than metformin and in particular of sulfonylureas (37), though careful selection of patient is recommended because of the potential fluid retention, risk of heart failure and pathological bone fractures. DPP4i have been evaluated as add-on therapy to metformin up to 2 years and have been shown generally to be as efficacious as sulfonylureas
(38) with one 104-week study reporting modest though significant greater improvement in HbA1c at the end of the study (39). More recently, durability of dapagliflozin as add-on to metformin as compared to glipizide has been assessed up to 4 years (40) to show that dapagliflozin was associated with a significantly lower coefficient of failure than glipizide (0.19 [95% CI 0.12-0.25] vs. 0.61 [95% CI 0.49- 0.72] along with 10-fold lower rate of hypoglycemia. Dapagliflozin was also associated with a durable reduction of body weight and blood pressure (40). Palmer et al in the network meta-analysis evaluated also the relative risk of hypoglycemia and body weight gain of single drugs when added to metformin (36). SGLT2i offered the lowest odds of hypoglycemia, while, when added to metformin and sulfonylurea, GLP-1 receptor agonists were associated with the lowest risk of hypoglycemia. Sulfonylureas and pioglitazone were at greater risk of body weight gain while SGLT-2 inhibitors and GLP-1 receptor agonists were associated with less weight gain if not weight loss. These observations are of relevance because, in selecting glucose-lowering agent to be combined, besides efficacy, potential interaction with respect to safety must be considered. For instance, a significant increase in the risk of hypoglycemia was found with combination therapy in comparison to metformin mono-therapy [RR 1.56 (1.08–2.26)], but this effect was not significant when trials of combination of metformin with SUs or glinides were excluded [RR 1.20 (0.91–1.56)] (9). Other combination may actually be more neutral (41) and help mitigating side effects. This is the case of SGLT2i add-on to pioglitazone (42) showing increased efficacy along with mitigation of the typical body weight gain of pioglitazone. Moreover, the osmotic diuretic action of SGLT2i can also limit fluid retention and, finally, neither drug are associated with risk of hypoglycemia (43). A recent post-hoc analysis assessing safety of triple oral therapy with metformin/saxagliptin/dapagliflozin versus dual therapy with metformin plus dapagliflozin or saxagliptin found that the incidences of adverse events and serious adverse events were similar (44). Interestingly, urinary tract infections were more common with sequential than with concomitant add-on therapy and genital infections were reported only with sequential add-on of dapagliflozin to saxagliptin plus metformin (44).
A careful assessment of the risk-to-benefit of early combination therapy is key in favoring adherence to the treatment. To this extent, availability of fixed-dose combinations can reduce the number of pills to be administered and therefore contribute to patient’s compliance to therapy (45).
In summary, the multiple potential combinations can result in different risk-to-benefit ratio. This should be seen as a further complication in T2DM management but rather as an opportunity for a more personalized treatment.
EXTRA-GLYCEMIC PROPERTIES
Though glycemic control remains key in reducing the risk of diabetic complication, some glucose- lowering agents may have ancillary effects that may confer greater protection. A typical example is represented by pioglitazone. After this insulin sensitizer was introduced as a glucose-lowering agents it became soon apparent that it also exerted other actions potentially associated with an anti-atherogenic action (46). In the ProActive trial (47), pioglitazone was evaluated with respect to cardiovascular protection. Though the primary endpoint (non-fatal myocardial infarction, non-fatal stroke, cardiovascular mortality, and revascularization) did not reach the statistical significance, the pre-defined secondary endpoint (the same as the primary with the exclusion of revascularization) was highly significant (HR 0.84, 0.72-0.98, p=0.027). The IRIS study (48) confirmed such cardiovascular protection lending support to an extra-glycemic effect as the trial was conducted in non-diabetic insulin resistant individuals. In the more recent years cardiovascular protection has been associated with the use of SGLT2i (49,50) and GLP1RAs (51-53). Of note, the mechanisms accounting for such a protection may be different for each of these 3 classes of drugs: mainly anti-atherogenic for pioglitazone, mainly hemodynamic and metabolic for SGLT2i, and with some potential direct effect on cardiac myocyte and vessel for GLP1-RAs (54). If that is the case, this may also open up to more studies to evaluate the potential interaction of the combination of these agents not just in term of potentiation of the glucose-lowering efficacy but also with respect to potency of cardiovascular protection.
Even more pertinent to the discussion of early combination therapy is the appreciation and demonstration of effects that some glucose lowering agents may have for prevention of micro-vascular complications. For instance, DPP4i have been claimed to exert a number of effects that may translate into better preservation of the microcirculation (55). Similarly, GLP1RAs have been shown to exert renal protection (56), an effect that appears to be even more pronounced with SGLT2i (57). Specific studies are currently ongoing to test in a direct manner such potential. If these trials will confirm these properties it is not too difficult to envisage the introduction of these medications in early combination therapy with the goal of providing better and more durable glycemic control while conferring protection from vascular complications.
CONCLUSION
Modern treatment of T2DM requires a shift in paradigm with appropriate intensification of therapy from the very first time of diabetes diagnosis. The recognition of the complexity of the pathogenesis of T2DM leads to the appreciation of the importance of attacking the disease from different angles, i.e. simultaneous tackling of multiple mechanisms contributing to hyperglycemia. Ensuring immediate glycemic control and maintaining it as long as possible remains of utmost importance to reduce the risk of complications. As such, combination therapy should be introduced if not at the time of diagnosis at least in a stringent and proactive manner so to avoid undesirable exposure to even mild chronic hyperglycemia and provide early and persistent benefits (Tab. 1). Though this sounds rationale and highly desirable a number of questions remain to be answered (Tab. 1). First of all, we will need a more solid ground to support and guide selection of drugs to be used in combination in a given individual. Also, we will need to determine whether early combination therapy can modify, improve, and preserve critical pathophysiologic mechanisms such as beta-cell function with the expectation that this will translate into a more durable glycemic control. We will need to assess to which extent combination therapy could affect patient’s adherence and clinical inertia of health care providers, two main factors contributing to loss of glycemic control over the time. Finally, careful cost-effectiveness assessment will be necessary in order to weight the sustainability of a more expensive initial therapy.
In summary, much work remains to be done but some of it is already ongoing. Some of these questions will be addressed by ongoing studies such as GRADE (Glycemia Reduction Approaches in Diabetes: A Comparative Effectiveness Study) (58) and VERIFY (Vildagliptin Efficacy in with metfoRmIn For earlY treatment of type 2 diabetes mellitus) (59). GRADE will compare sulfonylureas, DPP4-inhibitors, GLP1- receptor agonists and basal insulin as add-on to metformin in recently (<5 years) diagnosed T2DM patients to ascertain relative maintenance of metabolic control, adverse effects, effects on CVD risk factors, tolerability, and cost-effectiveness. However, SGLT2i will not be included thus precluding the possibility to explore their potential in early combination therapy. VERIFY will investigate the long-term clinical benefits of early combination of metformin plus vildagliptin (a DPP4-inhibitor) versus sequential use of the same two drugs in T2DM patients with recent diagnosis and mild elevation of HbA1c to compare durability of glycemic control, beta-cell function and insulin sensitivity, time to insulin initiation, and the effect on diabetic complications over a 5-year follow-up.
While we wait for the results of these trials and future ones we must appreciate that type 2 diabetes is a severe condition at any stage of the disease, including early phase even in the presence of mild elevation of plasma glucose levels. For this reason, all potential ways to reduce the burden of the disease must be carefully considered.
ADDITIONAL INFORMATION
Support: The publication of this article was supported by Novartis Pharma AG.
Disclosure: Stefano Del Prato has received research support from AstraZeneca, MSD, Novartis and Boehringer Ingelheim, and consultancy fees from AstraZeneca, Boehringer Ingelheim, Eli Lilly, GSK, MSD, Mundipharma, Novartis, Novo Nordisk, Sanofi, Servier and Takeda. Francesco Indovina and Pierpaolo Falcetta have no conflict of interest to be declared.
This article is the syllabus of the lecture of Stefano Del Prato presented on Novartis scientific conference 27th of April 2018 in St. Petersburg and has not been submitted to external peer reviewers but was reviewed by a member of the Editorial Board before publication.
Author involvement. Francesco Indovina and Pierpaolo Falcetta collected data, Francesco Indovina, Pierpaolo Falcetta and Stefano Del Prato performed analysis and wrote the manuscript.
References
1. Tahrani AA, Bailey CJ, Del Prato S, Barnett AH. Management of type 2 diabetes: new and future developments in treatment. Lancet. 2011;378(9786):182-197. doi: 10.1016/s0140-6736(11)60207-9
2. Carls G, Huynh J, Tuttle E, et al. Achievement of Glycated Hemoglobin Goals in the US Remains Unchanged Through 2014. Diabetes Ther. 2017;8(4):863-873. doi: 10.1007/s13300-017-0280-5
3. Khunti K, Wolden ML, Thorsted BL, et al. Clinical inertia in people with type 2 diabetes: a retrospective cohort study of more than 80,000 people. Diabetes Care. 2013;36(11):3411-3417. doi: 10.2337/dc13-0331
4. Laiteerapong N, Ham SA, Gao Y, et al. The Legacy Effect in Type 2 Diabetes: Impact of Early Glycemic Control on Future Complications (the Diabetes & Aging Study). Diabetes Care. 2018. doi: 10.2337/dc17-1144
5. Kahn SE, Cooper ME, Del Prato S. Pathophysiology and treatment of type 2 diabetes: perspectives on the past, present, and future. Lancet. 2014;383(9922):1068-1083. doi: 10.1016/s0140-6736(13)62154-6
6. Defronzo RA. Banting Lecture. From the triumvirate to the ominous octet: a new paradigm for the treatment of type 2 diabetes mellitus. Diabetes. 2009;58(4):773-795. doi: 10.2337/db09-9028
7. Inzucchi SE, Bergenstal RM, Buse JB, et al. Management of hyperglycaemia in type 2 diabetes, 2015: a patient-centred approach. Update to a position statement of the American Diabetes Association and the European Association for the Study of Diabetes. Diabetologia. 2015;58(3):429-442. doi: 10.1007/s00125-014-3460-0
8. Garber AJ, Abrahamson MJ, Barzilay JI, et al. Consensus Statement by the American Association of Clinical Endocrinologists and American College of Endocrinology on the Comprehensive Type 2 Diabetes Management Algorithm--2016 Executive Summary. Endocr Pract. 2016;22(1):84-113. doi: 10.4158/EP151126.CS
9. Phung OJ, Sobieraj DM, Engel SS, Rajpathak SN. Early combination therapy for the treatment of type 2 diabetes mellitus: systematic review and meta-analysis. Diabetes Obes Metab. 2014;16(5):410-417. doi: 10.1111/dom.12233
10. Gloyn AL, Drucker DJ. Precision medicine in the management of type 2 diabetes. Lancet Diabetes Endocrinol. 2018. doi: 10.1016/s2213-8587(18)30052-4
11. Natali A, Ferrannini E. Effects of metformin and thiazolidinediones on suppression of hepatic glucose production and stimulation of glucose uptake in type 2 diabetes: a systematic review. Diabetologia. 2006;49(3):434-441. doi: 10.1007/s00125-006-0141-7
12. Cho YM, Kieffer TJ. New aspects of an old drug: metformin as a glucagon-like peptide 1 (GLP-1) enhancer and sensitiser. Diabetologia. 2011;54(2):219-222. doi: 10.1007/s00125-010-1986-3
13. Marchetti P, Lupi R, Bugliani M, et al. A local glucagon-like peptide 1 (GLP-1) system in human pancreatic islets. Diabetologia. 2012;55(12):3262-3272. doi: 10.1007/s00125-012-2716-9
14. Sancho V, Daniele G, Lucchesi D, et al. Metabolic regulation of GLP-1 and PC1/3 in pancreatic alpha-cell line. PLoS One. 2017;12(11):e0187836. doi: 10.1371/journal.pone.0187836
15. Poulsen MD, Hansen GH, Dabelsteen E, et al. Dipeptidyl peptidase IV is sorted to the secretory granules in pancreatic islet A-cells. J Histochem Cytochem. 1993;41(1):81-88. doi: 10.1177/41.1.8093256
16. Inaba W, Mizukami H, Kamata K, et al. Effects of long-term treatment with the dipeptidyl peptidase-4 inhibitor vildagliptin on islet endocrine cells in non-obese type 2 diabetic Goto-Kakizaki rats. Eur J Pharmacol. 2012;691(1-3):297-306. doi: 10.1016/j.ejphar.2012.07.030
17. Mu J, Petrov A, Eiermann GJ, et al. Inhibition of DPP-4 with sitagliptin improves glycemic control and restores islet cell mass and function in a rodent model of type 2 diabetes. Eur J Pharmacol. 2009;623(1-3):148-154. doi: 10.1016/j.ejphar.2009.09.027
18. Furuta Y, Horiguchi M, Sugaru E, et al. Chronic administration of DSP-7238, a novel, potent, specific and substrate-selective DPP IV inhibitor, improves glycaemic control and beta-cell damage in diabetic mice. Diabetes Obes Metab. 2010;12(5):421-430. doi: 10.1111/j.1463-1326.2009.01180.x
19. Shah P, Ardestani A, Dharmadhikari G, et al. The DPP-4 inhibitor linagliptin restores beta-cell function and survival in human isolated islets through GLP-1 stabilization. J Clin Endocrinol Metab. 2013;98(7):E1163-1172. doi: 10.1210/jc.2013-1029
20. Muscelli E, Casolaro A, Gastaldelli A, et al. Mechanisms for the antihyperglycemic effect of sitagliptin in patients with type 2 diabetes. J Clin Endocrinol Metab. 2012;97(8):2818-2826. doi: 10.1210/jc.2012-1205
21. Nauck MA, Meier JJ. The incretin effect in healthy individuals and those with type 2 diabetes: physiology, pathophysiology, and response to therapeutic interventions. Lancet Diabetes Endocrinol. 2016;4(6):525-536. doi: 10.1016/s2213-8587(15)00482-9
22. Gastaldelli A, Ferrannini E, Miyazaki Y, et al. Thiazolidinediones improve beta-cell function in type 2 diabetic patients. Am J Physiol Endocrinol Metab. 2007;292(3):E871-883. doi: 10.1152/ajpendo.00551.2006
23. Lupi R, Del Guerra S, Marselli L, et al. Rosiglitazone prevents the impairment of human islet function induced by fatty acids: evidence for a role of PPARgamma2 in the modulation of insulin secretion. Am J Physiol Endocrinol Metab. 2004;286(4):E560-567. doi: 10.1152/ajpendo.00561.2002
24. Rosenstock J, Kim SW, Baron MA, et al. Efficacy and tolerability of initial combination therapy with vildagliptin and pioglitazone compared with component monotherapy in patients with type 2 diabetes. Diabetes Obes Metab. 2007;9(2):175-185. doi: 10.1111/j.1463-1326.2006.00698.x
25. Abdul-Ghani MA, Puckett C, Triplitt C, et al. Initial combination therapy with metformin, pioglitazone and exenatide is more effective than sequential add-on therapy in subjects with new-onset diabetes. Results from the Efficacy and Durability of Initial Combination Therapy for Type 2 Diabetes (EDICT): a randomized trial. Diabetes Obes Metab. 2015;17(3):268-275. doi: 10.1111/dom.12417
26. Merovci A, Solis-Herrera C, Daniele G, et al. Dapagliflozin improves muscle insulin sensitivity but enhances endogenous glucose production. J Clin Invest. 2014;124(2):509-514. doi: 10.1172/JCI70704
27. Ferrannini E, Muscelli E, Frascerra S, et al. Metabolic response to sodium-glucose cotransporter 2 inhibition in type 2 diabetic patients. J Clin Invest. 2014;124(2):499-508. doi: 10.1172/JCI72227
28. Neschen S, Scheerer M, Seelig A, et al. Metformin supports the antidiabetic effect of a sodium glucose cotransporter 2 inhibitor by suppressing endogenous glucose production in diabetic mice. Diabetes. 2015;64(1):284-290. doi: 10.2337/db14-0393
29. Rosenstock J, Chuck L, Gonzalez-Ortiz M, et al. Initial Combination Therapy With Canagliflozin Plus Metformin Versus Each Component as Monotherapy for Drug-Naive Type 2 Diabetes. Diabetes Care. 2016;39(3):353-362. doi: 10.2337/dc15-1736
30. Cervera A, Wajcberg E, Sriwijitkamol A, et al. Mechanism of action of exenatide to reduce postprandial hyperglycemia in type 2 diabetes. Am J Physiol Endocrinol Metab. 2008;294(5):E846-852. doi: 10.1152/ajpendo.00030.2008
31. Hansen L, Iqbal N, Ekholm E, et al. Postprandial dynamics of plasma glucose, insulin, and glucagon in patients with type 2 diabetes treated with saxagliptin plus dapagliflozin add-on to metformin therapy. Endocr Pract. 2014;20(11):1187-1197. doi: 10.4158/EP14489.OR
32. Lewin A, DeFronzo RA, Patel S, et al. Initial combination of empagliflozin and linagliptin in subjects with type 2 diabetes. Diabetes Care. 2015;38(3):394-402. doi: 10.2337/dc14-2365
33. Rosenstock J, Hansen L, Zee P, et al. Dual add-on therapy in type 2 diabetes poorly controlled with metformin monotherapy: a randomized double-blind trial of saxagliptin plus dapagliflozin addition versus single addition of saxagliptin or dapagliflozin to metformin. Diabetes Care. 2015;38(3):376-383. doi: 10.2337/dc14-1142
34. Frías JP, Guja C, Hardy E, et al. Exenatide once weekly plus dapagliflozin once daily versus exenatide or dapagliflozin alone in patients with type 2 diabetes inadequately controlled with metformin monotherapy (DURATION-8): a 28 week, multicentre, double-blind, phase 3, randomised controlled trial. Lancet Diabetes Endocrinol. 2016;4(12):1004-1016. doi: 10.1016/s2213-8587(16)30267-4
35. Ludvik B, Frías JP, Tinahones FJ, et al. Dulaglutide as add-on therapy to SGLT2 inhibitors in patients with inadequately controlled type 2 diabetes (AWARD-10): a 24-week, randomised, double-blind, placebo-controlled trial. Lancet Diabetes Endocrinol. 2018;6(5):370-381. doi: 10.1016/s2213-8587(18)30023-8
36. Palmer SC, Mavridis D, Nicolucci A, et al. Comparison of Clinical Outcomes and Adverse Events Associated With Glucose-Lowering Drugs in Patients With Type 2 Diabetes: A Meta-analysis. JAMA. 2016;316(3):313-324. doi: 10.1001/jama.2016.9400
37. Kahn SE, Haffner SM, Heise MA, et al. Glycemic durability of rosiglitazone, metformin, or glyburide monotherapy. N Engl J Med. 2006;355(23):2427-2443. doi: 10.1056/NEJMoa066224
38. Mishriky BM, Cummings DM, Tanenberg RJ. The efficacy and safety of DPP4 inhibitors compared to sulfonylureas as add-on therapy to metformin in patients with Type 2 diabetes: A systematic review and meta-analysis. Diabetes Res Clin Pract. 2015;109(2):378-388. doi: 10.1016/j.diabres.2015.05.025
39. Del Prato S, Camisasca R, Wilson C, Fleck P. Durability of the efficacy and safety of alogliptin compared with glipizide in type 2 diabetes mellitus: a 2-year study. Diabetes Obes Metab. 2014;16(12):1239-1246. doi: 10.1111/dom.12377
40. Del Prato S, Nauck M, Duran-Garcia S, et al. Long-term glycaemic response and tolerability of dapagliflozin versus a sulphonylurea as add-on therapy to metformin in patients with type 2 diabetes: 4-year data. Diabetes Obes Metab. 2015;17(6):581-590. doi: 10.1111/dom.12459
41. Del Prato S, Chilton R. Practical strategies for improving outcomes in T2DM: The potential role of pioglitazone and DPP4 inhibitors. Diabetes Obes Metab. 2018;20(4):786-799. doi: 10.1111/dom.13169
42. Kovacs CS, Seshiah V, Swallow R, et al. Empagliflozin improves glycaemic and weight control as add-on therapy to pioglitazone or pioglitazone plus metformin in patients with type 2 diabetes: a 24-week, randomized, placebo-controlled trial. Diabetes Obes Metab. 2014;16(2):147-158. doi: 10.1111/dom.12188
43. DeFronzo RA, Chilton R, Norton L, et al. Revitalization of pioglitazone: the optimum agent to be combined with a sodium-glucose co-transporter-2 inhibitor. Diabetes Obes Metab. 2016;18(5):454-462. doi: 10.1111/dom.12652
44. Del Prato S, Rosenstock J, Garcia-Sanchez R, et al. Safety and tolerability of dapagliflozin, saxagliptin and metformin in combination: Post-hoc analysis of concomitant add-on versus sequential add-on to metformin and of triple versus dual therapy with metformin. Diabetes Obes Metab. 2018;20(6):1542-1546. doi: 10.1111/dom.13258
45. Hutchins V, Zhang B, Fleurence RL, et al. A systematic review of adherence, treatment satisfaction and costs, in fixed-dose combination regimens in type 2 diabetes. Curr Med Res Opin. 2011;27(6):1157-1168. doi: 10.1185/03007995.2011.570745
46. Cariou B, Charbonnel B, Staels B. Thiazolidinediones and PPARgamma agonists: time for a reassessment. Trends Endocrinol Metab. 2012;23(5):205-215. doi: 10.1016/j.tem.2012.03.001
47. Dormandy JA, Charbonnel B, Eckland DJA, et al. Secondary prevention of macrovascular events in patients with type 2 diabetes in the PROactive Study (PROspective pioglitAzone Clinical Trial In macroVascular Events): a randomised controlled trial. Lancet. 2005;366(9493):1279-1289. doi: 10.1016/s0140-6736(05)67528-9
48. Kernan WN, Viscoli CM, Furie KL, et al. Pioglitazone after Ischemic Stroke or Transient Ischemic Attack. N Engl J Med. 2016;374(14):1321-1331. doi: 10.1056/NEJMoa1506930
49. Zinman B, Wanner C, Lachin JM, et al. Empagliflozin, Cardiovascular Outcomes, and Mortality in Type 2 Diabetes. N Engl J Med. 2015;373(22):2117-2128. doi: 10.1056/NEJMoa1504720
50. Neal B, Perkovic V, Mahaffey KW, et al. Canagliflozin and Cardiovascular and Renal Events in Type 2 Diabetes. N Engl J Med. 2017;377(7):644-657. doi: 10.1056/NEJMoa1611925
51. Marso SP, Daniels GH, Brown-Frandsen K, et al. Liraglutide and Cardiovascular Outcomes in Type 2 Diabetes. N Engl J Med. 2016;375(4):311-322. doi: 10.1056/NEJMoa1603827
52. Marso SP, Bain SC, Consoli A, et al. Semaglutide and Cardiovascular Outcomes in Patients with Type 2 Diabetes. N Engl J Med. 2016;375(19):1834-1844. doi: 10.1056/NEJMoa1607141
53. Holman RR, Bethel MA, Mentz RJ, et al. Effects of Once-Weekly Exenatide on Cardiovascular Outcomes in Type 2 Diabetes. N Engl J Med. 2017;377(13):1228-1239. doi: 10.1056/NEJMoa1612917
54. Abdul-Ghani M, DeFronzo RA, Del Prato S, et al. Cardiovascular Disease and Type 2 Diabetes: Has the Dawn of a New Era Arrived? Diabetes Care. 2017;40(7):813-820. doi: 10.2337/dc16-2736
55. Avogaro A, Fadini GP. The effects of dipeptidyl peptidase-4 inhibition on microvascular diabetes complications. Diabetes Care. 2014;37(10):2884-2894. doi: 10.2337/dc14-0865
56. Mann JFE, Orsted DD, Brown-Frandsen K, et al. Liraglutide and Renal Outcomes in Type 2 Diabetes. N Engl J Med. 2017;377(9):839-848. doi: 10.1056/NEJMoa1616011
57. Wanner C, Inzucchi SE, Lachin JM, et al. Empagliflozin and Progression of Kidney Disease in Type 2 Diabetes. N Engl J Med. 2016;375(4):323-334. doi: 10.1056/NEJMoa1515920
58. Nathan DM, Buse JB, Kahn SE, et al. Rationale and design of the glycemia reduction approaches in diabetes: a comparative effectiveness study (GRADE). Diabetes Care. 2013;36(8):2254-2261. doi: 10.2337/dc13-0356
59. Del Prato S, Foley JE, Kothny W, et al. Study to determine the durability of glycaemic control with early treatment with a vildagliptin-metformin combination regimen vs. standard-of-care metformin monotherapy-the VERIFY trial: a randomized double-blind trial. Diabet Med. 2014;31(10):1178-1184. doi: 10.1111/dme.12508
About the Authors
Francesco IndovinaUniversity of Pisa
Italy
MD, Department of Clinical and Experimental Medicine, Section of Metabolic Diseases and Diabetes
Pierpaolo Falcetta
University of Pisa
Italy
MD, Department of Clinical and Experimental Medicine, Section of Metabolic Diseases and Diabetes
Stefano Del Prato
University of Pisa
Italy
MD, PhD
Competing Interests:
Stefano Del Prato has received research support from AstraZeneca, MSD, Novartis and Boehringer Ingelheim, and consultancy fees from AstraZeneca, Boehringer Ingelheim, Eli Lilly, GSK, MSD, Mundipharma, Novartis, Novo Nordisk, Sanofi, Servier and Takeda.
Supplementary files
|
|
1. Fig. 1. The development of pharmacological arsenal over time. | |
| Subject | ||
| Type | Исследовательские инструменты | |
View
(74KB)
|
Indexing metadata ▾ | |
|
|
2. Fig. 2. Hazard ratios comparing the frequency of microvascular (upper part) and macrovascular (lower part) events at different levels of HbA1c in the first year of diagnosis and in the first two years after the diagnosis. | |
| Subject | ||
| Type | Исследовательские инструменты | |
View
(139KB)
|
Indexing metadata ▾ | |
|
|
3. Fig. 3. Comparison results of two groups of study participants (traditional treatment regimen - initiation of therapy with increasing doses of metformin followed by the addition of sulfonylurea and insulin glargine; drugs; triple treatment regimen - three-component therapy metformin / pioglitazone / exenatide from the start of treatment) traditional or triple treatment regimen. The criterion of failure to achieve the goal of treatment: HbA1c> 6.5% on two consecutive visits with an interval of 3 months, despite the maximum doses of glucose-lowering drugs. Hypoglycemia: decreased glycemia <3.3 mmol / L (60 mg / dL) or the appearance of characteristic symptoms. The average HbA1c at the beginning of the study was 8.6%, the average body weight was 101 kg. | |
| Subject | ||
| Type | Исследовательские инструменты | |
View
(59KB)
|
Indexing metadata ▾ | |
|
|
4. Fig. 1. Evolution of the pharmacologic armamentarium over the time | |
| Subject | ||
| Type | Research Instrument | |
View
(67KB)
|
Indexing metadata ▾ | |
|
|
5. Fig. 2. Hazard ratios /HR) comparing microvascular (upper panel) and macrovascular (lower panel) event rates for various HbA1c at first year and first 2 years after diagnosis and levels as compared with an HbA1c <6.5% (<48 mmol/mol) for the same exposure periods. HRs adjusted for year of diagnosis, age at diagnosis, sex, race/ethnicity, BMI, systolic and diastolic blood pressure, total cholesterol, HDL cholesterol, smoking status, HbA1c after each early exposure period, and comorbidity (Adapted from ref. 4) | |
| Subject | ||
| Type | Research Instrument | |
View
(134KB)
|
Indexing metadata ▾ | |
|
|
6. Fig. 3. Glycated hemoglobin (HbA1c, %), patients with treatment failure (%), patients with hypoglycemia (%) and change in body weight from baseline after 2-year treatment with conventional (initial escalating dose of metformin followed by sequential addition of sulfonylurea and glargine insulin) or triple (metformin/pioglitazone/exenatide) therapy. Treatment failure: HbA1c >6.5% on two consecutive visits (3 months) despite maximum anti-hyperglycemic therapy. Hypoglycemia: blood glucose <3.3 mmol/l (60mg/dl) or symptoms. Basal HbA1c 8.6%, Basal body weight 101 kg. | |
| Subject | ||
| Type | Research Instrument | |
View
(86KB)
|
Indexing metadata ▾ | |
Review
For citations:
Indovina F., Falcetta P., Del Prato S. Type 2 Diabetes Mellitus. From the start – combination therapy. Diabetes mellitus. 2018;21(5):386-394. https://doi.org/10.14341/DM9867
JATS XML
This work is licensed under a Creative Commons Attribution-NonCommercial-NoDerivatives 4.0 International License (CC BY-NC-ND 4.0).









































