Перейти к:
Эффективность дапаглифлозина в отношении улучшения клинических исходов у пациентов с сахарным диабетом 2 типа (продолжение исследования CARDIA-MOS, Москва)
https://doi.org/10.14341/DM13262
Аннотация
ОБОСНОВАНИЕ. Дапаглифлозин — гипогликемизирующий препарат класса ингибиторов натрий-глюкозного котранспортера 2 типа (иНГЛТ-2), обладающих также кардио- и нефропротективными свойствами. Его эффективность в отношении улучшения сердечно-сосудистых и почечных исходов у пациентов с сахарным диабетом 2 типа (СД2) хорошо изучена в международных рандомизированных клинических исследованиях, при этом отсутствуют данные об эффективности применения препарата в реальной клинической практике у российских пациентов. Наблюдательное исследование CARDIA-MOS было проведено для изучения этого вопроса с использованием данных московского сегмента базы данных клинико-эпидемиологического мониторинга СД на территории Российской Федерации и электронных амбулаторных карт единой медицинской информационно-аналитической системы (ЕМИАС). В дополнение к ранее опубликованным результатам представлены обновленные данные за 6-летний период наблюдения.
ЦЕЛЬ. Изучить влияние дапаглифлозина на клинические исходы и показатели смертности пациентов с СД2 в реальной клинической практике г. Москвы.
МАТЕРИАЛЫ И МЕТОДЫ. Для оценки исходов был проведен ретроспективный сбор данных основной и контрольной групп, каждая из которых состояла из 499 пациентов с СД2, соответствовавших критериям отбора. Пациентам основной группы была начата терапия дапаглифлозином в 2017 г., в контрольную группу вошли сопоставимые по исходным характеристикам пациенты, не получавшие иНГЛТ-2 до включения в исследование и в течение периода наблюдения.
РЕЗУЛЬТАТЫ. Большинство пациентов основной и контрольной групп составляли женщины (58,9%), средний возраст — около 63 лет, длительность анамнеза СД2 — около 9 лет. Включение дапаглифлозина в схему лечения пациентов основной группы после 6 лет наблюдения сопровождалось снижением относительного риска (ОР) смерти от любых причин на 42% (ОР=0,58; 95% ДИ 0,43–0,78; p<0,001), риска смерти от хронической сердечной недостаточности (ХСН) — на 66% (ОР=0,34; 95% ДИ 0,16–0,72; p<0,001), риска смерти от сердечно-сосудистых заболеваний (ССЗ) — на 72% (ОР=0,28; 95% ДИ 0,17–0,47; p<0,001), риска развития неблагоприятных сердечно-сосудистых событий (МАСЕ) — на 49% (ОР=0,51; 95% ДИ 0,40–0,67; p<0,001). Также в группе дапаглифлозина было показано снижение уровня НbА1с с 8,53% до 7,92%, снижение массы тела, а также более медленное снижение расчетной скорости клубочковой фильтрации (рСКФ) по сравнению с контрольной группой.
ЗАКЛЮЧЕНИЕ. Длительная терапия дапаглифлозином значительно улучшает клинические исходы у пациентов с СД2, включая снижение риска смерти от любых причин, риска смерти от ХСН и ССЗ, а также риска развития МАСЕ по сравнению со стандартной терапией без использования иНГЛТ-2. На фоне высокой эффективности препарата в отношении улучшения показателей гликемического контроля применение дапаглифлозина в рутинной практике также приводило к снижению массы тела и скорости прогрессирования хронической болезни почек (ХБП).
Ключевые слова
Для цитирования:
Анциферов М.Б., Демидов Н.А. Эффективность дапаглифлозина в отношении улучшения клинических исходов у пациентов с сахарным диабетом 2 типа (продолжение исследования CARDIA-MOS, Москва). Сахарный диабет. 2025;28(1):80-90. https://doi.org/10.14341/DM13262
For citation:
Antsiferov M.B., Demidov N.A. Dapagliflozin effectiveness in improvement of clinical outcomes in diabetic patients (extention of CARDIA-MOS study, Moscow). Diabetes mellitus. 2025;28(1):80-90. (In Russ.) https://doi.org/10.14341/DM13262
ОБОСНОВАНИЕ
Сахарный диабет 2 типа (СД2) является фактором риска развития сердечно-сосудистых заболеваний (ССЗ) и патологии почек, ассоциированным с неблагоприятными клиническими исходами и повышенным риском смерти [1][2]. Согласно данным Международной федерации диабета (International Diabetes Federation, IDF), в 2021 г. количество взрослых пациентов с СД в мире достигло 537 млн человек, а к 2045-му ожидается увеличение до 783 млн (на 46%) [3]. По результатам проведенных популяционных анализов, бремя сердечно-сосудистой коморбидности, связанной с СД2, в ближайшие десятилетия также будет расти [2]. В Российской Федерации (РФ) на 1 января 2023 г., по данным базы данных клинико-эпидемиологического мониторинга СД на территории РФ, на диспансерном учете состояло 4,96 млн пациентов (3,3% населения), из них 92,3% (4,58 млн человек) составляли пациенты с СД2 [4]. Таким образом, с учетом широкой распространенности СД2 и риска развития отдаленных осложнений, задача разработки наиболее эффективных терапевтических стратегий приобретает особую актуальность.
СД2, наряду с другими факторами риска (артериальная гипертензия, дислипидемия, курение и т.д.), запускает целый каскад взаимосвязанных нарушений в сердечно-сосудистой системе, а также поражение почек, что получило название «кардиоренальный континуум». Это приводит к повышению частоты развития атеросклеротических ССЗ, хронической сердечной недостаточности (ХСН) и прогрессированию нефропатии [5]. Большинство пациентов на момент постановки диагноза СД2 уже имеют факторы сердечно-сосудистого риска, установленные ССЗ, ХСН или признаки хронической болезни почек (ХБП). В связи с этим в стратегии терапии пациентов с СД2, согласно мнению экспертов Американской диабетической ассоциации (American Diabetes Association — ADA), помимо достижения целей гликемического контроля, все большее внимания уделяется управлению сердечно-сосудистыми рисками с помощью использования препаратов с кардио-нефропротективными свойствами [6].
Появление новых классов противодиабетических препаратов: ингибиторов натрий-глюкозного котранспортера 2 типа (иНГЛТ-2) и агонистов рецепторов глюкагоноподобного пептида 1 типа (арГПП-1) в значительной степени изменило подходы к лечению СД2 и позволило снизить риск развития атеросклеротических ССЗ и госпитализаций по поводу ХСН [7][8]. В основе сахароснижающего эффекта иНГЛТ-2 лежит селективное обратимое ингибирование НГЛТ-2, приводящее к снижению реабсорбции глюкозы и натрия в почечных канальцах, выведению глюкозы и натрия с мочой и осмотическому диурезу. Наиболее изученным и первым зарегистрированным в РФ представителем иНГЛТ-2 является дапаглифлозин (Форсига®), который доказал свою эффективность и безопасность у пациентов с СД2 в отношении улучшения гликемического контроля, а также положительного влияния на сердечно-сосудистые и почечные исходы в нескольких крупномасштабных исследованиях [9–12]. Это нашло свое отражение как в международных, так и в российских рекомендациях по лечению СД2 [6][13][14]. Представляет большой интерес вопрос эффективности использования препаратов с кардио- нефропротективными свойствами в реальной клинической практике у российских пациентов с СД2.
Исследование CARDIA-MOS представляет собой ретроспективное наблюдательное исследование, проводившееся с целью оценки влияния иНГЛТ-2 и, в частности, дапаглифлозина, на клинические исходы и показатели смертности у российских пациентов с СД2 с использованием данных московского сегмента базы данных клинико-эпидемиологического мониторинга СД на территории РФ и информации, внесенной в электронные амбулаторные карты единой медицинской информационно-аналитической системы (ЕМИАС). Предыдущий анализ данных исследования, проведенный по итогам четырех лет наблюдения, позволил установить, что длительная терапия дапаглифлозином сопровождалась снижением относительного риска (ОР) смерти от любых причин на 38,6% (ОР=0,614; 95% ДИ 0,417–0,903; р=0,013), а также снижением среднего уровня гликированного гемоглобина НbА1с на 0,8% (с 8,5% до 7,7%, p<0,001) [15]. Кроме того, было выявлено увеличение ожидаемой продолжительности жизни на фоне терапии дапаглифлозином, причем более раннее начало приема препарата приводило к большему числу добавленных лет жизни [16]. В настоящей работе представлены обновленные результаты данного исследования за более продолжительный период наблюдения длительностью 6 лет.
ЦЕЛЬ ИССЛЕДОВАНИЯ
Основной целью исследования являлся анализ влияния длительного применения дапаглифлозина на клинические исходы и показатели смертности пациентов с СД2 в условиях реальной клинической практики.
МАТЕРИАЛЫ И МЕТОДЫ
Место и время проведения исследования
Исследование проводилось на базе ГБУЗ «Эндокринологический диспансер Департамента здравоохранения города Москвы».
В анализ были включены ретроспективные данные Московского сегмента базы данных клинико-эпидемиологического мониторинга СД на территории РФ, а также первичной медицинской документации пациентов с СД2 за период с 01.01.2017 по 31.12.2022 гг.
Изучаемые популяции
Для сравнительного анализа исходов у пациентов с СД2 были сформированы две когорты: основная и контрольная группы пациентов.
Основная группа состояла из пациентов с СД2 в возрасте 50–75 лет, имеющих в анамнезе ССЗ или 1 и более факторов риска ССЗ (артериальная гипертензия, дислипидемия), которым была начата терапия иНГЛТ-2 (дапаглифлозином) в период с 01.01.2017 по 31.12.2017 и до этого момента не применялись иНГЛТ-2 либо арГПП-1, при условии достаточного объема данных для анализа. Из выборки были исключены пациенты, получавшие арГПП-1 в любой момент времени на протяжении периода наблюдения, а также пациенты основной группы с перерывами в терапии дапаглифлозином ≥3 мес.
В контрольную группу были отобраны пациенты, сопоставимые с основной выборкой по данным анамнеза, демографическим и клиническим характеристикам, не получавшие препараты групп иНГЛТ-2 или арГПП-1 как до включения в исследование, так и в течение всего периода наблюдения (72 мес.) Подробное описание критериев отбора пациентов в исследование CARDIA-MOS приведено в ранее опубликованной работе за четырехлетний период наблюдения [15].
Способ формирования выборки пациентов
В наблюдательном исследовании CARDIA-MOS был проведен ретроспективный сбор и сравнительный анализ данных основной и контрольной групп пациентов, сформированных путем выборки из базы данных московского сегмента базы данных клинико-эпидемиологического мониторинга СД на территории РФ с последующим анализом информации, содержащейся в первичной медицинской документации (электронных амбулаторных картах ЕМИАС). Пациенты, соответствовавшие критериям отбора и получавшие терапию дапаглифлозином (n=499), составили основную группу исследования, она была разделена на 36 подгрупп в зависимости от пола, возрастной категории пациентов (<60 лет, 60–70 лет, >70 лет), наличия в анамнезе ССЗ, длительности СД, индекса массы тела (ИМТ), уровня НbА1с, применения инсулинотерапии.
Контрольная группа была сформирована путем выборки из московского сегмента базы данных клинико-эпидемиологического мониторинга СД на территории РФ всех пациентов с СД2, соответствовавших критериям отбора и не получавших терапию иНГЛТ-2. После этого были сформированы 36 подгрупп пациентов, сопоставимых по базовым характеристикам с основной группой (n=2736). С помощью генератора случайных чисел из нее были отобраны 449 пациентов, составивших контрольную группу исследования.
Дизайн исследования
Неинтервенционное (наблюдательное) одноцентровое ретроспективное сравнительное исследование с периодом наблюдения 6 лет.
Статистический анализ
В рамках статистической обработки результатов исследования дескриптивная статистика для непрерывных переменных представлена средними значениями и стандартными отклонениями (M±SD), для категориальных переменных — частотами и процентными долями (%). Оценка выживаемости являлась основной целью текущего анализа и была выполнена с построением кривых Каплана-Майера и последующим сравнением групп пациентов с использованием логрангового теста Мантеля-Кокса. Наступлением события считали смерть пациента, при этом в случае анализа смертности от конкретных причин пациенты, умершие от других причин до конца периода наблюдения, считались цензурированными. Оценку ОР смерти также проводили с помощью регрессии Кокса и построения 95% доверительного интервала (ДИ). Подгрупповой анализ проведен в зависимости от пола, наличия в анамнезе терапии инсулином и ССЗ.
С использованием того же подхода, что и для основного анализа, был проанализирован ОР смерти от ХСН и ССЗ.
Анализ динамики клинических показателей пациентов был выполнен с применением смешанной линейной регрессионной модели, включающей фиксированные факторы (эффекты), такие как месяц наблюдения и группа пациентов (контроль и дапаглифлозин), и случайный эффект (номер пациента). После построения модели проводилось тестирование гипотез о значимом влиянии фиксированных эффектов (Type III Tests of Fixed Effects), а также их взаимодействия в отношении исследуемого показателя, выявление значимого взаимодействия фактора группы пациентов позволяло утверждать о зависимости изменения исследуемых показателей от наличия изучаемой терапии.
Анализ данных проводили с использованием программного пакета R (версия 4.4.1). Различия считались статистически значимыми при p<0,05.
Этическая экспертиза
Исследование было одобрено локальным этическим комитетом ГБУЗ «Эндокринологический диспансер Департамента здравоохранения города Москвы» (Протокол заседания от 28.06.2022 г.).
РЕЗУЛЬТАТЫ
Исследуемая популяция
Сбор данных и их статистическая обработка проводились на базе ГБУЗ «Эндокринологический диспансер Департамента здравоохранения города Москвы». В основную группу вошли 499 пациентов с СД2: женщин — 58,9%, средний возраст — 62,7±6,0 года, длительность анамнеза СД2 — 8,8±5,6 года. В контрольную группу были включены 499 из 2736 пациентов, соответствовавших критериям отбора. Ее исходные характеристики были сопоставимы с основной группой (табл. 1). Пациенты из группы дапаглифлозина исходно имели более высокие средние значения HbA1c и систолического артериального давления, а также реже получали терапию метформином [15].
Таблица 1. Исходные характеристики пациентов
Контроль (n=499) | Дапаглифлозин (n=499) | |
Возраст, лет, M±SD | 62,7±6,0 | 62,5±5,8 |
Пол, муж, n (%) | 205 (41,1) | 205 (41,1) |
Длительность СД2, лет, M±SD | 8,7±4,5 | 8,8±5,6 |
ИМТ, кг/м², M±SD | 34,04±4,7 | 33,91±5,9 |
САД, мм рт.ст., M±SD | 133,27±9,7 | 134,87±10,4* |
HbA1c, %, M±SD | 8,27±0,9 | 8,53±1,2† |
ОХС, ммоль/л, M±SD | 5,84±1,1 | 5,99±1,1 |
ЛПНП, ммоль/л, M±SD | 2,75±0,9 | 2,72±0,9 |
Подтвержденное ССЗ в анамнезе, n (%) | 315 (63,1) | 321 (64,3%) |
Терапия: | ||
Метформин, n (%) | 468 (93,8) | 429 (86,0)† |
ПСМ, n (%) | 289 (57,9) | 284 (57,1) |
иДПП-4, n (%) | 63 (12,6) | 56 (11,2) |
Инсулин, n (%) | 193 (38,7) | 193 (38,7) |
Примечание. * — р=0,013; † — p<0,001; значения p приведены для сравнений показателей пациентов из контрольной группы и группы дапаглифлозина; M±SD — среднее и стандартное отклонение; ПСМ — препараты сульфонилмочевины, иДПП-4 — ингибиторы дипептидилпептидазы-4, ИМТ — индекс массы тела, ОХС — общий холестерин, ЛПНП — липопротеины низкой плотности; САД — систолическое артериальное давление; СД2 — сахарный диабет 2 типа; ССЗ — сердечно-сосудистые заболевания; HbA1c — гликированный гемоглобин.
АНАЛИЗ КЛИНИЧЕСКИХ ИСХОДОВ
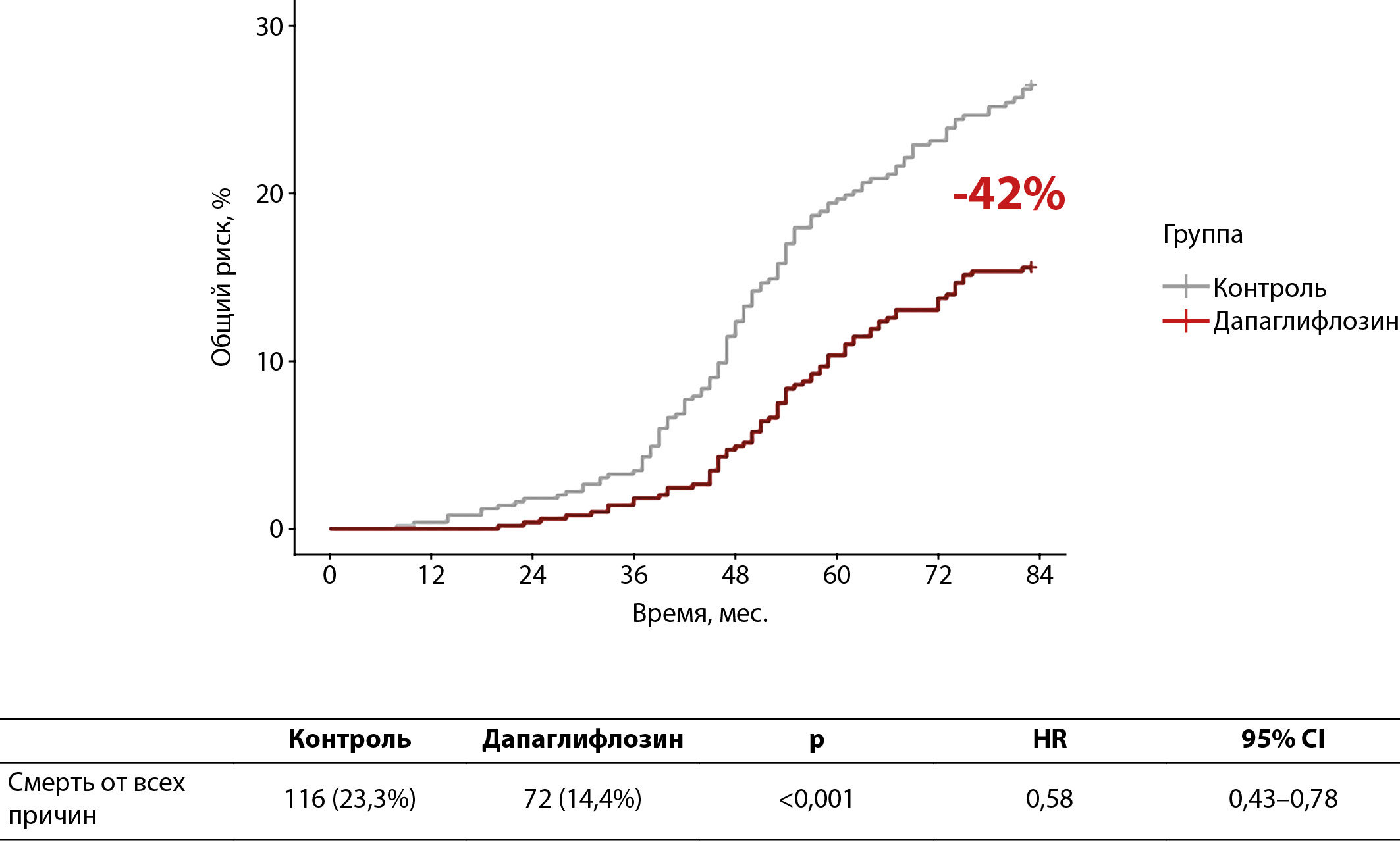
Результаты анализа эффективности дапаглифлозина в отношении клинических исходов показали, что прием данного препарата приводил к статистически значимому снижению ОР смерти как от любых причин, так и смерти от ХСН и ССЗ. За 6 лет наблюдения было зарегистрировано 188 случаев смерти пациентов: 72 (14,4%) в группе дапаглифлозина, 116 (23,3%) в контрольной группе (рис. 1). ОР смерти от любых причин для пациентов из группы дапаглифлозина по сравнению с контрольной составил 0,58 (95% доверительный интервал (ДИ) 0,43–0,78; p<0,001), то есть применение дапаглифлозина сопровождалось снижением риска смерти от любых причин на 42% за шесть лет наблюдения.

Рисунок 1. Относительный риск смерти от любых причин.
Примечание. HR — относительный риск; CI — доверительный интервал.
В отношении снижения ОР смерти от ХСН и ССЗ эффективность дапаглифлозина была еще более значительной. За время наблюдения от ХСН умерли 9 (1,8%) пациентов из группы дапаглифлозина и 25 (5%) пациентов из контрольной группы, ОР=0,34 (95% ДИ 0,16–0,72), p<0,001. За тот же период времени от ССЗ умерли 86 пациентов, из них 20 (4%) в группе дапаглифлозина и 66 (13,2%) в контрольной группе, ОР=0,28 (95% ДИ 0,17–0,47), p<0,001. Таким образом, за 6 лет наблюдения терапия дапаглифлозином сопровождалась снижением риска смерти от ХСН на 66% и риска смерти от ССЗ на 72% (рис. 2 и 3).

Рисунок 2. Относительный риск смерти от хронической сердечной недостаточности.
Примечание. HR — относительный риск; CI — доверительный интервал; ХСН — хроническая сердечная недостаточность.

Рисунок 3. Относительный риск смерти от сердечно-сосудистых заболеваний.
Примечание. HR — относительный риск; CI — доверительный интервал; ССЗ — сердечно-сосудистое заболевание.
Дополнительно был проведен анализ ОР смерти от любых причин в подгруппах пациентов, сформированных в зависимости от их исходных характеристик: пола, применения инсулинотерапии и наличия ССЗ в анамнезе. Несмотря на то, что при этом не было выявлено статистически значимого взаимодействия между группой терапии (основная и контрольная группы) и наличием или отсутствием подтвержденного ССЗ в анамнезе, пациенты без установленного диагноза ССЗ на момент включения в исследование и получавшие терапию дапаглифлозином имели более высокие показатели выживаемости по сравнению с теми, у кого диагноз ССЗ был подтвержден. Снижение ОР смерти от всех причин на фоне терапии дапаглифлозином наблюдалось в обеих подгруппах, однако у пациентов без подтвержденного ССЗ в анамнезе риск снизился на 58% (ОР=0,42; 95% ДИ 0,23–0,75), с наличием ССЗ в анамнезе — на 35% (ОР=0,65; 95% ДИ 0,46–0,91), р=0,21 (рис. 4).

Рисунок 4. Относительный риск смерти от любых причин в подгруппах по наличию подтвержденного сердечно-сосудистого заболевания в анамнезе.
Примечание. HR — относительный риск; CI — доверительный интервал; ССЗ — сердечно-сосудистые заболевания.
Для других факторов также не было показано статистически значимого влияния на выживаемость пациентов на фоне терапии дапаглифлозином: для мужчин, получавших дапаглифлозин, ОР смерти от любых причин снизился на 34% (ОР=0,66; 95% ДИ 0,44–0,98), для женщин — на 51% (ОР=0,49; 95% ДИ 0,31–0,76), р=0,32; для пациентов, получавших инсулин, риск снизился на 48% (ОР=0,52; 95% ДИ 0,34–0,80), без инсулинотерапии в анамнезе — на 36% (ОР=0,64; 95% ДИ 0,43–0,96), р=0,44. Тем не менее, важно отметить тенденцию к более высоким показателям выживаемости на фоне терапии дапаглифлозином среди женщин и пациентов без ССЗ, не достигающую, однако, статистической значимости.
Анализ риска развития основных неблагоприятных сердечно-сосудистых событий (Major Adverse Cardiovascular Events — MACE), включающих смерть в результате ССЗ, нефатальный инсульт и нефатальный инфаркт миокарда, продемонстрировал, что терапия дапаглифлозином у пациентов с СД2 приводит к статистически значимому снижению ОР развития таких событий: в группе дапаглифлозина случаи МАСЕ были зарегистрированы у 89 (17,8%) пациентов, в контрольной группе — у 159 (31,9%) пациентов, ОР=0,51 (95% ДИ 0,40–0,67), p<0,001 (рис. 5). Среднее время до события в группе дапаглифлозина составило 75,34 мес (95% ДИ 73,73–76,96 мес), в контрольной группе — 69,06 мес (95% ДИ 66,98–71,13 мес). Таким образом, прием дапаглифлозина сопровождался снижением риска развития МАСЕ на 49% за шесть лет наблюдения.

Рисунок 5. Относительный риск развития основных неблагоприятных сердечно-сосудистых событий (MACE).
Примечание: HR — относительный риск; CI — доверительный интервал; МАСЕ — основные неблагоприятные сердечно-сосудистые события.
АНАЛИЗ ДИНАМИКИ КЛИНИЧЕСКИХ И ЛАБОРАТОРНЫХ ПОКАЗАТЕЛЕЙ
Помимо анализа ОР смерти от различных причин, в рамках исследования CARDIA-MOS была проведена оценка динамики уровня HbA1c, массы тела, ИМТ и расчетной скорости клубочковой фильтрации (рСКФ).
Контроль гликемии
Динамика уровня HbA1c за период наблюдения в основной и контрольной группах представлена на рис. 6. В группе пациентов, получавших дапаглифлозин, исходно среднее значение НbА1с было выше, чем в контрольной, но уже через 3 мес лечения было отмечено значительное снижение этого показателя. За весь период наблюдения средний уровень НbА1с снизился с 8,53% (95% ДИ 8,42–8,64) до 7,92% (95% ДИ 7,81–8,03). Среди пациентов контрольной группы средний уровень HbA1c на протяжении периода наблюдения практически не изменился и составил 8,27% (95% ДИ 8,19–8,35) на начало наблюдения, и 8,27% (95% ДИ 8,16–8,38) через 6 лет, то есть был статистически значимо выше на 4%, чем в группе дапаглифлозина (p<0,01).

Рисунок 6. Динамика уровня гликированного гемоглобина.
Примечание. HbA1c — гликированный гемоглобин.
Показатели массы тела
За время наблюдения в группе пациентов, получавших терапию дапаглифлозином, были зарегистрированы позитивные изменения показателей массы тела и ИМТ. Следует отметить, что исходное среднее значение массы тела в группе дапаглифлозина превышало таковое в контрольной группе (95,9 и 94,3 кг соответственно), а среднее значение ИМТ было почти одинаковым (34,0 кг/м² и 33,9 кг/м² соответственно). Несмотря на это, через 6 лет наблюдения у пациентов основной группы средние значения массы тела и ИМТ значительно снизились, в отличие от пациентов контрольной группы (p<0,05 и p<0,001 соответственно) (рис. 7). Таким образом, применение дапаглифлозина позволяло не только улучшить контроль гликемии, но и добиться положительной динамики других показателей метаболизма.

Рисунок 7. Динамика массы тела и индекса массы тела.
Примечание. ИМТ — индекс массы тела.
Показатели функции почек
В обеих группах на протяжении 6 лет наблюдения отмечалось снижение рСКФ, однако в группе дапаглифлозина оно было существенно более медленным по сравнению с пациентами контрольной группы (рис. 8). Исходно среднее значение рСКФ было сопоставимым в обеих группах: 77,11 мл/мин/1,73 м² (95% ДИ 75,92–78,31 мл/мин/1,73 м²) в группе дапаглифлозина и 75,11 мл/мин/1,73 м² (95% ДИ 73,81–76,40 мл/мин/1,73 м²) в контрольной группе. На протяжении периода наблюдения у пациентов контрольной группы рСКФ снижалась особенно сильно с 48-го по 72-й месяц наблюдения, и в конце периода в среднем составила 62,95 мл/мин/1,73 м² (95% ДИ 61,34–64,56 мл/мин/1,73 м²). В группе дапаглифлозина были зарегистрированы незначительные колебания рСКФ, в конце периода наблюдения среднее значение рСКФ снизилось до 74,03 мл/мин/1,73 м² (95% ДИ 72,26–75,79 мл/мин/1,73 м²), т.е. было значительно выше, чем в контрольной группе (p<0,001), что может свидетельствовать о нефропротективном эффекте дапаглифлозина.

Рисунок 8. Динамика расчетной скорости клубочковой фильтрации.
Примечание: рСКФ — расчетная скорость клубочковой фильтрации. Для анализа использованы показатели, рассчитанные по формуле CKD-EPI.
ОБСУЖДЕНИЕ
В настоящее время доказано, что СД2, ХСН и ХБП являются взаимосвязанными патологическими состояниями, ухудшающими течение и прогноз друг друга, поскольку при этом запускается цикл кардио-рено-метаболических нарушений [2][17][18].
Помимо контроля гликемии, иНГЛТ-2 имеют кардио- и нефропротективное действие. Они включены в базовую схему лечения пациентов с СД2 и атеросклеротическими ССЗ либо факторами их риска и/или ХБП в международных и российских клинических рекомендациях [6][13][14]. Эти рекомендации основываются на ряде исследований, доказавших эффективность иНГЛТ-2 в отношении риска развития ССЗ, ХСН и ХБП. Так, в исследовании EMPA REG OUTCOME эмпаглифлозин продемонстрировал снижение риска смерти от ССЗ у пациентов с СД2 и ССЗ на 38%, частоты госпитализаций по поводу ХСН на 35% и смерти по любой причине на 32% [19]. Результаты клинического исследования CANVAS показали, что у пациентов с СД2 и повышенным кардиоваскулярным риском терапия канаглифлозином снижает риск развития сердечно-сосудистых осложнений, смерти от ССЗ, нефатального инфаркта миокарда или инсульта на 14% (ОР=0,86; 95% ДИ 0,75–0,97; р<0,001). Также была показана эффективность канаглифлозина в отношении снижения риска прогрессирования альбуминурии на 27% (ОР=0,73; 95% ДИ 0,67–0,79) и композитной конечной точки, включавшей устойчивое снижение рСКФ на 40%, сохраняющееся как минимум в течение двух последовательных измерений, необходимость заместительной почечной терапии (диализ или трансплантация) или смерть от почечных причин (ОР=0,60; 95% ДИ 0,47–0,77) [20].
В метаанализе, включавшем результаты 13 рандомизированных плацебо-контролируемых исследований с оценкой сердечно-сосудистых исходов у пациентов с СД2, в который вошли данные более 90 000 пациентов, было показано, что иНГЛТ-2 снижали риск сердечно-сосудистой смерти или госпитализации по поводу ХСН у пациентов с ССЗ на 23% (ОР=0,77; 95% ДИ 0,73–0,81), риск сердечно-сосудистой смерти на 15% (ОР=0,85; 95% ДИ 0,79–0,91) и риск госпитализации по поводу ХСН на 29% (ОР=0,71; 95% ДИ 0,66–0,76), р<0,001 [21].
Эффективность дапаглифлозина в отношении сердечно-сосудистых и почечных исходов при добавлении к базовой сахароснижающей терапии СД2 была изучена в клиническом исследовании DECLARE-TIMI 58, в котором приняли участие 17 160 пациентов с СД2 и двумя и более факторами сердечно-сосудистого риска или с установленным ССЗ. Терапия дапаглифлозином в дозе 10 мг снижала риск комбинированного показателя смертности от осложнений ССЗ и частоты госпитализаций по поводу ХСН на 17% (ОР=0,83; 95% ДИ 0,73–0,95; р=0,005), также была установлена тенденция к снижению частоты неблагоприятных сердечно-сосудистых событий (МАСЕ) в группе дапаглифлозина, не достигавшая статистической значимости (ОР=0,93; 95% ДИ 0,84–1,03; р=0,17). Риск развития почечной недостаточности в группе дапаглифлозина снизился на 24% (ОР=0,76; 95% ДИ 0,67–0,87), а риск развития тяжелых почечных осложнений, включающих устойчивое снижение рСКФ, ≥40% до <60 мл/мин/1,73 м² и/или терминальную стадию ХБП и/или смерть в результате заболеваний почек — на 47% (ОР=0,53; 95% ДИ 0,43–0,66) [11][12]. Помимо пациентов с СД2, положительные кардиопротективные и нефропротективные эффекты дапаглифлозина были показаны в исследовании DAPA-HF при применении у пациентов с ХСН и в исследовании DAPA-CKD у пациентов с ХБП. Это позволило сделать вывод, что данный препарат оказывает положительное воздействие на кардиоренальный континуум в целом [9][10].
Наряду с большой доказательной базой эффективности иНГЛТ-2, полученной на основании результатов рандомизированных клинических исследований, важное значение имеют также данные исследований реальной клинической практики, которые позволили получить подтверждение эффективности препарата у более объемной когорты пациентов с СД2. В исследовании CVD-REAL Nordic было выявлено преимущество дапаглифлозина по сравнению с ингибиторами дипептидилпептидазы 4-го типа по снижению риска развития неблагоприятных сердечно-сосудистых событий (MACE) на 21% (ОР 0,79; 95% ДИ 0,67–0,94), госпитализации по поводу ХСН — на 38% (ОР 0,62; 95% ДИ 0,50–0,77) и смерти от любых причин — на 41% (ОР 0,59; 95% ДИ 0,49–0,72) [22]. Новые данные этого исследования (CVD-REAL 2) показали, что терапия иНГЛТ-2 (дапаглифлозин, эмпаглифлозин, ипаглифлозин, канаглифлозин, тофоглифлозин, лузеоглифлозин) приводит к снижению риска смерти от любых причин на 49% (ОР 0,51; 95% ДИ 0,37–0,70), госпитализации по поводу ХСН — на 36% (ОР 0,64; 95% ДИ 0,50–0,82), смерти от ХСН — на 40% (ОР 0,60; 95% ДИ 0,47–0,76), инфаркта миокарда — на 19% (ОР 0,81; 95% ДИ 0,6774–0,88), а инсульта — на 32% (ОР 0,68; 95% ДИ 0,55–0,84) по сравнению с другими сахароснижающими препаратами [23].
Исследование CARDIA-MOS является первым крупным наблюдательным исследованием, направленным на оценку влияния дапаглифлозина на показатели смертности и клинические исходы терапии у российских пациентов с СД2 в условиях реальной клинической практики.
Результаты анализа данных исследования CARDIA-MOS после 6 лет наблюдения за пациентами, получавшими дапаглифлозин, в сравнении с пациентами, получавшими только стандартную терапию, в условиях рутинной клинической практики, указывают на снижение риска смерти от любых причин на фоне терапии дапаглифлозином на 42% (ОР=0,58; 95% ДИ 0,43–0,78; p<0,001) с тенденцией к более выраженному снижению риска у пациентов без подтвержденного ССЗ в анамнезе и при сохранении влияния на исход независимо от пола и терапии инсулином в анамнезе. Более того, дапаглифлозин снижал риск смерти от ХСН на 66% (ОР=0,34; 95% ДИ 0,16–0,72; p<0,001), риск смерти от ССЗ — на 72% (ОР=0,28; 95% ДИ 0,17–0,47; p<0,001) и риск развития неблагоприятных сердечно-сосудистых событий (МАСЕ) — на 49% (ОР=0,51; 95% ДИ 0,40–0,67; p<0,001). В то же время для дапаглифлозина было показано улучшение контроля гликемии, массы тела и нефропротективное действие по сравнению со стандартной терапией без использования иНГЛТ-2.
Эффект в отношении смерти от любых причин в целом сопоставим с опубликованными ранее результатами анализа CARDIA-MOS, проведенного после четырех лет наблюдения и показавшего снижение риска на 39% [15]. Полученные данные также согласуются с упомянутыми выше результатами других клинических и наблюдательных исследований.
Необходимо отметить, что приведенные результаты клинических и наблюдательных исследований и метаанализов следует сопоставлять с результатами данного исследования с определенной долей осторожности ввиду различий в методологических подходах, включая подходы к формированию популяций.
Таким образом, проведенный анализ показателей смертности и сердечно-сосудистых исходов у российских пациентов с СД2, получающих терапию дапаглифлозином, является первой попыткой провести оценку влияния дапаглифлозина на клинические исходы в российской реальной клинической практике. Кроме того, настоящий анализ представляет собой единственную оценку исходов на фоне терапии дапаглифлозином у пациентов Восточной Европы.
Вместе с тем следует отметить, что формирование исследуемой популяции на основании данных, собранных в рамках рутинной клинической практики, может сопровождаться определенным риском ошибок, связанных с отсутствием необходимых данных, или ошибок при заполнении форм базы данных клинико-эпидемиологического мониторинга СД на территории РФ или первичной медицинской документации врачами. Кроме того, часть периода наблюдения пришлась на время пандемии COVID-19, что могло повлиять и на частоту развития осложнений со стороны сердечно-сосудистой системы, и на структуру смертности. Для снижения риска систематических ошибок отбора пациентов для анализа, в том числе в контрольной группе, было выполнено взвешивание популяций.
ЗАКЛЮЧЕНИЕ
Результаты данного исследования позволяют сделать вывод о том, что длительная терапия дапаглифлозином (в течение 6 лет) значительно улучшает клинические исходы у пациентов с СД2, включая снижение риска смерти от любых причин, риска смерти от ХСН и ССЗ, а также риска развития МАСЕ. На фоне высокой эффективности препарата в отношении улучшения показателей гликемического контроля применение дапаглифлозина в рутинной практике также приводило к снижению массы тела и скорости прогрессирования ХБП.
ДОПОЛНИТЕЛЬНАЯ ИНФОРМАЦИЯ
Источники финансирования. Исследование выполнено на базе Эндокринологического диспансера ДЗМ с использованием ресурсов данного учреждения.
Конфликт интересов. Авторы декларируют отсутствие явных и потенциальных конфликтов интересов, связанных с содержанием настоящей статьи.
Участие авторов. Анциферов М.Б.— формирование концепции и дизайна исследования, сбор, анализ и интерпретация данных, внесение в рукопись существенных правок; Демидов Н.А. — формирование концепции и дизайна исследования, сбор, анализ и интерпретация данных, внесение в рукопись существенных правок.
Все авторы одобрили финальную версию статьи перед публикацией, выразили согласие нести ответственность за все аспекты работы, подразумевающую надлежащее изучение и решение вопросов, связанных с точностью или добросовестностью любой части работы.
Благодарности. Авторы выражают благодарность Якову Пахомову и Николаю Табакаеву из Medical Advisers Group (Москва, Россия) за поддержку в подготовке данной публикации.
Список литературы
1. Damaskos C, Garmpis N, Kollia P, et al. Assessing Cardiovascular Risk in Patients with Diabetes: An Update. Curr Cardiol Rev. 2020;16(4):266-274. doi: https://doi.org/10.2174/1573403X15666191111123622
2. Ozkan B, Ndumele CE. Addressing Cardiovascular Risk in Diabetes: It’s More Than the Sugar. Circulation. 2023;147(25):1887-1890. doi: https://doi.org/10.1161/CIRCULATIONAHA.123.065090
3. International Diabetes Federation. IDF Diabetes Atlas, 10th edn. Brussels, Belgium; 2021. Available from: https://www.diabetesatlas.org
4. Дедов И.И., Шестакова М.В., Викулова О.К., и соавт. Сахарный диабет в Российской Федерации: динамика эпидемиологических показателей по данным Федерального регистра сахарного диабета за период 2010–2022 гг. // Сахарный диабет. — 2023. — Т.26. — №2. — С.104-123. doi: https://doi.org/10.14341/DM13035
5. Iglay K, Hannachi H, Joseph Howie P, et al. Prevalence and co-prevalence of comorbidities among patients with type 2 diabetes mellitus. Curr Med Res Opin. 2016;32(7):1243-1252. doi: https://doi.org/10.1185/03007995.2016.1168291
6. American Diabetes Association Professional Practice Committee. 10. Cardiovascular Disease and Risk Management: Standards of Care in Diabetes-2024. Diabetes Care. 2024;47(Suppl 1):S179-S218. doi: https://doi.org/10.2337/dc24-S010
7. Jhund PS, Kondo T, Butt JH, et al. Dapagliflozin across the range of ejection fraction in patients with heart failure: a patient-level, pooled meta-analysis of DAPA-HF and DELIVER. Nat Med. 2022;28(9):1956-1964. doi: https://doi.org/10.1038/s41591-022-01971-4
8. Razavi M, Wei YY, Rao XQ, Zhong JX. DPP-4 inhibitors and GLP-1RAs: cardiovascular safety and benefits. Mil Med Res. 2022;9(1):45. doi: https://doi.org/10.1186/s40779-022-00410-2
9. Desai AS, Jhund PS, Claggett BL, et al. Effect of Dapagliflozin on Cause-Specific Mortality in Patients With Heart Failure Across the Spectrum of Ejection Fraction: A Participant-Level Pooled Analysis of DAPA-HF and DELIVER. JAMA Cardiology. 2022;7(12):1227–34. doi: https://doi.org/10.1001/jamacardio.2022.3736
10. Батюшин М.М. Дапаглифлозин и профилактика неблагоприятных исходов при хронической болезни почек: результаты исследования DAPA-CKD // Терапевтический архив. — 2021. — Т.93. — №6. — С.713–723. doi: https://doi.org/10.26442/00403660.2021.6.200891
11. Wiviott SD, Raz I, Bonaca MP, et al. Dapagliflozin and Cardiovascular Outcomes in Type 2 Diabetes. N Engl J Med. 2019;380(4):347-357. doi: https://doi.org/10.1056/NEJMoa1812389
12. Mosenzon O, Wiviott SD, Cahn A, et al. Effects of dapagliflozin on development and progression of kidney disease in patients with type 2 diabetes: an analysis from the DECLARE-TIMI 58 randomised trial [published correction appears in Lancet Diabetes Endocrinol. 2019 Aug;7(8):e20. doi: https://doi.org/10.1016/S2213-8587(19)30221-9]. Lancet Diabetes Endocrinol. 2019;7(8):606-617. doi: https://doi.org/10.1016/S2213-8587(19)30180-9
13. Российская ассоциация эндокринологов. Сахарный диабет 2 типа у взрослых. Клинические рекомендации. М.: Минздрав РФ; 2022
14. Дедов И.И., Шестакова М.В., Майоров А.Ю., и др. Алгоритмы специализированной медицинской помощи больным сахарным диабетом / Под редакцией И.И. Дедова, М.В. Шестаковой, А.Ю. Майорова. 11-й выпуск // Сахарный диабет. — 2023. Т.26. — №2S. — С.1-157. doi: https://doi.org/10.14341/DM13042
15. Анциферов М.Б., Демидов Н.А., Балберова М.А., и др. Влияние ингибиторов натрий-глюкозного котранспортера 2 типа дапаглифлозина на показатели общей смертности больных сахарным диабетом 2 типа (исследование CARDIA-MOS, Москва) // Сахарный диабет. — 2022. — Т.25. — №5. — С.439-448. doi: https://doi.org/10.14341/DM12929
16. Анциферов М.Б., Демидов Н.А., Табакаев Н.А. Влияние дапаглифлозина на ожидаемую продолжительность жизни пациентов с сахарным диабетом 2 типа в рутинной клинической практике // Сахарный диабет. — 2023. — Т.26. — №4. — С.328-333. doi: https://doi.org/10.14341/DM13010
17. Anders HJ, Huber TB, Isermann B, Schiffer M. CKD in diabetes: diabetic kidney disease versus nondiabetic kidney disease. Nat Rev Nephrol. 2018;14(6):361-377. doi: https://doi.org/10.1038/s41581-018-0001-y
18. Forxiga (dapagliflozin) 10 mg film-coated tablets. Summary of Product Characteristics (SmPC). Available from: https://www.medicines.org.uk/emc/product/7607/smpc
19. Zinman B, Wanner C, Lachin JM, et al. Empagliflozin, Cardiovascular Outcomes, and Mortality in Type 2 Diabetes. N Engl J Med. 2015;373(22):2117-2128. doi: https://doi.org/10.1056/NEJMoa1504720
20. Neal B, Perkovic V, Mahaffey KW, et al. Canagliflozin and Cardiovascular and Renal Events in Type 2 Diabetes. N Engl J Med. 2017;377(7):644-657. doi: https://doi.org/10.1056/NEJMoa1611925
21. Usman MS, Siddiqi TJ, Anker SD, et al. Effect of SGLT2 Inhibitors on Cardiovascular Outcomes Across Various Patient Populations. J Am Coll Cardiol. 2023;81(25):2377-2387. doi: https://doi.org/10.1016/j.jacc.2023.04.034
22. Persson F, Nyström T, Jørgensen ME, et al. Dapagliflozin is associated with lower risk of cardiovascular events and all-cause mortality in people with type 2 diabetes (CVD-REAL Nordic) when compared with dipeptidyl peptidase-4 inhibitor therapy: A multinational observational study. Diabetes Obes Metab. 2018;20(2):344-351. doi: https://doi.org/10.1111/dom.13077
23. Kosiborod M, Lam CSP, Kohsaka S, et al. Cardiovascular Events Associated With SGLT-2 Inhibitors Versus Other Glucose-Lowering Drugs: The CVD-REAL 2 Study. J Am Coll Cardiol. 2018;71(23):2628-2639. doi: https://doi.org/10.1016/j.jacc.2018.03.009
Об авторах
М. Б. АнциферовРоссия
Анциферов Михаил Борисович, д.м.н., профессор
108851, г. Москва, г. Щербинка, ул. Первомайская, д. 10
Н. А. Демидов
Демидов Николай Александрович, к.м.н.
108851, г. Москва, г. Щербинка, ул. Первомайская, д. 10
Дополнительные файлы
|
|
1. Рисунок 1. Относительный риск смерти от любых причин. | |
| Тема | ||
| Тип | Результаты исследования | |
Посмотреть
(186KB)
|
Метаданные ▾ | |
|
|
2. Рисунок 2. Относительный риск смерти от хронической сердечной недостаточности. | |
| Тема | ||
| Тип | Результаты исследования | |
Посмотреть
(180KB)
|
Метаданные ▾ | |
|
|
3. Рисунок 3. Относительный риск смерти от сердечно-сосудистых заболеваний. | |
| Тема | ||
| Тип | Исследовательские инструменты | |
Посмотреть
(181KB)
|
Метаданные ▾ | |
|
|
4. Рисунок 4. Относительный риск смерти от любых причин в подгруппах по наличию подтвержденного сердечно-сосудистого заболевания в анамнезе. | |
| Тема | ||
| Тип | Исследовательские инструменты | |
Посмотреть
(237KB)
|
Метаданные ▾ | |
|
|
5. Рисунок 5. Относительный риск развития основных неблагоприятных сердечно-сосудистых событий (MACE). | |
| Тема | ||
| Тип | Исследовательские инструменты | |
Посмотреть
(181KB)
|
Метаданные ▾ | |
|
|
6. Рисунок 6. Динамика уровня гликированного гемоглобина. | |
| Тема | ||
| Тип | Исследовательские инструменты | |
Посмотреть
(124KB)
|
Метаданные ▾ | |
|
|
7. Рисунок 7. Динамика массы тела и индекса массы тела. | |
| Тема | ||
| Тип | Исследовательские инструменты | |
Посмотреть
(188KB)
|
Метаданные ▾ | |
|
|
8. Рисунок 8. Динамика расчетной скорости клубочковой фильтрации. | |
| Тема | ||
| Тип | Исследовательские инструменты | |
Посмотреть
(119KB)
|
Метаданные ▾ | |
Рецензия
Для цитирования:
Анциферов М.Б., Демидов Н.А. Эффективность дапаглифлозина в отношении улучшения клинических исходов у пациентов с сахарным диабетом 2 типа (продолжение исследования CARDIA-MOS, Москва). Сахарный диабет. 2025;28(1):80-90. https://doi.org/10.14341/DM13262
For citation:
Antsiferov M.B., Demidov N.A. Dapagliflozin effectiveness in improvement of clinical outcomes in diabetic patients (extention of CARDIA-MOS study, Moscow). Diabetes mellitus. 2025;28(1):80-90. (In Russ.) https://doi.org/10.14341/DM13262
Контент доступен под лицензией Creative Commons Attribution-NonCommercial-NoDerivatives 4.0 International License (CC BY-NC-ND 4.0).









































