Перейти к:
Перспективы снижения смертности больных сахарным диабетом 2 типа от острого инфаркта миокарда по данным многоцентровых рандомизированных исследований
https://doi.org/10.14341/DM200412-6
Аннотация
В статье представлен обзор научных публикаций, посвященных проблеме снижения смертности от острого инфаркта миокарда (ОИМ) у больных сахарным диабетом 2 типа (СД2) с анализом методов лечения сердечно-сосудистых заболеваний (ССЗ), которые увеличивают продолжительность и улучшают качество жизни пациентов с ОИМ как при нормальном углеводном обмене (НУО), так и при СД2. Риск сердечно-сосудистой смертности (ССС) у больных СД2, по сравнению с лицами, имеющими НУО, остается на прежнем уровне. Стремительно растущая популяция больных СД2 в скором времени может изменить сложившиеся в последние годы представления о возможности улучшения прогноза при лечении ССЗ.
Ключевые слова
Для цитирования:
Какорин С.В., Искандарян Р.А., Мкртумян А.М. Перспективы снижения смертности больных сахарным диабетом 2 типа от острого инфаркта миокарда по данным многоцентровых рандомизированных исследований. Сахарный диабет. 2016;19(2):141-149. https://doi.org/10.14341/DM200412-6
For citation:
Kakorin S.V., Iskandaryan R.A., Mkrtumyan A.M. Perspectives on reducing mortality attributed to acute myocardial infarction among patients with type 2 diabetes mellitus in multicenter randomized trials. Diabetes mellitus. 2016;19(2):141-149. (In Russ.) https://doi.org/10.14341/DM200412-6
Вышедшие в 2013 г. «Рекомендации по диабету, предиабету и сердечно-сосудистым заболеваниям EASD/ESC» [1] подчеркивают роль доказательной медицины в снижении смертности от сердечно-сосудистых заболеваний (ССЗ) у пациентов с нарушениями углеводного обмена (УО). В РФ, где на 01. 01. 2014 года зарегистрировано 3 964 889 пациентов с диагнозом «Сахарный диабет» (СД) [2], снижение кардиоваскулярной смертности среди лиц с нарушениями УО крайне актуально [3]. Острый инфаркт миокарда (ОИМ) – одна из ведущих причин смерти от ССЗ и самая частая причина внезапной сердечной смерти (ВСС) в РФ. Он ежегодно развивается у 0,2–0,6% мужчин в возрасте от 40 до 59 лет и у 1,7% мужчин от 60 до 64 лет. Женщины в молодом и среднем возрасте болеют в 2–2,5 раза реже мужчин, что связано с более поздним развитием у них атеросклероза [4]. На сегодняшний день ССЗ являются главной причиной смерти у пациентов с сахарным диабетом 2 типа (СД2) во всем мире. С 1945 г. число больных СД в мире удваивалось каждые 20 лет [5], достигнув к 2015 г. 387 миллионов человек [6]. Летальность от ССЗ у больных СД2 в 2–3 раза выше, чем в популяции [5]. Экономический аспект ССЗ у пациентов с диагнозом СД2 охарактеризован в исследовании UKPDS (UnitedKingdonProspectiveDiabetesStudy) [7], где нефатальный и фатальный ОИМ заняли второе и третье места по расходам на лечение, уступая лишь расходам на ампутации конечностей. Аналогичный вывод содержится в «Алгоритмах специализированной медицинской помощи больным сахарным диабетом» [8], вышедших в 2015 году.
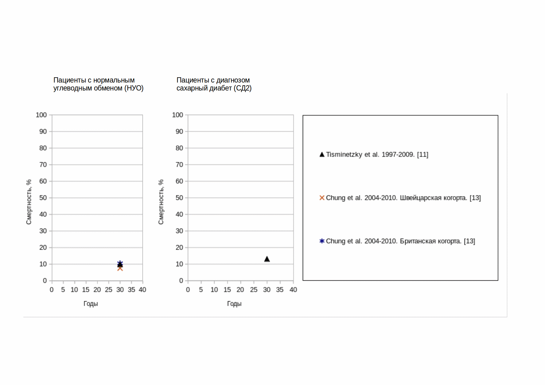
С начала 1980-х гг. снижается частота ОИМ и других кардиоваскулярных заболеваний как в общей популяции, так и у больных СД2, причем обусловленная ССЗ смертность также уменьшается. Метаанализ 18 публикаций с охватом 25 000 пациентов [9] показал, что госпитальная смертность от ОИМ снизилась с 29% в 1960-е гг. до 21% в 1970-е и до 16% в 1980-е. Это связано с введением специализированной помощи в блоках интенсивной терапии, а также совершенствованием фармакотерапии и демографическими изменениями. С 1990 гг. вклад в снижение смертности внесло применение коронарной ангиопластики, операций аортокоронарного шунтирования (АКШ). В период с 1990 по 2010 гг. в США у пациентов с СД2 частота ОИМ снизилась на 67,8%, фатальной гипергликемии – на 64,4%, острого нарушения мозгового кровообращения (ОНМК) и ампутаций – на 52,7% и 51,4% соответственно, терминальой стадии хронической болезни почек (ТХБП) – на 28,3% [10]. Это происходило на фоне совершенствования антигипергликемической (АГТ), антигиперлипидемической, антитромботической и антигипертензивной терапии, а также внедрения интервенционных методов лечения (ИМЛ). Исследование в США с 1997 по 2009 гг. [11] показало снижение госпитальной смертности при ОИМ как у лиц с нормальным углеводным обменом (НУО) – с 18,6 до 5,5%, так и у пациентов с СД2 – с 20,0 до 5,6%. Проведенное в Испании в 2001–2010 гг. исследование [12] выявило, что среди госпитализированных с ОИМ пациентов 30,3% имели СД2. Смертность от ОИМ у больных СД2 в период с 2001 по 2010 гг. снизилась с 13,2% до 9,8%, а у лиц с НУО – с 11,2% до 7,4%. Доля пациентов, получивших ИМЛ, возросла среди лиц с СД2 с 11,9% до 41,6% и среди лиц с НУО – с 16,7% до 50,4%. С 2004 по 2010 гг. смертность от ОИМ в Великобритании составила 10,5%, а в Швеции – 7,6%. Это связано как с большим применением ИМЛ в Швеции, соответственно 22% и 59%, так и с более частым использованием бета-адреноблокаторов после выписки, 78% и 89% соответственно [13]. Однако до конца не ясны возможности отдельных компонентов фармакологической терапии ССЗ на фоне СД2 в плане снижения смертности.
В данном обзоре оценены перспективы снижения смертности от ОИМ и его осложнений у больных СД2 на основе совершенствования АГТ. Поиск публикаций охватывал этапы использования фармакотерапии ССЗ при СД2 (1970–1990 гг.), внедрения ИМЛ (1991–2000 гг.), комплексного лечения ССЗ у больных СД2 на основе фармакотерапии, хирургического лечения, а также патогенетического лечения СД2 (с 2001 г. по настоящее время). Выбор литературных источников включал два этапа. На первом – осуществлялся поиск соответствующих информационной потребности пертинентных книг, сборников и отдельных журнальных статей по ключевым словам: «ОИМ», «летальный риск», «факторы риска», «СД2», «нарушения УО» и их английским эквивалентам. В результате найдено примерно 1500 источников. На втором – среди найденных работ отобраны релевантные, т.е. относящиеся к теме настоящего исследования. Дополнительный поиск источников по библиографическим ссылкам проводился в том случае, если объем информации по теме был недостаточным или в разных публикациях имелись противоречивые оценки результатов исследований.
Высокая смертность от ССЗ у больных с патологией УО волнует медицинское сообщество с середины XX в. В 1970-е гг. в ходе Фремингемского исследования было установлено, что среди пациентов с СД2 частота ССЗ выше в 2,1 раза среди мужчин и в 2,7 раза – среди женщин всех возрастов, в сравнении с НУО [14]. Исследование с 1980 по 1990 гг. в Финляндии показало, что частота первого ОИМ у пациентов с СД2 сопоставима с частотой повторного ИМ у лиц с НУО [15]. Повышенная заболеваемость ССЗ на фоне нарушений УО побудила исследователей искать причины этого явления. В исследованиях GUSTO-I (Global Utilization of Streptokinase and TPA for Occluded Coronary Arteries) [16] и MONICA (Multinational Monitoring of Trends and Determinants in Cardiovascular Disease) [17] риск смерти от первого ОИМ на фоне СД2 в 2–4 раза выше, чем при НУО. Исследование OASIS (OrganizationtoAssessStrategiesforIschemicSyndromes) выявило повышенную летальность от ОИМ у больных СД2 уже на догоспитальном этапе [18]. Смертность в период от первых симптомов ОИМ до поступления в стационар составила 2,9% у пациентов с СД2 и 2,0% с НУО.
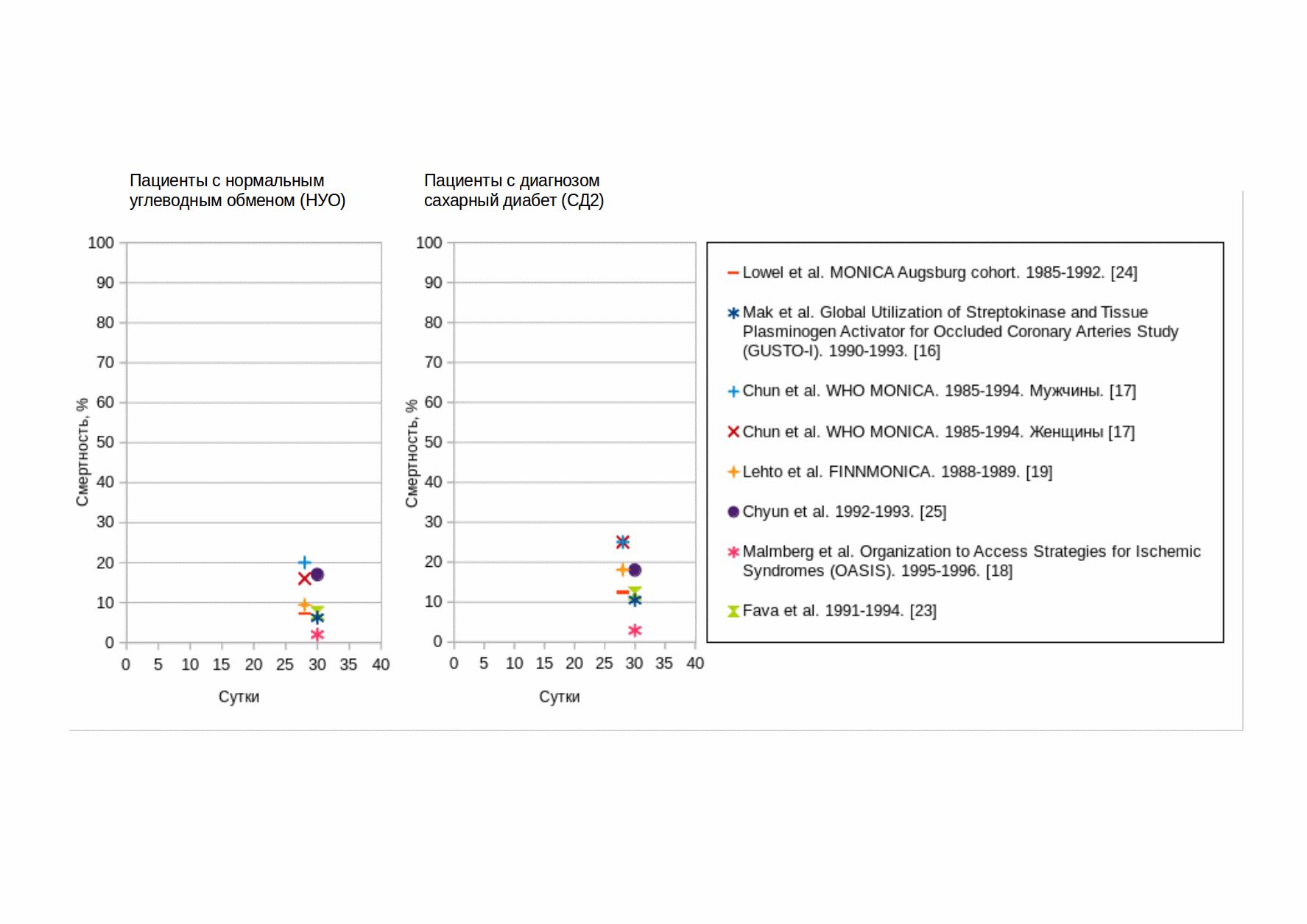
В первые 30 дней смертность от ОИМ у женщин выше, чем у мужчин (рис. 1 и 3), чем моложе пациентки, тем эта разница заметнее [17, 19]. Возможно, это связано с нехваткой эстрогенов у женщин в менопаузу, при дефиците которых ускоряется развитие атеросклероза коронарных артерий. Показано, что у женщин моложе 50 лет с СД2 повышена частота ОИМ [20]. Смертность в первые 30 дней у больных СД2, получавших инсулин, выше, чем у тех, кто получал пероральные сахароснижающие препараты (ПССП) [16]. В то же время, имеется группа исследований, где разница в смертности после ОИМ между пациентами с НУО и СД2 проявилась лишь спустя некоторое время после инфаркта. В исследовании FINMONICA (FinnishRegistryofMultinationalMonitoringofTrendsandDeterminantsinCardiovascularDisease) [19] и многоцентровом исследовании в Дании [21, 22] эффект повышения смертности при ОИМ на фоне СД2 проявился лишь спустя год после инфаркта.
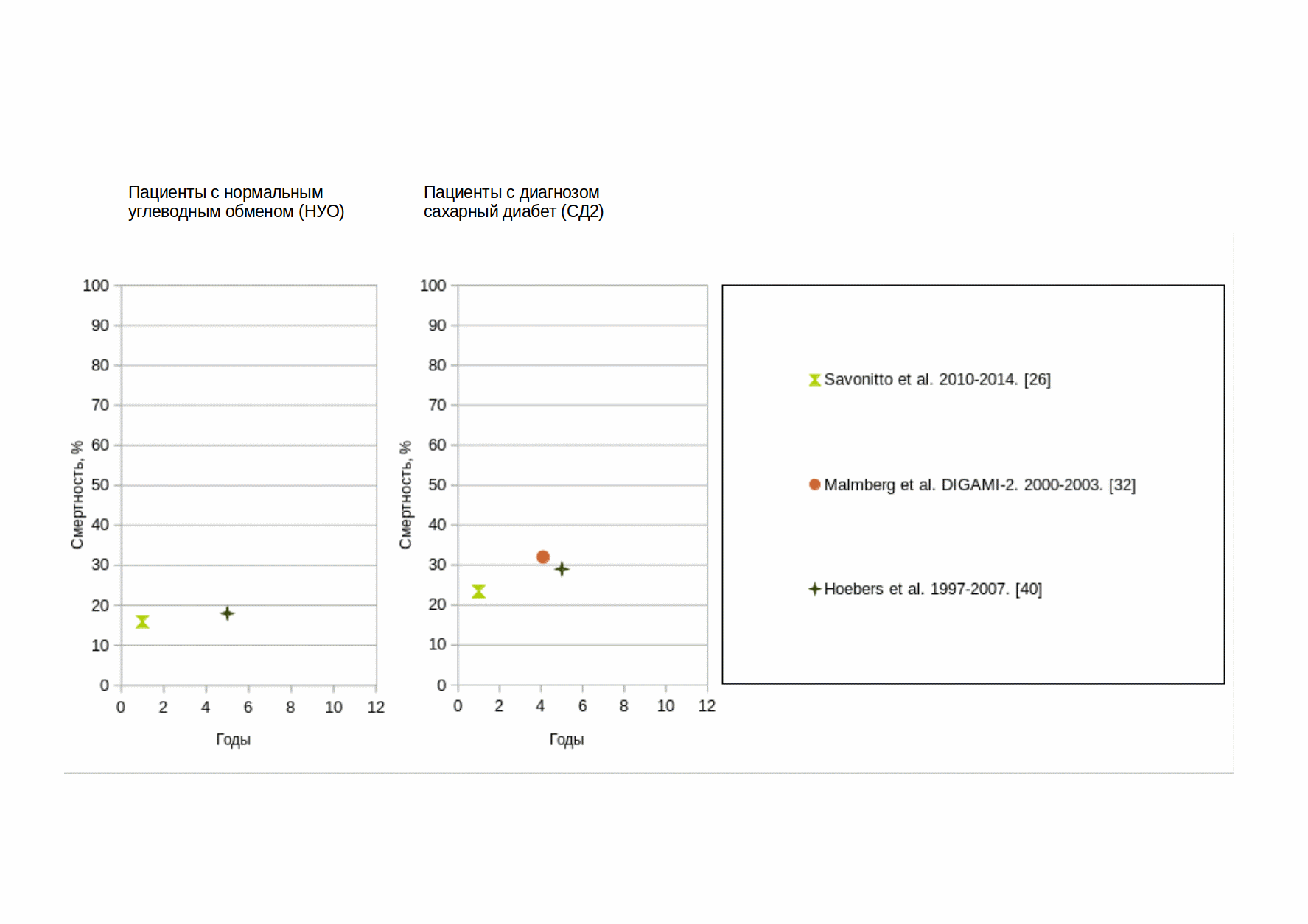
По истечении 30 дней смертность от ОИМ на фоне СД2 также выше, чем при НУО (рис. 2 и 4). В исследовании [23] выявлено повышение смертности у пациентов с СД2 по сравнению с НУО. После 3 месяцев с момента возникновения острого коронарного синдрома с исходом в нестабильную стенокардию умерли 8,6% пациентов с СД2 и 2,5% без него (отношение рисков (ОР) 3,4). Аналогичные показатели через год составили 16,7% и 8,6% (ОР 1,9). В этом исследовании пациенты с СД2 реже получали бета-адреноблокаторы и ИМЛ, чем пациенты с НУО. Авторы целого ряда публикаций отмечают, что спустя месяц с момента возникновения ОИМ летальность среди женщин достоверно выше, чем у мужчин всех возрастов [18, 20, 24]. Как и в 30-дневном периоде, в течение года после ОИМ больные, получавшие инсулин, умирали чаще по сравнению с теми, кто принимал ПССП или только соблюдал диету [25]. В сравнительном анализе групп, где пациенты получали комплексное лечение (статины, гипотензивные и гиполипидемические средства, кардиотропные и антитромботические препараты), смертность от ОИМ, как правило, была меньше, чем при терапии одним-двумя препаратами (отношения шансов (ОШ) выживания составляли от 1,2 до 2,1 в зависимости от варианта фармакотерапии и хирургического лечения).
Использование чрескожных коронарных вмешательств (ЧКВ) влияет на исход ОИМ при СД2 [26]. В исследовании MIG (Melbourne Interventional Group) [27] смертность после ЧКВ у больных СД2 была в два раза выше в сравнении с НУО (соответственно 3,2% и 1,6%). Наличие СД2 влияло на выживание при ОИМ, если проводился тромболизис [28]. 398 пациентам выполнялось ЧКВ в интервале от 3 до 24 ч после тромболизиса тенектеплазой. Госпитальная смертность составила 5,8%. Из 23 умерших 60,9% имели СД2, 39,1% – НУО. Умершие пациенты чаще имели старший возраст, СД2, ХПН, меньшую фракцию выброса левого желудочка (ФВЛЖ) и острую сердечную недостаточность (ОСН) – классы Killip III или IV. Из 375 выживших после тромболизиса пациентов 28% имели СД2 и 72% – НУО. В исследовании [29] среди 959 больных ОИМ с подъемом сегмента ST, перенесших ЧКВ, уровень гликемии при поступлении положительно коррелировал с госпитальной смертностью, частотой осложнений, реинфарктов, а также всех сердечно-сосудистых осложнений (ССО). Относительные частоты осложнений, госпитальной смертности, смертности после выписки и вероятности комбинированного события, включавшего повторный инфаркт, ОСН или смерть после выписки из стационара, у лиц с уровнем гликемии при поступлении выше 10,5 ммоль/л составили соответственно 2,12, 2,74, 2,52 и 1,70 в сравнении с лицами, у которых гликемия была ниже этой величины.
Таким образом, наличие СД2 предопределяет повышенный уровень смертности при ОИМ как в ранней, так и в отсроченной перспективе, причем эта тенденция сохраняется даже при использовании ИМЛ.
Увеличение смертности от ОИМ на фоне СД2 объясняли метаболическими нарушениями, связанными с гипергликемией, бессимптомным течением ИМ при диабетической автономной кардионейропатии (ДАКН), кардиосклерозом, диабетической кардиомиопатией и снижением ФВЛЖ, уменьшением выработки аденозинтрифосфата на фоне метаболических нарушений, оксидативным стрессом при реперфузии миокарда [30]. Наряду с этим, повышенную смертность при СД2 объясняют нарушением выработки вазодилятаторов, эндотелиальной дисфункцией, ухудшением липидного профиля и ускоренным атеросклерозом коронарных артерий, повышением адгезии и активацией тромбоцитов, нарушением фибринолиза, изменениями в клетках интимы сосудов [31]. Также в эпидемиологических исследованиях рассматриваются метаболические нарушения при стрессе, локализация очага инфаркта, постинфарктные осложнения, ДАКН и другие.
Cтресс при ОИМ сопровождается активацией симпатического отдела вегетативной нервной системы, что приводит к повышению гликемии и свободных жирных кислот (СЖК) в крови. Выброс катехоламинов снижает чувствительность к инсулину и затрудняет использование глюкозы инсулинозависимыми тканями. Большое количество СЖК подвергается свободнорадикальному окислению, продукты которого повреждают эндотелий коронарных артерий и миокард [321]. Этим, в частности, объясняется быстрое развитие интраоперационного миокардиального ацидоза, что осложняет выполнение хирургических вмешательств [33].
В качестве характеристики уровня стресса предложено использовать уровень гликемии, измеряемый в течение часа после госпитализации. Мета-анализ результатов 15 исследований [34] показал, что при НУО стрессовая гликемия 6,1–8,0 ммоль/л сопровождается 3–9-кратным увеличением смертности в первые 30 дней по сравнению с имеющими менее 6,0 ммоль/л. Напротив, у пациентов с СД2 повышение уровня глюкозы до 10,0–11,0 ммоль/л сопровождалось небольшим увеличением смертности (от 1,2 до 2,4 раза). Таким образом, у больных СД2 стрессовая гипергликемия на момент поступления не может считаться предиктором летального риска. Однако ранее отмечена достоверная зависимость смертности при ОИМ у больных СД2 от уровня глюкозы в момент госпитализации, причем такая связь у пациентов с НУО также была достоверной, но коэффициент корреляции был меньше [35].
В исследовании ICONS (ImprovingCardiovascularOutcomesinNovaScotia) [36] высокий уровень стрессовой гликемии у больных с НУО сопровождался большей смертностью в 30-дневном периоде, чем у пациентов с СД2. В этом исследовании оценивали влияние гликемии в момент госпитализации на смертность в четырех группах пациентов. 1-я и 2-я группы состояли из лиц без СД2, у которых уровень глюкозы был менее 11,0 ммоль/л (1-я группа) и более 11,0 ммоль/л (2-я группа). Третья и 4-я группы включали больных СД2, у которых гликемия была меньше 11,0 ммоль/л (3-я группа) и более 11,0 ммоль/л (4-я группа). В сравнении с 1-й группой отношения летальных рисков составили: для 2-й группы – 2,44, для 3-й – 1,87, для 4-й – 1,91. Различий в частоте ЧКВ между группами выявлено не было. В этом исследовании пациенты с СД2 чаще получали антигипергликемические средства, бета-адреноблокаторы, ингибиторы АПФ, нитраты, блокаторы медленных кальциевых каналов, по сравнению с имевшими НУО.
Изучалась зависимость смертности в первые 30 дней ОИМ от гликемии, определяемой натощак, на следующее утро после госпитализации [37]. Она коррелировала с уровнем глюкозы в момент поступления. Уровню гликемии натощак на следующий день после госпитализации 5,5–6,7 ммоль/л соответствовало 4,6-кратное увеличение летального риска; 6,8–7,7 ммоль/л – 6,4-кратное, а более 7,7 ммоль/л – 11,5-кратное. Для гликемии на момент госпитализации соответствующие ОР составили: гликемия 5,5–6,7 ммоль/л – 1,4; 6,8–7,7 ммоль/л – 3,0; более 7,7 ммоль/л – 4,4. Таким образом, уровень глюкозы в крови натощак, определяемый на следующий день после госпитализации, являлся более точным предиктором летального риска, чем глюкоза крови на момент поступления в стационар.
Обсуждается возможность использования уровня гликозилированного гемоглобина (HbA1с) для прогнозирования исходов ОИМ у пациентов с СД2, поскольку на него в минимальной степени влияет стрессовая гипергликемия. Проанализировано влияние уровня HbA1с на смертность от ОИМ в стационаре [38]. Выделены три группы по величине HbA1с: менее 5,5%; от 5,5 до 6,4% и более 6,5%. Установлено, что в 1-й и 2-й группах госпитальная смертность составила 4,0 и 5,0%, а в 3-й — 14,0%. Следовательно, высокие уровни HbA1с связаны с более высокой летальностью от ОИМ в госпитальном периоде. Выполненный позже обзор публикаций [39] соотносил уровень HbA1с при поступлении с исходом ОИМ с подъемом сегмента ST. Показано, что HbA1с не может быть использован в качестве надежного предиктора смертности в краткосрочной и длительной перспективе. Он применим только для диагностики не выявленных ранее нарушений УО.
Нарушение толерантности к глюкозе (НТГ) и СД2 часто выявляются впервые при госпитализации с ОИМ [31, 40]. Наличие инсулинорезистентности (ИР), выявленной на 2–7-й день госпитализации по поводу ОИМ, является предиктором повышенного риска ССО и летального исхода [41]. В исследовании EuroHeartSurvey [42], охватившем 110 центров в 25 странах, у больных ИБС часто выявлялись НУО. В этом исследовании 2107 пациентов были направлены к кардиологу при наличии неотложных показаний, а 2845 — в связи с необходимостью консультации. Для оценки состояния УО проводился нагрузочный тест на определение толерантности к глюкозе. На момент первичного приема врача-кардиолога у 31% пациентов был СД2. Из числа 1920 пациентов, которым проводилось определение толерантности к глюкозе, у 923 были выявлены острые проявления ИБС, у 997 – хронические проявления. Из 923 пациентов с острыми проявлениями ИБС у 36% было впервые выявлено НТГ и у 22% – впервые выявленный СД2. Среди пациентов с хроническими проявлениями ИБС эти значения составили соответственно 37% и 14%.
У больных СД2 часто бывает искажено ощущение сердечной боли (кардиалгии) при ОИМ, которое объясняется наличием ДАКН. В исследовании Witte et al. [43] средний интервал между постановкой диагноза СД2 и выявлением ДАКН составил 7,3 года. Из-за снижения болевой чувствительности у пациентов с СД2 в 13,7% случаев промежуток времени между возникновением симптомов ОИМ и госпитализацией превышал 24 ч (у лиц без СД2 – 7,5%) [44]. В другом исследовании [24] у 51,8% мужчин и 44,9% женщин с СД2 интервал между появлением симптомов ОИМ и госпитализацией был менее 4 ч (без СД2 у мужчин и женщин – 55,3% и 59,3% соответственно). В исследовании TRACE (TrandolaprilCardiacEvaluation)[45] острую боль за грудиной при госпитализации отмечали 59–63% пациентов с ранее выявленным СД2, однако достоверных различий между проявлением симптомов и госпитализацией пациентов с СД2 и НУО не было.
Barton et al. [46] предполагает, что летальный риск при ССЗ у больных СД2 связан с большей частотой депрессивных расстройств, изменяющих тонус вегетативной нервной системы. По данным Katon et al. [47], частота депрессивных расстройств у пациентов с СД2 примерно в 2 раза выше, чем с НУО. Среди обследованных 4225 пациентов (3010 не имели диагноза ССЗ, у 1215 выявлено ССЗ) депрессивное расстройство встречалось в 14,2% у пациентов с СД2 и у 10,6% с НУО. Больные с депрессией на фоне СД2 в полтора-два раза чаще имели по три и более факторов риска ССЗ. Пациенты, которым был поставлен диагноз депрессии на фоне СД2 при наличии ССЗ, чаще имели ИМТ более 30 кг/м2, вели малоподвижный образ жизни. У пациентов с СД2 с депрессией, но без выявленных ССЗ, чаще встречался HbA1c выше 8,0%, отмечалась гиподинамия, ИМТ был выше 30 кг/м2 по сравнению с пациентами без депрессии.
Прогрессирование атеросклероза коронарных артерий при СД2 приводит к изменению гемодинамики в сердечной мышце, появлению зон с пониженной оксигенацией. В исследованиях [16] и [48] увеличение смертности от ССЗ при СД2 объясняется частой передней локализацией очага ОИМ, которая связана с большим летальным риском, чем нижняя [49, 50]. Однако в исследовании FINMONICA [18] передняя локализация очага у больных СД2 возникала не чаще, чем у пациентов с НУО.
Kelly et al. [51] в ходе анализа Шведского национального регистра диабета установили, что среди пациентов, перенесших первое в жизни серьезное осложнение СД2 (ОИМ, ОНМК, ОСН, гангрену конечности или острую почечную недостаточность (ОПН)), риски наступления смерти в динамике менялись следующим образом: в первый месяц была наиболее вероятна смерть от ОИМ, а затем возрастал риск смерти в результате ОСН, ОПН и гангрены. Летальность была тем выше, чем была больше длительность заболевания СД2, курения и микроальбуминурии, причем увеличению риска способствовали низкий ИМТ, низкое систолическое артериальное давление (сАД). Кроме того, летальный риск был выше среди мужчин, чем среди женщин.
В исследовании [44] было установлено, что у больных СД2 в первые два года после ОИМ чаще возникали следующие осложнения: хроническая сердечная недостаточность (ХСН), прогрессирование стенокардии, ОНМК, повторные ИМ осложнялись жизнеугрожающими аритмиями, кардиогенным шоком, ОСН. В исследовании GUSTO-I [16] при СД2 чаще наблюдались ОНМК, повторные ИМ, приступы стенокардии, эпизоды гипотензии, атриовентрикулярные (А-V) блокады и асистолия. Также у больных СД2 чаще выявлялись показания к выполнению ЧКВ и АКШ. Из метаанализа [52] следует, что у больных СД2 на ЭКГ чаще наблюдается удлинение интервала QT, что повышает вероятность возникновения фатальной аритмии и внезапной сердечной смерти (ВСС). Также у больных СД2 чаще выявляются А-V-блокады и блокады ветвей пучка Гиса. Данные эффекты проявлялись в 7 из 9 исследований [52]. Важным предвестником ВСС может быть снижение вариабельности ЧСС, которое является следствием ДАКН и встречается преимущественно у пациентов, которым СД2 был поставлен более 5 лет назад [53]. В исследовании MiSAD (Milan Study on Atherosclerosis and Diabetes)[54] были определены предикторы наступления ВСС и ОИМ у пациентов с СД2: наличие ССЗ у родственников (ОР 2,99), ретинопатия (2,07) и критическое снижение перфузии миокарда при стресс-тестировании по данным сцинтиграфии миокарда (4,57). В то же время у пациентов с дилятационной кардиомиопатией наличие СД2 не влияло на частоту ВСС [55].
В исследовании ARIC (AtherosclerosisRiskinCommunities), 1987–2001 гг., на выборке из 13 978 пациентов от 45 до 64 лет оценивали частоту нефатального ОИМ, внезапной и «не внезапной» (то есть связанной с предшествующими ССЗ) сердечной смерти у пациентов с СД2 и НУО [56]. Соответствующие этим двум группам ОР составили для внезапной сердечной смерти (ВСС) 3,77; для «не внезапной» сердечной смерти – 3,78 и для нефатального ОИМ – 3,20. Содержание липидов в сыворотке крови, состояние гемостаза, уровень АД и функции почек не влияли на эти показатели. Частоты событий у больных СД2 и НУО в расчете на 10 тыс. населения составили соответственно: 34,3 и 8,8 для ВСС; 19,7 и 5,1 для «не внезапной» сердечной смерти; 106,3 и 34,9 для нефатального ОИМ. Высокую частоту ВСС у больных СД2 авторы связывают с ДАКН, увеличивающей аритмогенный потенциал с фатальными последствиями. По данным Siscovick et al. [57], СД2 связан с двукратным увеличением риска ВСС, которому способствуют макроангиопатии, включая ИБС, микроангиопатии, ДАКН. Повышенный риск ВСС и нефатального ОИМ выявляется у больных СД2, даже если при однократном исследовании (стресс-Эхо-кардиография, сцинтиграфия миокарда, однофотонная эмиссионная томография) не выявляют признаков ишемии. В метаанализе [58] приведены результаты 11 исследований, в которых на различных выборках изучалась частота возникновения ОИМ и ВСС у пациентов с СД2. Оказалось, что даже если при однократном стресс-тестировании не выявлялись признаки ишемии миокарда, от 0,7 до 6% пациентов в течение года погибали или переживали нефатальный ОИМ. Объяснить это можно тем, что пациенты с СД2 и ИБС погибают при спонтанном разрыве нестабильных атеросклеротических бляшек, которые на момент исследования не создавали гемодинамически значимых стенозов в просвете коронарных артерий.
Авторы проведенного в Сингапуре с 2008 по 2009 гг. исследования [59] показали, что у больных СД2, перенесших ОИМ, снижение ФВЛЖ менее 50% в 1,46 раза повышает летальность. Летальность возрастает и у пациентов с НУО, у которых после ОИМ более чем на 2/3 снижается ФВЛЖ. Другими факторами оказались пожилой возраст, наличие перенесенных раньше ОИМ и ОНМК, АД более 140 мм рт. ст., креатинин более 250 ммоль/л, гемоглобин ниже 9 г/дл.
У пациентов с НУО пик ОИМ приходится на ночь и утренние часы [16]. Распределение частот ОИМ в течение дня у больных с диагнозом СД2 изменяется [60]. Изучено циркадианное распределение частоты возникновения ОИМ у 3882 пациентов при наличии СД2 и на фоне НУО. При длительности заболевания СД2 до 5 лет отмечались ночной и утренний пики ОИМ. Однако у пациентов, у которых СД2 был выявлен более 5 лет назад, выраженность этих пиков была сглажена [30].
СД2 сопровождается рядом корректируемых факторов риска ССЗ, модификация которых требует изменения образа жизни (в т.ч. повышения физической активности, отказа от курения) и фармакологического воздействия на патогенетические звенья как СД2, так и ССЗ: гипергликемию, артериальную гипертензию, дислипидемию, ожирение [61]. Эта задача решается на основе комплексного многофакторного индивидуализированного подхода [62]. Доказательством его эффективности служат результаты исследования ADDITION (TheAnglo-Danish-DutchStudyofIntensiveTreatmentInPeoplewithScreenDetectedDiabetesinPrimaryCare), 2008–2012 гг., где показана возможность предотвращения ССЗ у больных СД2 на основе программы скрининга [63]. Известны данные исследования DCGP (DiabetesCareinGeneralPractice), в котором 19 лет осуществлялось наблюдение за пациентами старше 40 лет, имевшими к началу исследования диагноз СД2 [64]. Даже через 19 лет после начала исследования частота ОИМ у получавших комплексную антигипергликемическую терапию оставалась меньше по сравнению с контрольной группой. В исследовании Faglia et al. [65] показана возможность снижения почти на две трети числа ССО у больных СД2 на основе ранней диагностики и скрининга, включающего в качестве компонента контроль уровня гликемии.
Заключение
Применение современных фармакологических препаратов и инструментальных методов лечения ССЗ увеличивает продолжительность и значительно улучшает качество жизни пациентов при ОИМ как с НУО, так и с СД2. Однако соотношение риска ССС у больных СД2, по сравнению с имеющими НУО, остается на прежнем уровне. Увеличение популяции больных СД2, а также удлинение их жизни ставит вопрос об улучшении прогноза лечения ССЗ. Проведенные исследования выявили, что среди пациентов, госпитализированных с ОИМ, более 30% имеют нарушения УО (СД2 и НТГ). Высокая стрессовая гипергликемия при ОИМ на момент госпитализации у пациентов с СД2 не может рассматриваться в качестве надежного предиктора летального риска, в отличие от пациентов с НУО, у которых, по данным ряда исследований, прослеживается четкая тенденция роста смертности по мере увеличения уровня глюкозы крови. Уровень гликемии, определяемый в последующие дни после госпитализации, позволяет более точно прогнозировать летальный риск, чем уровень глюкозы крови в момент поступления в стационар. Соотношение уровня HbA1с при поступлении с исходом ОИМ с подъемом сегмента ST показало, что HbA1с не может быть использован в качестве надежного предиктора смертности в краткосрочной и длительной перспективе. Он может быть применен только для диагностики не выявленных ранее НУО. Гиперинсулинемия и ИР являются мощными атерогенными факторами, ведущими к увеличению пролиферации клеток эндотелия, поэтому при лечении больных СД2 с ИБС необходимо ориентироваться на применение препаратов, влияющих на ИР. Для улучшения результатов лечения, направленного на снижение риска ОИМ и его осложнений у больных СД2, необходимо не только достижение традиционной первичной цели, а именно контроля гликемии, но и проведение комплексной профилактики ССЗ, включающей социальные, медикаментозные и инструментальные методы.
Информация о финансировании и конфликте интересов
Обзорно-аналитическая работа выполнена авторами на собственные средства.
Авторы декларируют отсутствие двойственности (конфликта) интересов, связанных с публикацией настоящей статьи.
Участие авторов: авторы внесли равный вклад в написание статьи.
Список литературы
1. Authors/Task Force M, Ryden L, Grant PJ, et al. ESC Guidelines on diabetes, pre-diabetes, and cardiovascular diseases developed in collaboration with the EASD: the Task Force on diabetes, pre-diabetes, and cardiovascular diseases of the European Society of Cardiology (ESC) and developed in collaboration with the European Association for the Study of Diabetes (EASD). Eur Heart J. 2013;34(39):3035-3087. doi: 10.1093/eurheartj/eht108
2. Сегодня отмечается всемирный день борьбы против диабета [Электронный ресурс]: сервер Министерства здравоохранения Российской Федерации. – М., 2014. – Режим доступа: http://www.rosminzdrav.ru/news/2014/11/14/2111-segodnya-otmechaetsya-vsemirnyy-den-borby-protiv-diabeta. Дата обращения: 04.05.2015. [Today is World Diabetes Day [electronic resource]: the server of the Ministry of Health of the Russian Federation. Moscow; 2014. URL: http://www.rosminzdrav.ru/news/2014/11/14/2111-segodnya-otmechaetsya-vsemirnyy-den-borby-protiv-diabeta. Access date: 04.05.2015. (in Russ)]
3. Руяткина Л.А., Руяткин Д.С., Овсянникова А.К. Проблемы сахароснижающей терапии у пациентов с сахарным диабетом при остром коронарном синдроме. // Медицинский совет. – 2016. – №4 – С. 100-109. [Ruyatkina LA, Ruyatkina DS, Ovsyannikova AK. Problems of glucose-lowering therapy in patients with diabetes mellitus and acute coronary syndrome. Medical council. 2016;(4):100-109. (in Russ)].
4. Курочкина О.Н., Спасский А.А., Хохлов А.Л. Течение инфаркта миокарда с позиций гендерных различий: результаты ретроспективного исследования. // Проблемы женского здоровья. – 2012. – Т. 7. – №3 – С. 18-23. [Kurochkina ON, Spassky AA, Khokhlov AL Myocardial infarction within a position of gender differences: the results of a retrospective study. Problems of women’s health. 2012;7(3):18-23(in Russ)].
5. King P, Peacock I, Donnelly R. The UK Prospective Diabetes Study (UKPDS): clinical and therapeutic implications for type 2 diabetes. BJCP. 2001;48(5):643-648. doi: 10.1046/j.1365-2125.1999.00092.x
6. IDF diabetes atlas. Brussels: International Diabetes Federation; 2014.
7. Clarke P, Gray A, Legood R, et al. The impact of diabetes-related complications on healthcare costs: results from the United Kingdom Prospective Diabetes Study (UKPDS Study No. 65). Diabetic Medicine. 2003;20(6):442-450. doi: 10.1046/j.1464-5491.2003.00972.x
8. Дедов И.И., Шестакова М.В., Александров А.А., и др. Алгоритмы специализированной медицинской помощи больным сахарным диабетом. Под редакцией И.И. Дедова, М.В. Шестаковой (6-й выпуск) // Сахарный диабет. – 2013. – Т. 16. – №1S – C. 1-120. [Dedov II, Shestakova MV, Aleksandrov AA, Galstyan GR, Grigoryan OR, Esayan RM, et al. Standards of specialized diabetes care. Edited by Dedov II, Shestakova MV (6th edition). Diabetes mellitus. 2013;16(1S):1-120. (in Russ)]. doi: 10.14341/DM20131S1-121
9. de Vreede JJM, Gorgels APM, Verstraaten GMP, et al. Did prognosis after acute myocardial infarction change during the past 30 years? A meta-analysis. J Am Coll Cardiol. 1991;18(3):698-706. doi: 10.1016/0735-1097(91)90792-8
10. Gregg EW, Li Y, Wang J, et al. Changes in diabetes-related complications in the United States, 1990-2010. N Engl J Med. 2014;370(16):1514-1523. doi: 10.1056/NEJMoa1310799
11. Tisminetzky M, Joffe S, McManus DD, et al. Decade-long trends in the characteristics, management and hospital outcomes of diabetic patients with ST-segment elevation myocardial infarction. Diab Vasc Dis Res. 2014;11(3):182-189. doi: 10.1177/1479164114524235
12. Lopez-de-Andres A, Jimenez-Garcia R, Hernandez-Barrera V, et al. National trends over one decade in hospitalization for acute myocardial infarction among Spanish adults with type 2 diabetes: cumulative incidence, outcomes and use of percutaneous coronary intervention. PLoS One. 2014;9(1):e85697. doi: 10.1371/journal.pone.0085697
13. Chung S-C, Gedeborg R, Nicholas O, et al. Acute myocardial infarction: a comparison of short-term survival in national outcome registries in Sweden and the UK. The Lancet. 2014;383(9925):1305-1312. doi: 10.1016/s0140-6736(13)62070-x
14. Kannel WB, McGee DL. Diabetes and Glucose Tolerance as Risk Factors for Cardiovascular Disease: The Framingham Study. Diabetes Care. 1979;2(2):120-126. doi: 10.2337/diacare.2.2.120
15. Haffner SM, Lehto S, Ronnemaa T, et al. Mortality from coronary heart disease in subjects with type 2 diabetes and in nondiabetic subjects with and without prior myocardial infarction. N Engl J Med. 1998;339(4):229-234. doi: 10.1056/NEJM199807233390404
16. Mak K-H, Moliterno DJ, Granger CB, et al. Influence of Diabetes Mellitus on Clinical Outcome in the Thrombolytic Era of Acute Myocardial Infarction fn1fn1The GUSTO-I study was supported by a combined grant from Bayer, New York, New York; CIBA-Corning, Medfield, Massachusetts; Genetech, South San Francisco, California; ICI Pharmaceuticals, Wilmington, Delaware; and Sanofi Pharmaceuticals, Paris, France. J Am Coll Cardiol. 1997;30(1):171-179. doi: 10.1016/s0735-1097(97)00118-6
17. Chun BY, Dobson AJ, Heller RF. The Impact of Diabetes on Survival Among Patients With First Myocardial Infarction. Diabetes Care. 1997;20(5):704-708. doi: 10.2337/diacare.20.5.704
18. Malmberg K, Yusuf S, Gerstein HC, et al. Impact of Diabetes on Long-Term Prognosis in Patients With Unstable Angina and Non-Q-Wave Myocardial Infarction: Results of the OASIS (Organization to Assess Strategies for Ischemic Syndromes) Registry. Circulation. 2000;102(9):1014-1019. doi: 10.1161/01.cir.102.9.1014
19. Lehto S, Pyörälä K, Miettinen H, et al. Myocardial infarct size and mortality in patients with non-insulin-dependent diabetes mellitus. J Intern Med. 1994;236(3):291-297. doi: 10.1111/j.1365-2796.1994.tb00799.x
20. Rosengren A, Spetz CL, Koster M, et al. Sex differences in survival after myocardial infarction in Sweden; data from the Swedish National Acute Myocardial Infarction Register. Eur Heart J. 2001;22(4):314-322. doi: 10.1053/euhj.2000.2368
21. Melchior T, Gadsbøll N, Hildebrandt P, et al. Clinical Characteristics, Left and Right Ventricular Ejection Fraction, and Long-term Prognosis in Patients with Non-insulin-dependent Diabetes Surviving an Acute Myocardial Infarction. Diabet Med. 1996;13(5):450-456. doi: 10.1002/(SICI)1096-9136(199605)13:5<450::AID-DIA100>3.0.CO;2-6
22. Melchior T. Accelerating impact of diabetes mellitus on mortality in the years following an acute myocardial infarction. Eur Heart J. 1999;20(13):973-978. doi: 10.1053/euhj.1999.1530
23. Fava S, Azzopardi J, Agius-Muscat H. Outcome of Unstable Angina in Patients with Diabetes Mellitus. Diabet Med. 1997;14(3):209-213. doi: 10.1002/(SICI)1096-9136(199703)14:3<209::AID-DIA324>3.0.CO;2-B
24. Löwel H, Koenig W, Engel S, et al. The impact of diabetes mellitus on survival after myocardial infarction: can it be modified by drug treatment? Diabetologia. 2000;43(2):218-226. doi: 10.1007/s001250050032
25. Chyun D, Vaccarino V, Murillo J, et al. Cardiac Outcomes After Myocardial Infarction in Elderly Patients With Diabetes Mellitus. Am J Crit Care. 2002;11(6):504-519.
26. Savonitto S, Morici N, Cavallini C, et al. One-year mortality in elderly adults with non-ST-elevation acute coronary syndrome: effect of diabetic status and admission hyperglycemia. J Am Geriatr Soc. 2014;62(7):1297-1303. doi: 10.1111/jgs.12900
27. Butler MJ, Farrington C, Shaw JA, et al. The Impact of Diabetes Mellitus on Early and Late Mortality and Major Adverse Cardiac Events after Percutaneous Coronary Intervention with Drug-Eluting Stents. Heart, Lung and Circulation. 2007;16:S137. doi: 10.1016/j.hlc.2007.06.345
28. Falcão FJ, Alves CM, Barbosa AH, et al. Predictors of in-hospital mortality in patients with ST-segment elevation myocardial infarction undergoing pharmacoinvasive treatment. Clinics. 2013;68(12):1516-1520. doi: 10.6061/clinics/2013(12)07
29. Chen PC, Chua SK, Hung HF, et al. Admission hyperglycemia predicts poorer short- and long-term outcomes after primary percutaneous coronary intervention for ST-elevation myocardial infarction. J Diabetes Investig. 2014;5(1):80-86. doi: 10.1111/jdi.12113
30. Rana JS, Mukamal KJ, Morgan JP, et al. Circadian Variation in the Onset of Myocardial Infarction: Effect of Duration of Diabetes. Diabetes. 2003;52(6):1464-1468. doi: 10.2337/diabetes.52.6.1464
31. Howangyin KY, Silvestre JS. Diabetes mellitus and ischemic diseases: molecular mechanisms of vascular repair dysfunction. Arterioscler Thromb Vasc Biol. 2014;34(6):1126-1135. doi: 10.1161/ATVBAHA.114.303090
32. Malmberg K, Ryden L, Wedel H, et al. Intense metabolic control by means of insulin in patients with diabetes mellitus and acute myocardial infarction (DIGAMI 2): effects on mortality and morbidity. Eur Heart J. 2005;26(7):650-661. doi: 10.1093/eurheartj/ehi199
33. Kumbhani DJ, Healey NA, Thatte HS, et al. Patients with diabetes mellitus undergoing cardiac surgery are at greater risk for developing intraoperative myocardial acidosis. J Thorac Cardiovasc Surg. 2007;133(6):1566-1572. doi: 10.1016/j.jtcvs.2006.11.047
34. Capes SE, Hunt D, Malmberg K, Gerstein HC. Stress hyperglycaemia and increased risk of death after myocardial infarction in patients with and without diabetes: a systematic overview. The Lancet. 2000;355(9206):773-778. doi: 10.1016/s0140-6736(99)08415-9
35. Fava S, Aquilina O, Azzopardi J, et al. The Prognostic Value of Blood Glucose in Diabetic Patients with Acute Myocardial Infarction. Diabet Med. 1996;13(1):80-83. doi: 10.1002/(SICI)1096-9136(199601)13:1<80::AID-DIA10>3.0.CO;2-W
36. Wahab NN, Cowden EA, Pearce NJ, et al. Is blood glucose an independent predictor of mortality in acute myocardial infarction in the thrombolytic era? J Am Coll Cardiol. 2002;40(10):1748-1754. doi: 10.1016/s0735-1097(02)02483-x
37. Suleiman M, Hammerman H, Boulos M, et al. Fasting glucose is an important independent risk factor for 30-day mortality in patients with acute myocardial infarction: a prospective study. Circulation. 2005;111(6):754-760. doi: 10.1161/01. CIR.0000155235.48601.2A
38. Blasco ML, Sanjuan R, Palacios L, et al. Prognostic value of admission glycated haemoglobin in unknown diabetic patients with acute myocardial infarction. Eur Heart J Acute Cardiovasc Care. 2014;3(4):347-353. doi: 10.1177/2048872614530574
39. Lazzeri C, Valente S, Chiostri M, et al. Clinical significance of glycated hemoglobin in the acute phase of ST elevation myocardial infarction. World J Cardiol. 2014;6(4):140-147. doi: 10.4330/wjc.v6.i4.140
40. Hoebers LP, Damman P, Claessen BE, et al. Predictive value of plasma glucose level on admission for short and long term mortality in patients with ST-elevation myocardial infarction treated with primary percutaneous coronary intervention. Am J Cardiol. 2012;109(1):53-59. doi: 10.1016/j.amjcard.2011.07.067
41. Trifunovic D, Stankovic S, Sobic-Saranovic D, et al. Acute insulin resistance in ST-segment elevation myocardial infarction in non-diabetic patients is associated with incomplete myocardial reperfusion and impaired coronary microcirculatory function. Cardiovasc Diabetol. 2014;13:73. doi: 10.1186/1475-2840-13-73
42. Bartnik M, Ryden L, Ferrari R, et al. The prevalence of abnormal glucose regulation in patients with coronary artery disease across Europe. The Euro Heart Survey on diabetes and the heart. Eur Heart J. 2004;25(21):1880-1890. doi: 10.1016/j.ehj.2004.07.027
43. Witte DR, Tesfaye S, Chaturvedi N, et al. Risk factors for cardiac autonomic neuropathy in type 1 diabetes mellitus. Diabetologia. 2005;48(1):164-171. doi: 10.1007/s00125-004-1617-y
44. Donnan PT, Boyle DIR, Broomhall J, et al. Prognosis following first acute myocardial infarction in Type 2 diabetes: a comparative population study. Diabet Med. 2002;19(6):448-455. doi: 10.1046/j.1464-5491.2002.00711.x
45. Gustafsson I, Hildebrandt P, Seibaek M, et al. Long-term prognosis of diabetic patients with myocardial infarction: relation to antidiabetic treatment regimen. The TRACE Study Group. Eur Heart J. 2000;21(23):1937-1943. doi: 10.1053/euhj.2000.2244
46. Barton DA, Dawood T, Lambert EA, et al. Sympathetic activity in major depressive disorder: identifying those at increased cardiac risk? J Hypertens. 2007;25(10):2117-2124. doi: 10.1097/HJH.0b013e32829baae7
47. Katon WJ, Lin EH, Russo J, et al. Cardiac risk factors in patients with diabetes mellitus and major depression. J Gen Intern Med. 2004;19(12):1192-1199. doi: 10.1111/j.1525-1497.2004.30405.x
48. Weitzman S, Wagner GS, Heiss G, et al. Myocardial Infarction Site and Mortality in Diabetes. Diabetes Care. 1982;5(1):31-35. doi: 10.2337/diacare.5.1.31
49. Stone PH, Raabe DS, Jaffe AS, et al. Prognostic significance of location and type of myocardial infarction: Independent adverse outcome associated with anterior location. J Am Coll Cardiol. 1988;11(3):453-463. doi: 10.1016/0735-1097(88)91517-3
50. Geltman EM, Ehsani AA, Campbell MK, et al. The influence of location and extent of myocardial infarction on long- term ventricular dysrhythmia and mortality. Circulation. 1979;60(4):805-814. doi: 10.1161/01.cir.60.4.805
51. Kelly PJ, Clarke PM, Hayes AJ, et al. Predicting mortality in people with type 2 diabetes mellitus after major complications: a study using Swedish National Diabetes Register data. Diabet Med. 2014;31(8):954-962. doi: 10.1111/dme.12468
52. Movahed MR. Diabetes as a risk factor for cardiac conduction defects: a review. Diabetes Obes Metab. 2007;9(3):276-281. doi: 10.1111/j.1463-1326.2006.00609.x
53. Kataoka M, Ito C, Sasaki H, et al. Low heart rate variability is a risk factor for sudden cardiac death in type 2 diabetes. Diabetes Res Clin Pract. 2004;64(1):51-58. doi: 10.1016/j.diabres.2003.10.009
54. Faglia E, Favales F, Calia P, et al. Cardiac Events in 735 Type 2 Diabetic Patients Who Underwent Screening for Unknown Asymptomatic Coronary Heart Disease: 5-year follow-up report from the Milan Study on Atherosclerosis and Diabetes (MiSAD). Diabetes Care. 2002;25(11):2032-2036. doi: 10.2337/diacare.25.11.2032
55. Vrtovec B, Fister M, Poglajen G, et al. Diabetes does not affect ventricular repolarization and sudden cardiac death risk in patients with dilated cardiomyopathy. Pacing Clin Electrophysiol. 2009;32 Suppl 1:S146-150. doi: 10.1111/j.1540-8159.2008.02272.x
56. Kucharska-Newton AM, Couper DJ, Pankow JS, et al. Diabetes and the risk of sudden cardiac death, the Atherosclerosis Risk in Communities study. Acta Diabetol. 2010;47 Suppl 1:161-168. doi: 10.1007/s00592-009-0157-9
57. Siscovick DS, Sotoodehnia N, Rea TD, et al. Type 2 diabetes mellitus and the risk of sudden cardiac arrest in the community. Rev Endocr Metab Disord. 2010;11(1):53-59. doi: 10.1007/s11154-010-9133-5
58. Kamalesh M, Feigenbaum H, Sawada S. Challenge of identifying patients with diabetes mellitus who are at low risk for coronary events by use of cardiac stress imaging. Am Heart J. 2004;147(4):561-563. doi: 10.1016/j.ahj.2003.12.012
59. Go YY, Allen JC, Chia SY, et al. Predictors of mortality in acute heart failure: interaction between diabetes and impaired left ventricular ejection fraction. Eur J Heart Fail. 2014;16(11):1183-1189. doi: 10.1002/ejhf.119
60. Hjalmarson A, Gilpin EA, Nicod P, et al. Differing circadian patterns of symptom onset in subgroups of patients with acute myocardial infarction. Circulation. 1989;80(2):267-275. doi: 10.1161/01.cir.80.2.267
61. Кошельская О.А., Журавлева О.А., Карпов Р.С. Выбор комбинированной антигипертензивной терапии у пациентов с сахарным диабетом 2-го типа // Медицинский совет. – 2015. – №12 – С. 6-11. [Koshelskaya OA, Zhuravleva OA, Karpov RS. Selection of combinated antihypertensive therapy in patients with Type 2 diabetes mellitus. Medical council. 2015;(12):6-11. (In Russ)].
62. Lorber D. Importance of cardiovascular disease risk management in patients with type 2 diabetes mellitus. Diabetes Metab Syndr Obes. 2014;7:169-183. doi: 10.2147/DMSO.S61438
63. Simmons RK, Sharp SJ, Sandbaek A, et al. Does early intensive multifactorial treatment reduce total cardiovascular burden in individuals with screen-detected diabetes? Findings from the ADDITION-Europe cluster-randomized trial. Diabet Med. 2012;29(11):e409-416. doi: 10.1111/j.1464-5491.2012.03759.x
64. Hansen LJ, Siersma V, Beck-Nielsen H, de Fine Olivarius N. Structured personal care of type 2 diabetes: a 19 year follow-up of the study Diabetes Care in General Practice (DCGP). Diabetologia. 2013;56(6):1243-1253. doi: 10.1007/s00125-013-2893-1
65. Faglia E, Manuela M, Antonella Q, et al. Risk reduction of cardiac events by screening of unknown asymptomatic coronary artery disease in subjects with type 2 diabetes mellitus at high cardiovascular risk: an open-label randomized pilot study. Am Heart J. 2005;149(2):e1-6. doi: 10.1016/j.ahj.2004.07.027
Об авторах
Сергей Валентинович КакоринРоссия
Кандидат медицинских наук, заведующий отделением неотложной кардиологии
Конфликт интересов: Автор декларирует отсутствие конфликта интересов.
Рубен Александрович Искандарян
Россия
кандидат биологических наук
Конфликт интересов: Автор декларирует отсутствие конфликта интересов
Ашот Мусаелович Мкртумян
Россия
Доктор медицинских наук, профессор, заслуженный врач РФ, заведующий кафедрой эндокринологии и диабетологии
Конфликт интересов: Автор декларирует отсутствие конфликта интересов
Дополнительные файлы
|
|
1. Рисунок 1. Смертность пациентов в течение 30 суток после острого инфаркта миокарда, по данным экспериментов, завершенных по 1997 год включительно | |
| Тема | ||
| Тип | Результаты исследования | |
Посмотреть
(108KB)
|
Метаданные ▾ | |
|
|
2. Рисунок 2. Смертность пациентов по истечению 30 суток после острого инфаркта миокарда, по данным экспериментов, завершенных по 1997 год включительно | |
| Тема | ||
| Тип | Результаты исследования | |
Посмотреть
(128KB)
|
Метаданные ▾ | |
|
|
3. Рисунок 3. Смертность пациентов в течение 30 суток после острого инфаркта миокарда, по данным экспериментов, завершенных после 1998 года. | |
| Тема | ||
| Тип | Результаты исследования | |
Посмотреть
(60KB)
|
Метаданные ▾ | |
|
|
4. Рисунок 4. Смертность пациентов по истечению 30 суток после острого инфаркта миокарда, по данным экспериментов, завершенных после 1998 года. | |
| Тема | ||
| Тип | Результаты исследования | |
Посмотреть
(59KB)
|
Метаданные ▾ | |
Рецензия
Для цитирования:
Какорин С.В., Искандарян Р.А., Мкртумян А.М. Перспективы снижения смертности больных сахарным диабетом 2 типа от острого инфаркта миокарда по данным многоцентровых рандомизированных исследований. Сахарный диабет. 2016;19(2):141-149. https://doi.org/10.14341/DM200412-6
For citation:
Kakorin S.V., Iskandaryan R.A., Mkrtumyan A.M. Perspectives on reducing mortality attributed to acute myocardial infarction among patients with type 2 diabetes mellitus in multicenter randomized trials. Diabetes mellitus. 2016;19(2):141-149. (In Russ.) https://doi.org/10.14341/DM200412-6
Контент доступен под лицензией Creative Commons Attribution-NonCommercial-NoDerivatives 4.0 International License (CC BY-NC-ND 4.0).








































