Перейти к:
Прогнозирование времени в целевом диапазоне глюкозы с помощью экспериментального мобильного приложения при сахарном диабете 1 типа
https://doi.org/10.14341/DM13111
Аннотация
ОБОСНОВАНИЕ. Время в целевом диапазоне глюкозы (TIR) — перспективный показатель гликемического контроля, применяющийся при оценке непрерывного мониторинга глюкозы (НМГ) у пациентов с сахарным диабетом (СД). Актуальной проблемой остается оценка и прогнозирование данного параметра для пациентов, использующих самостоятельный мониторинг глюкозы крови (СМГК), с учетом недостаточной доступности НМГ для большинства пациентов с СД.
ЦЕЛЬ. На основании данных экспериментального мобильного приложения разработать прогностическую модель времени в целевом диапазоне для пациентов с СД 1 типа (СД1).
МАТЕРИАЛЫ И МЕТОДЫ. Проведен анализ 1253 профилей профессионального НМГ пациентов с СД1. На основании включенных в исследование записей выполнен расчет TIR(НМГ), сгенерированы тренировочные модели 7-точечных профилей СМГК. Профили СМГК загружались в разработанное экспериментальное мобильное приложение, рассчитывающее стандартные параметры гликемического контроля. Данные были разделены на основную и тестовую выборки в соотношении 80 и 20%. Для основной выборки применены следующие методы разработки прогностических моделей: простая линейная регрессия (ПЛР), множественная линейная регрессия (МЛР), искусственная нейронная сеть (ИНС). Оценка эффективности разработанных моделей проводилась на тестовой выборке с расчетом средней абсолютной ошибки (MAE), квадратного корня из среднеквадратичной ошибки (RMSE).
РЕЗУЛЬТАТЫ. В исследование включено 568 профилей НМГ. В основной группе (n=454) TIR составил 45 [33; 65]%, в тестовой группе (n=114) — 43 [33; 58]%. Наиболее значимыми предикторами TIR в регрессионных моделях являлись процент значений в целевом диапазоне (dTIR), p<0,001; процент значений ниже целевого диапазона 1 уровня (dTBR1), p<0,001; стандартное отклонение гликемии (SD), p=0,007. Коэффициент детерминации для ПЛР (предиктор: dTIR) — 0,844; для МЛР (предикторы: dTIR, dTBR1, SD) — 0,907. Разработаны модели ИНС по типу многослойный перцептрон с двумя и одним внутренним слоем нейронов, для которых RMSE на валидационной выборке составил 4,617 и 6,639% соответственно. Результаты анализа эффективности прогноза на тестовой выборке: dTIR: MAE — 6,82%, RMSE — 8,60%; модель ПЛР: MAE — 5,66%, RMSE — 7,34%; модель МЛР: MAE — 4,18%, RMSE — 5,28%; модель ИНС (2 слоя): MAE — 4,14%, RMSE — 5,19%; модель ИНС (1 слой): MAE — 4,44%, RMSE — 5,52%.
ЗАКЛЮЧЕНИЕ. Наилучшую способность для прогноза TIR продемонстрировали ИНС с двумя внутренними слоями и МЛР. Требуются дальнейшие исследования с целью клинической валидации разработанных прогностических моделей.
Ключевые слова
Для цитирования:
Русанов А.Н., Родионова Т.И. Прогнозирование времени в целевом диапазоне глюкозы с помощью экспериментального мобильного приложения при сахарном диабете 1 типа. Сахарный диабет. 2024;27(2):130-141. https://doi.org/10.14341/DM13111
For citation:
Rusanov A.N., Rodionova T.I. Time in range prediction using the experimental mobile application in type 1 diabetes. Diabetes mellitus. 2024;27(2):130-141. (In Russ.) https://doi.org/10.14341/DM13111
ОБОСНОВАНИЕ
Время в целевом диапазоне глюкозы (time in range, TIR) одна из относительно новых метрик гликемического контроля, дополняющая систематическое исследование уровня гликированного гемоглобина (HbA1c) при сахарном диабете (СД) [1]. Большое количество исследований последних лет подтверждают, что достижение более высоких значений TIR ассоциировано со снижением HbA1c, уменьшением вариабельности глюкозы крови (ГК) и частоты гипогликемических состояний, снижением вероятности развития микро- и макрососудистых осложнений СД, увеличением выживаемости пациентов в критическом состоянии [2]. Эталонным методом исследования TIR является непрерывный мониторинг глюкозы (НМГ); для расчета TIR у большинства пациентов с СД рекомендуется использовать диапазон глюкозы 3,9–10,0 ммоль/л, при этом целевой уровень TIR составляет более 70% [1][2]. Однако ввиду высокой стоимости устройств и сенсоров НМГ, большинство пациентов с СД по-прежнему используют более доступный самостоятельный мониторинг глюкозы крови (СМГК) в качестве основного метода самоконтроля [3].
Стоит отметить, что метод СМГК также имеет тенденцию к постоянному развитию, главным образом за счет применения технологий мобильного здравоохранения (mobile health, mHealth); многие современные глюкометры имеют сопряженное мобильное приложение (МП), позволяющее рассчитать процент измеренных значений в диапазоне гликемии 3,9–10,0 ммоль/л [4]. Однако в таком случае ведущие специалисты в данной области, ввиду явных различий в количестве измерений глюкозы в течение суток (для СМГК — 4, 7, 8, для НМГ — до 288), предлагают использовать термин «процент значений в целевом диапазоне» или «расчетное TIR» (derived time in range, dTIR), указывая на значимые различия TIR и dTIR [5]. Одной из главных нерешенных проблем в этой области остается вопрос интерпретации и практического применения показателя dTIR, рассчитанного на основании данных СМГК. Альтернативой dTIR является применение технологий предсказания TIR(НМГ) с использованием параметра прогнозируемого TIR (estimated time in range, eTIR) [6]. При анализе актуальной литературы нами не найдено информации о сравнительных исследованиях параметров dTIR и eTIR и сопоставления их с референсным методом — TIR(НМГ).
Другой актуальной проблемой является недостаточная изученность алгоритмов прогноза TIR. Известно о тесной взаимосвязи TIR и HbA1c для пациентов СД 1 типа (СД1) при расчете параметров на основании НМГ [7]. Sun и соавт. предлагают прогнозировать TIR с помощью алгоритмов машинного обучения (МО) на основании данных HbA1c, пре- и постпрандиальной ГК [6]. Другим подходом в прогнозировании TIR может быть использование данных о самоконтроле, полученных с помощью специализированного МП (показатели средней ГК, времени нахождения в различных диапазонах ГК, параметры вариабельности гликемии), однако данные актуальной литературы не содержат информации о подобных работах, что подчеркивает актуальность и новизну настоящего исследования. Также не выявлено публикаций о применении искусственных нейронных сетей (ИНС) для определения eTIR, хотя в последнее время эта технология прогноза достаточно широко применяется в диабетологии [8][9].
ЦЕЛЬ ИССЛЕДОВАНИЯ
На основании данных экспериментального мобильного приложения разработать прогностическую модель времени в целевом диапазоне у пациентов с СД1.
МАТЕРИАЛЫ И МЕТОДЫ
Место и время проведения исследования
Выполнен анализ баз данных профессионального НМГ, проведенного с 2016 по 2022 гг. в трех учреждениях здравоохранения г. Саратова: ГУЗ «Саратовская ГКБ №9», Университетская клиническая больница №1 им. С.Р. Миротворцева Саратовского ГМУ им. В.И. Разумовского, ГУЗ «Саратовская ГКБ №5».
Изучаемые популяции
Изучаемой популяцией настоящего исследования были пациенты с СД1. Формирование базы данных для проведения исследования выполнялось с учетом следующих критериев включения.
- Проведение НМГ с помощью системы Medtronic iPro 2.
- Продолжительность НМГ — 4–7 дней.
- Ежедневная калибровка сенсора НМГ с помощью глюкометра или биохимического анализатора не менее 4 раз в сутки.
- Полнота данных НМГ более 70%.
- Доступ к электронному или рукописному журналу пациента, заполнявшегося в процессе НМГ.
Критерии исключения
- Беременность.
- Наличие декомпенсированных эндокринных нарушений (тиреотоксикоз, гипотиреоз, надпочечниковая недостаточность и т.п.).
- Прием препаратов глюкокортикостероидов на фоне НМГ.
Способ формирования выборки из изучаемой популяции
В ходе настоящего исследования применялся сплошной метод формирования выборки. Профили пациентов, отобранные с учетом вышеуказанных критериев, с помощью генератора случайных чисел распределены на основную и тестовую выборки в соотношении 80 и 20% соответственно.
Дизайн исследования
Многоцентровое ретроспективное сравнительное исследование.
Мобильное приложение для анализа данных самоконтроля пациента
МП для мониторинга глюкозы крови «DiaLog GM» (далее — МП) — экспериментальное программное обеспечение (ПО), разработанное нашим авторским коллективом в 2021–2022 гг. (Свидетельство о государственной регистрации программы для ЭВМ №2022665169, авторы: Русанов А.Н., Родионова Т.И., дата регистрации 11.08.2022 г.). МП предназначено для устройств под управлением операционной системы Android 4.4 и выше, на языке программирования Java; в настоящее время МП в большей степени адаптировано для работы с данными СМГК или результатами стационарного гликемического профиля. Тем не менее алгоритмы, лежащие в основе МП, могут быть применены к анализу данных НМГ. Основной экран МП представляет собой электронный журнал, в который ежедневно заносятся данные о состоянии гликемии, после чего информация сохраняется в базу данных формата SQL на мобильном устройстве. На основании внесенных данных рассчитываются следующие параметры гликемического контроля: число измерений ГК (n), среднее арифметическое значение ГК, индикатор контроля глюкозы (GMI), процент значений в целевом диапазоне (dTIR), процент значений выше целевого диапазона (dTAR), процент значений ниже целевого диапазона (dTBR), показатели вариабельности гликемии: стандартное отклонение гликемии (SD), коэффициент вариации гликемии (CV), средняя амплитуда колебаний глюкозы (MAGE), число колебаний гликемии >1SD (n-MAGE). Вычисление вышеуказанных параметров происходит в соответствии со стандартными формулами [10][11]. dTIR рассчитывается как процент измерений глюкозы крови в интервале 3,9–10,0 ммоль/л, dTAR — в интервале >10,0 ммоль/л, dTBR — в интервале <3,9 ммоль/л. Общие значения параметров dTAR, dTBR разделяются на 2 уровня в соответствии с критериями международного консенсуса по НМГ: dTAR1 — процент значений гликемии в диапазоне 10,0–13,9 ммоль/л, dTAR2 — в диапазоне >13,9 ммоль/л, dTBR1 — в диапазоне 3,0–3,9 ммоль/л, dTBR2 — в диапазоне <3,0 ммоль/л [1]. Также в МП присутствует графическое отображение данных, внесение индивидуальных целевых показателей гликемии, цветовая индикация значений гликемии вне целевого диапазона, возможность формирования сводного отчета в формате PDF. Пользовательский интерфейс МП представлен на рис. 1.

Рисунок 1. Пользовательский интерфейс разработанного мобильного приложения.
Непрерывный мониторинг глюкозы и расчет времени в целевом диапазоне
В качестве референсного теста использовался параметр TIR, рассчитанный на основании данных НМГ. Ввиду ранее указанных критериев включения, НМГ был выполнен с помощью системы Medtronic iPro 2 в течение 4–7 дней с обязательной калибровкой сенсора по уровню гликемии не менее 4 раз в сутки. TIR рассчитывался как процент измерений сенсора в интервале 3,9–10,0 ммоль/л, TBR — в интервале <3,9 ммоль/л, TAR — в интервале >10,0 ммоль/л соответственно.
Подготовка данных исследования
На первом этапе разработки прогностических моделей производилась генерация моделей 7-точечных гликемических профилей, которые в дальнейшем служили входными данными для алгоритмов прогноза TIR. В большинстве проанализированных профилей НМГ количество калибровочных значений глюкозы крови не превышало 4–5 измерений в сутки, в связи с чем для получения 7 измерений в сутки мы использовали единичные измерения сенсора НМГ, калиброванные по уровню гликемии в заданный момент времени. Данные журнала пациента переведены в массив, содержащий информацию о времени основных приемов пищи. Генерация 7-точечных профилей произведена с помощью компьютерного алгоритма на языке программирования Python (версия 3.11), который последовательно обрабатывал калиброванные измерения НМГ, параллельно определяя время приема пищи в соответствии с данными журнала пациента. Пре- и постпрандиальные измерения определялись 3 раза в день относительно времени основного приема пищи и через 2 часа после него, с добавлением случайного количества минут в интервалах [ -30; 0] и [ -30; 60] соответственно. Значение гликемии перед сном определялось как случайное измерение в интервале времени от 22:00 до 23:59. При отсутствии измерения в указанный момент времени производился поиск ближайшего значения глюкозы в интервале [ -30; 30] минут от рассчитанного; если в указанном интервале данные сенсора отсутствовали, регистрировался пропуск измерения. Элемент случайности добавлен в алгоритм для имитации реальной жизненной ситуации, в которой стопроцентная комплаентность пациентов относительно самоконтроля гликемии как правило недостижима.
Следующим этапом полученные 7-точечные гликемические профили последовательно загружались в МП для расчета ранее указанных параметров гликемического контроля. Эти данные, а также параметры TIR, TAR, TBR, рассчитанные на основании данных НМГ, составили окончательную базу данных исследования.
Дополнительные методы исследования
На основании электронных медицинских карт пациентов были собраны дополнительные данные на момент проведения НМГ для описания исследуемых групп, оценки критериев включения и исключения. В анализ включена следующая информация: возраст, пол, индекс массы тела (ИМТ), уровень HbA1c, режим инсулинотерапии (многократные инъекции инсулина — МИИ; непрерывная подкожная инфузия инсулина — НПИИ), суточная доза инсулина.
Статистический анализ
Статистический анализ выполнен с помощью пакетов прикладных программ SPSS Statistics (версия 27.0), Microsoft Office Excel 2019. Результаты описательной статистики представлены как медиана и межквартильный интервал — Me [Q1; Q3]. Гипотеза исследования заключалась в том, что одна или несколько разработанных прогностических моделей eTIR имеет/ют преимущество перед обычным подходом исследования параметра dTIR. Расчет минимального объема выборки выполнялся с учетом эмпирического правила: 10 случаев на один предиктор. Анализ различий между группами выполнен с помощью U-критерия Манна-Уитни, различия считались статистически значимыми при уровне p<0,05. Корреляционный анализ прогнозируемого параметра и потенциальных предикторов выполнен с применением коэффициента ранговой корреляции Спирмена (r). Для разработки прогностических моделей использовались методы простой линейной регрессии (ПЛР), множественной линейной регрессии (МЛР) с пошаговым включением предикторов. Анализ мультиколлинеарности предикторов проводился с помощью построения корреляционной матрицы, фактора инфляции дисперсии (VIF). В процессе разработки регрессионных моделей проводился анализ с целью выявления выбросов, их причин, с оценкой их влияния на коэффициенты линейной регрессии. Помимо традиционных методов прогнозирования, применялись методы МО на основании ИНС, реализованные с помощью пакета прикладных программ SPSS Statistics (версия 27.0). Оценка качества и сравнение прогностических моделей на тестовой выборке проводились с помощью анализа остатков моделей, t-критерия Стьюдента, коэффициента корреляции Пирсона, средней абсолютной ошибки (MAE), среднеквадратичной ошибки (MSE), квадратного корня из среднеквадратичной ошибки (RMSE), графиков Блэнда-Альтмана, регрессионного анализа для выявления систематической погрешности методов.
Этическая экспертиза
Проведение настоящего исследования одобрено Комитетом по этике ФГБОУ ВО Саратовский государственный медицинский университет им. В.И. Разумовского Минздрава России, протокол №4 от 07.11.2023 г.
РЕЗУЛЬТАТЫ
В исходный анализ вошли 1253 профиля профессионального НМГ пациентов с СД1, из них 568 соответствовали критериям включения и не имели критериев исключения. В основную группу включены 454 записи, в тестовую — 114 записей. Дизайн исследования и процесс отбора данных представлены на потоковой диаграмме (рис. 2). Общие характеристики групп представлены в табл. 1. Характеристика параметров НМГ и показателей, рассчитанных с помощью МП, составивших базу данных для разработки и оценки эффективности прогностических моделей, представлены в табл. 2. Статистически значимых различий между параметрами основной и тестовой групп не выявлено (p>0,05).

Рисунок 2. Потоковая диаграмма проведенного исследования.
Примечание: СД — сахарный диабет; НМГ — непрерывный мониторинг глюкозы; СМГК — самостоятельный мониторинг глюкозы крови; eTIR — расчетный (прогнозируемый) показатель времени в целевом диапазоне глюкозы.
Таблица 1. Общие характеристики групп, вошедших в исследование
|
Признак |
Основная группа (n=454) |
Тестовая группа (n=114) |
P |
|
Возраст, лет |
29 [ 23; 34] |
30 [ 22; 34] |
0,649 |
|
Пол |
0,866 |
||
|
Мужчины, n (%) |
219 (48) |
56 (49) |
|
|
Женщины, n (%) |
235 (52) |
58 (51) |
|
|
ИМТ, кг/м² |
24,7 [ 21,4; 28,3] |
24,5 [ 21,3; 28,3] |
0,625 |
|
Длительность СД, лет |
8 [ 5; 13] |
8 [ 5; 14] |
0,195 |
|
HbA1c, % |
8,3 [ 7,7; 9,0] |
8,4 [ 7,8; 9,0] |
0,612 |
|
Режим инсулинотерапии |
0,528 |
||
|
МИИ, n (%) |
355 (79%) |
86 (75%) |
|
|
НПИИ, n (%) |
99 (21%) |
28 (25%) |
|
|
Суточная доза инсулина, МЕ |
52 [ 44; 77] |
57 [ 45; 79] |
0,192 |
Примечание: ИМТ — индекс массы тела; HbA1c — уровень гликированного гемоглобина; МИИ — режим множественных инъекций инсулина; НПИИ — режим непрерывной подкожной инфузии инсулина. Данные представлены как медиана и межквартильный интервал Me [ Q1; Q3].
Таблица 2. Параметры мониторинга гликемии в основной и тестовой группах исследования
|
Признак |
Основная группа (n=454) |
Тестовая группа (n=114) |
P |
|
Данные НМГ |
|||
|
TIR, % |
41 [ 30; 54] |
40 [ 29; 53] |
0,590 |
|
TAR, % |
56 [ 41; 69] |
56 [ 42; 68] |
0,786 |
|
TBR, % |
2 [ 0; 4] |
2 [ 0; 5] |
0,286 |
|
Число измерений сенсора НМГ |
1821 [ 1654; 1950] |
1844 [ 1718; 1936] |
0,562 |
|
Период НМГ, дней |
6 [ 5; 7] |
6 [ 5; 7] |
0,457 |
|
Данные, рассчитанные с помощью мобильного приложения на основании СМГК |
|||
|
Глюкоза крови средняя, ммоль/л |
10,6 [ 9,1; 12,2] |
10,8 [ 9,2; 12,1] |
0,815 |
|
GMI, % |
7,9 [ 7,2; 8,6] |
8,0 [ 7,3; 8,5] |
0,827 |
|
dTIR, % |
45 [ 33; 65] |
43 [ 33; 58] |
0,678 |
|
dTAR, % |
51 [ 34; 65] |
54 [ 36; 63] |
0,808 |
|
dTAR1, % |
25 [ 18; 31] |
26 [ 19; 32] |
0,649 |
|
dTAR2, % |
22 [ 12; 37] |
23 [ 13; 36] |
0,687 |
|
dTBR, % |
2 [ 0; 6] |
2 [ 0; 6] |
0,215 |
|
dTBR1, % |
2 [ 0; 4] |
2 [ 0; 5] |
0,129 |
|
dTBR2, % |
0 [ 0; 2] |
0 [ 0; 2] |
0,807 |
|
SD, ммоль/л |
4,2 [ 3,6; 4,5] |
4,3 [ 3,8; 5,0] |
0,206 |
|
CV, % |
39 [ 34; 45] |
40 [ 36; 45] |
0,154 |
|
MAGE, ммоль/л |
8,1 [ 6,6; 9,5] |
8,5 [ 7,0; 9,9] |
0,068 |
|
n-MAGE |
14 [ 13; 15] |
14 [ 13; 15] |
0,205 |
|
Общее число измерений |
47 [ 44; 48] |
47 [ 45; 48] |
0,630 |
Примечание: НМГ — непрерывный мониторинг глюкозы; СМГК — самостоятельный мониторинг глюкозы крови; TIR — время в целевом диапазоне; TAR — время выше целевого диапазона; TBR — время ниже целевого диапазона; GMI — индикатор контроля глюкозы; dTIR — общий процент значений в целевом диапазоне; dTAR — процент значений выше целевого диапазона; dTAR1 — dTAR 1 уровня; dTAR2 — dTAR 2 уровня; dTBR — процент значений ниже целевого диапазона; dTBR1 — dTBR 1 уровня; dTBR2 — dTBR 2 уровня; SD — стандартное отклонение гликемии; CV — коэффициент вариации гликемии; MAGE — средняя амплитуда колебаний гликемии; n-MAGE — число колебаний >1 SD. Данные представлены как медиана и межквартильный интервал Me [ Q1; Q3]; P — значимость различий между группами.
Корреляция TIR(НМГ) — HbA1c: r=-0,697, p<0,001; dTIR(МП) — HbA1c: r=-0,650, p<0,001. Результаты корреляционного анализа зависимости TIR(НМГ) от показателей, рассчитанных с помощью МП: TIR(НМГ) — n(МП): r=0,122; p=0,009; TIR(НМГ) — средняя ГК(МП): r=-0,915; p<0,001; TIR(НМГ) — GMI(МП): r=-0,914; p<0,001; TIR(НМГ) — TAR2(МП): r=-0,874; p<0,001;TIR(НМГ) — dTAR2(МП): r=-0,874; p<0,001; TIR(НМГ) — dTAR1(МП): r=-0,346; p<0,001; TIR(НМГ) — dTAR(МП): r=-0,937; p<0,001; TIR(НМГ) — dTIR(МП): r=0,932; p<0,001; TIR(НМГ) — dTBR1(МП): r=0,507; p<0,001; TIR(НМГ) — dTBR2(МП): r=0,251; p<0,001; TIR(НМГ) — dTBR(МП): r=0,484; p<0,001; TIR(НМГ) — SD(МП): r=-0,478; p<0,001; TIR(НМГ) — CV(МП): r=0,350; p<0,001; TIR(НМГ) — MAGE(МП): r=-0,454; p<0,001; TIR(НМГ) — n-MAGE(МП): r=0,180; p<0,001. Корреляционная матрица параметров TIR(НМГ), TAR(НМГ), TBR (НМГ) и потенциальных предикторов (данные МП) представлена на рис. 3.

Рисунок 3. Корреляционная матрица параметров,
полученных с помощью непрерывного мониторинга глюкозы
и мобильного приложения DiaLogGM.
Примечание: НМГ — непрерывный мониторинг глюкозы; МП — мобильное приложение; TIR — время в целевом диапазоне; TAR — время выше целевого диапазона; TBR — время ниже целевого диапазона; GMI — индикатор контроля глюкозы; dTIR — общий процент значений в целевом диапазоне; dTAR — процент значений выше целевого диапазона; dTAR1 — dTAR 1 уровня; dTAR2 — dTAR 2 уровня; dTBR — процент значений ниже целевого диапазона; dTBR1 — dTBR 1 уровня; dTBR2 — dTBR 2 уровня; SD — стандартное отклонение гликемии; CV — коэффициент вариации гликемии; MAGE — средняя амплитуда колебаний гликемии; n-MAGE — число колебаний >1 SD; * — p=0,05–0,001; ** — p<0,001.
Между параметрами TIR(НМГ) и dTIR(МП) ожидаемо наблюдалась выраженная положительная корреляция. В соответствии с корреляционной матрицей из дальнейшего анализа были исключены переменные с сильной взаимосвязью (r>0,7) по отношению к dTIR: средняя ГК(МП), r=-0,904, p<0,001; GMI(МП), r=-0,904, p<0,001; dTAR2(ПМ), r=-0,868, p<0,001; dTAR(МП), r=-0,868, p<0,001. Оставшиеся переменные включены в множественный линейный регрессионный анализ с пошаговым добавлением предикторов и алгоритмы прогнозирования на базе ИНС.
По результатам регрессионного анализа наиболее значимыми предикторами, включенными в модель с помощью пошагового метода, являлись dTIR(МП), dTBR1(МП), SD(МП). Процесс пошагового включения, коэффициенты регрессии, их значимость, результаты анализа на мультиколлинеарность, R² моделей представлены в табл. 3.
Таблица 3. Результаты множественного регрессионного анализа
с пошаговым включением предикторов
|
Модель |
Предикторы |
Коэффициенты |
P |
VIF |
R² |
|
Регрессионная модель 1 (dTIR) |
Константа |
0,048 |
0,950 |
- |
0,844 |
|
dTIR (МП) |
0,923 |
<0,001 |
1,000 |
||
|
Регрессионная модель 2 (dTIR, dTBR1) |
Константа |
0,350 |
0,614 |
- |
0,898 |
|
dTIR (МП) |
0,871 |
<0,001 |
1,135 |
||
|
dTBR1 (МП) |
0,739 |
<0,001 |
1,135 |
||
|
Регрессионная модель 3 (dTIR, dTBR1, SD) |
Константа |
5,099 |
0,007 |
- |
0,907 |
|
dTIR (МП) |
0,846 |
<0,001 |
1,560 |
||
|
dTBR1 (МП) |
0,753 |
<0,001 |
1,141 |
||
|
SD (МП) |
-0,865 |
0,007 |
1,396 |
Примечание: МП — мобильное приложение DialogGM; dTIR — процент значений в целевом диапазоне; dTBR1 — процент значений ниже целевого диапазона 1 уровня; SD — стандартное отклонение гликемии; P — значимость включенного предиктора; VIF — фактор инфляции дисперсии; R2 — коэффициент детерминации регрессионной модели.
Формула модели ПЛР с параметром dTIR в качестве предиктора:
eTIR = 0,048 + 0,923 × dTIR
Формула модели МЛР с параметрами dTIR, dTBR1, SD в качестве предикторов:
eTIR = 5,099 + 0,846 × dTIR + 0,753 × dTBR1 – 0,865 × SD
Архитектура разработанной ИНС представляла собой многослойный перцептрон (МСП). В процессе обучения ИНС на базе ПО SPSS Statistics основная группа случайным образом разделялась на обучающую и валидационную выборки в соотношении 75% (340 записей) и 25% (114 записей), таким образом, соотношение между обучающей, валидационной и тестовой выборками составило 60:20:20%. Перед включением переменных в модель ИНС данные были нормализованы и стандартизованы с помощью встроенного алгоритма SPSS. В качестве алгоритма оптимизации ИНС использовался метод градиентного спуска. Количество слоев и нейронов подбиралось эмпирическим путем по принципу «от простого к сложному». В ходе серии экспериментов наименьшую RMSE (4,617%) на валидационной выборке показала нейросеть с двумя внутренними полносвязными слоями на 10 и 6 нейронов с сигмоидной функцией активации. Нормализованная значимость (“normalized importance”) для параметров, включенных в ИНС, составила: dTIR(МП) — 100%, SD(МП) — 55,5%, CV(МП) — 32,0%, dTBR1(МП) — 25,1%, MAGE(МП) — 19,0%, dTAR1 — 13,4%, dTBR2 — 8,3%, dTBR — 7,8%, n-MAGE — 4,0%. Также в окончательный анализ прогностических моделей включена ИНС, созданная на основе автоматического подбора слоев и нейронов в программе SPSS, содержащая 1 внутренний полносвязный слой из 7 нейронов с функцией активации гиперболический тангенс; RMSE — 6,639%, нормализованная значимость параметров: dTIR(МП) — 100%, SD(МП) — 41,0%, CV(МП) — 33,9%, dTBR1(МП) — 17,6%, MAGE(МП) — 17,1%, dTAR1 — 14,2%, dTBR2 — 11,5%, dTBR — 9,1%, n-MAGE — 6,8%. Для обеих ИНС использовалось следующее правило остановки обучения: 1 последовательный шаг без уменьшения погрешности на 0,0001%. Данные тестовой выборки были полностью исключены из процесса обучения ИНС. Архитектура разработанных ИНС представлена на рис. 4.

Рисунок 4. Архитектура разработанных моделей искусственных нейронных сетей.
Примечание: НМГ — непрерывный мониторинг глюкозы; TIR — время в целевом диапазоне; dTIR — общий процент значений в целевом диапазоне; dTAR1 — процент значений выше целевого диапазона 1 уровня; dTBR — процент значений ниже целевого диапазона; dTBR1 — dTBR 1 уровня; dTBR2 — dTBR 2 уровня; SD — стандартное отклонение гликемии; CV — коэффициент вариации гликемии; MAGE — средняя амплитуда колебаний гликемии; n-MAGE — число колебаний >1 SD.
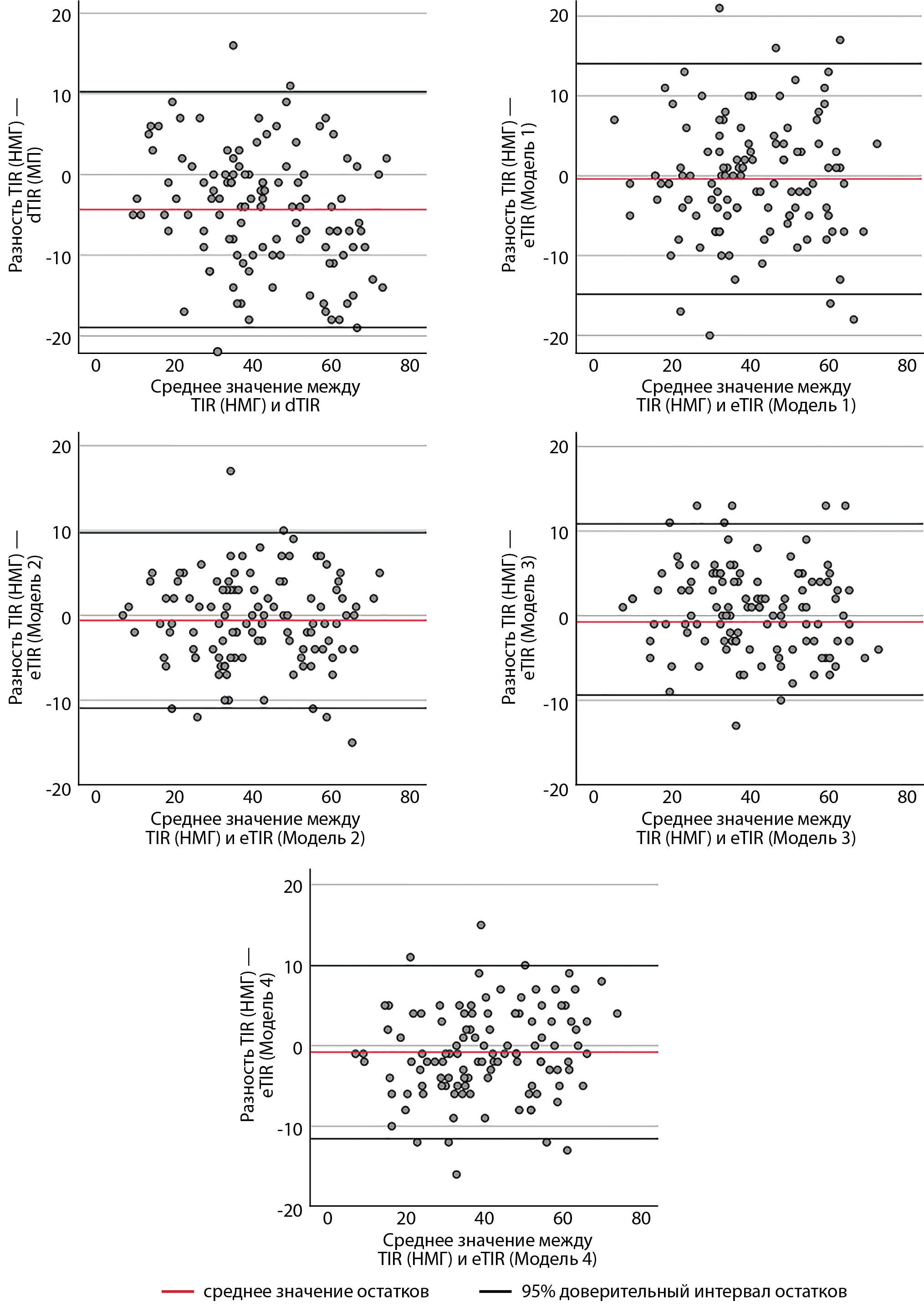
В финальный анализ прогностических моделей на тестовой выборке включены следующие методы исследования: расчет dTIR, разработанные модели прогнозирования eTIR: Модель 1 (ПЛР, предиктор — dTIR); Модель 2 (МЛР, предикторы — dTIR, dTBR1, SD); Модель 3 (ИНС с 2 внутренними слоями по 10 и 6 нейронов), Модель 4 (ИНС с автоматическим подбором количества слоев и нейронов: 1 внутренний слой из 7 нейронов). Предсказанные значения составили: dTIR — 43 [ 33; 58,25], Модель 1 — 39 [ 30,75; 54], Модель 2 — 39 [ 31,75; 55], Модель 3 — 40 [ 32; 55], Модель 4 — 40 [ 31; 55]. Результаты прогноза на тестовой выборке представлены в табл. 4. При анализе остатков были выявлены значимые различия между расчетом dTIR и всеми разработанными прогностическими моделями (p<0,001). При сравнении остатков моделей между собой значимость различий составила: Модель 1 — Модель 2, p=0,005; Модель 1 — Модель 3, p=0,004; Модель 1 — Модель 4, p=0,014; Модель 2 — Модель 3, p=0,895; Модель 2 — Модель 4, p=0,713; Модель 3 — Модель 4, p=0,615. Графики Блэнда-Альтмана для разработанных моделей представлены на рисунке 5. При оценке взаимосвязи остатков и среднего значения между eTIR и TIR(НМГ) β-коэффициент линейной регрессии составил для dTIR: -0,118, p=0,006; для Модели 1: 0,000, p=0,995; для Модели 2: -0,020, p=0,957; для Модели 3: -0,032, p=0,318; для Модели 4: 0,056, p=0,094. Таким образом, диагностирована статистически значимая систематическая погрешность для прогноза с помощью параметра dTIR на тестовой выборке, для моделей прогноза 1, 2, 3, 4 систематическая погрешность не выявлена.
Таблица 4. Результаты валидации стандартных и разработанных методов
прогнозирования времени в целевом диапазоне на тестовой выборке
|
Модель |
Остатки |
r |
MAE |
MSE |
RMSE |
||
|
Среднее значение |
Стандартное отклонение |
95% доверительный интервал |
|||||
|
Исследование dTIR |
-4,34 |
7,45 |
[ -18,95; 7,45] |
0,920 |
6,82 |
73,94 |
8,60 |
|
Модель 1 (ПЛР; dTIR) |
-0,40 |
7,36 |
[ -14,83; 14,04] |
0,892 |
5,66 |
53,90 |
7,34 |
|
Модель 2 (МЛР; dTIR, dTBR1, SD) |
-0,59 |
5,27 |
[ -10,93; 9,74] |
0,936 |
4,18 |
27,93 |
5,28 |
|
Модель 3 (ИНС; 2 слоя) |
-0,74 |
5,16 |
[ -9,37; 10,86] |
0,940 |
4,14 |
26,96 |
5,19 |
|
Модель 4 (ИНС; 1 слой) |
-0,81 |
5,49 |
[ -11,56; 9,95] |
0,932 |
4,44 |
30,51 |
5,52 |
Примечание: TIR — время в целевом диапазоне; dTIR — процент значений в целевом диапазоне; dTBR1 — процент значений ниже целевого диапазона 1 уровня; SD — стандартное отклонение гликемии; ПЛР — простая линейная регрессия; МЛР — множественная линейная регрессия; ИНС — искусственная нейронная сеть; Модель 1 — модель простой линейной регрессии, предиктор — dTIR; Модель 2 — модель множественной линейной регрессии, предикторы — dTIR, dTBR1, SD; Модель 3 (ИНС с 2 внутренними слоями по 10 и 6 нейронов); Модель 4 (ИНС с автоматическим подбором количества слоев и нейронов: 1 внутренний слой из 7 нейронов); r — коэффициент корреляции Пирсона между предсказанным и реальным TIR; MAE — средняя абсолютная ошибка; MSE — среднеквадратичная ошибка; RMSE — квадратный корень из среднеквадратичной ошибки.

Рисунок 5. Графики Блэнда-Альтмана для разработанных прогностических моделей.
Примечание: НМГ — непрерывный мониторинг глюкозы; TIR — время в целевом диапазоне; dTIR — процент значений в целевом диапазоне; eTIR — предсказанное время в целевом диапазоне; Модель 1 — модель простой линейной регрессии, предиктор — dTIR; Модель 2 — модель множественной линейной регрессии, предикторы — dTIR, dTBR1, SD; Модель 3 (ИНС с 2 внутренними слоями по 10 и 6 нейронов); Модель 4 (ИНС с автоматическим подбором количества слоев и нейронов: 1 внутренний слой из 7 нейронов).
ОБСУЖДЕНИЕ
Репрезентативность выборок
Следует с осторожностью экстраполировать результаты проведенного исследования на генеральную совокупность пациентов с СД1. Требуются дальнейшие исследования возможности применения вышеописанных моделей прогноза у пациентов с СД1 других возрастных групп, при сочетании СД1 и беременности. Большинство исследований НМГ, включенных в настоящее исследование, проводилось в стационарных условиях.
Сопоставление с другими публикациями
Beck N. и соавт. описали тесную взаимосвязь TIR(НМГ) и HbA1c (r=0,67), что согласуется с полученными нами результатами (r=0,697) [7]. Стоит отметить, что основной целью работы Beck N. и соавт. являлось предсказание HbA1c на основании данных НМГ, результатом чего стало внедрение в клиническую практику параметра GMI. В нашей работе, с учетом предсказания TIR, на основании данных СМГК, мы сознательно отошли от параметра HbA1c в качестве предиктора TIR, ввиду различной динамики изменения HbA1c и TIR. В результате проведенного корреляционного анализа ожидаемо была найдена сильная положительная связь между TIR и dTIR (r=0,932), параметр dTIR стал основой для разработки линейных моделей прогнозирования TIR. Алгоритмы искусственного интеллекта также определили dTIR как самый значимый показатель прогнозирования TIR(НМГ): в Моделях 3 и 4 на основе ИНС нормализованная значимость dTIR составила 100%.
В ретроспективном исследовании Sun R. и соавт. описывается разработка прогностических моделей eTIR на основании ПЛР (предиктор — HbA1c), МЛР (предикторы: HbA1c, пре- и постпрандиальная ГК), модели МО «случайный лес» (предикторы: HbA1c, пре- и постпрандиальная ГК) [6]. RMSE при СД2 для указанных моделей составила 21,79, 19,18, 18,48 соответственно, что указывало на потенциальное преимущество модели «случайный лес». В проведенном нами исследовании с участием пациентов с СД1 RMSE составила: dTIR — 8,60%, Модель 1 — 7,34%, Модель 2 — 5,28%, Модель 3 — 5,19%, Модель 4 — 5,52%; MAE: dTIR — 6,82%, Модель 1 — 5,66%, Модель 2 — 4,18%, Модель 3 — 4,14%, Модель 4 — 4,44%. Средняя погрешность предсказанного TIR, приближающаяся к 5% (особенно для Моделей 2, 3, 4), свидетельствует о достаточно высокой точности расчета eTIR, превосходящую ранее разработанные алгоритмы прогнозирования. Безусловно, предсказание TIR на основании HbA1с, пре- и постпрандиальной ГК представляет интерес с точки зрения анализа больших баз данных, регистров пациентов с СД, содержащих ограниченную информацию о состоянии гликемического контроля. Однако, согласно результатам нашей работы, в клинической практике при анализе данных 7-точечного гликемического профиля представляется более перспективным использовать показатели dTIR или eTIR для прогнозирования TIR(НМГ). В исследовании Sun R. и соавт. применялся метод генерации моделей СМГК, основанный на поиске локальных минимумов и максимумов в стандартные часы приема пищи, для определения пре-, постпрандиальных значений ГК. В нашем исследовании для аналогичной задачи применялся компьютерный алгоритм, реализующий параллельный анализ НМГ и журналов пациента, с выбором калиброванных измерений в зависимости от времени основных приемов пищи, что, с нашей точки зрения, является более приближенным к реальной жизни подходом. Для окончательного выявления наиболее эффективного метода прогнозирования TIR среди пациентов с СД2 требуются дополнительные исследования в данной популяции.
Клиническая значимость результатов
Представленное в данной статье МП DiaLog GM имеет хороший потенциал для использования в клинической практике, позволяя комплексно исследовать и интерпретировать показатели гликемического контроля у пациента с СД, помочь врачу в принятии решений относительно лечения СД, облегчить обучение пациентов принципам самоконтроля. В дальнейшем, ввиду большого количества глюкометров и систем мониторинга глюкозы с различной точностью измерений, представляется наиболее рациональным использовать данное ПО вместе с определенными уже разработанными или новыми (в приоритете — отечественными) моделями глюкометров, НМГ.
По результатам проведенного исследования удалось выявить потенциальные предикторы для прогнозирования TIR(НМГ) на основании данных СМГК: в моделях линейной регрессии — dTIR, dTBR1, SD; в моделях с применением ИИ — проценты значений в различных диапазонах глюкозы (dTIR, dTAR1, dTBR, dTBR1, dTBR2), показатели вариабельности гликемии (SD, CV, MAGE, n-MAGE).
В рамках настоящей работы параметр dTIR показал неплохие результаты в качестве интегрального показателя TIR(НМГ) по сравнению с уже проведенными работами в данной области [6][7]. Тем не менее использование традиционных и современных методов прогнозирования позволило значимо уменьшить ошибку предсказанных значений TIR. Наилучшие результаты на тестовой выборке показали модель ИНС с двумя скрытыми слоями (Модель 3): RMSE — 5,19%; MAE — 4,14%; модель МЛР (Модель 2): RMSE — 5,28%; MAE — 4,18%. Несколько худший результат показала модель ИНС с одним скрытым слоем (Модель 4): RMSE — 5,52%; MAE — 4,44%, что, возможно, указывает на преимущество ручной настройки гиперпараметров ИНС перед автоматической в SPSS. Все вышеуказанные модели имели лучшие результаты по сравнению с моделью ПЛР (Модель 1). Модель МЛР с использованием dTIR, dTBR2, SD в качестве предикторов может быть достаточно просто интегрирована в клиническую практику с помощью выше представленной формулы. Интеграция в клиническую практику ИНС с целью предсказания TIR также может оказаться полезным инструментом оценки качества гликемического контроля. Наличие в нашем арсенале эффективного ПО для мониторинга ГК может ускорить этот процесс ввиду поддержки платформой Android специализированных библиотек Keras и Tensorflow, широко применяющихся для практической реализации алгоритмов ИНС.
Ограничения исследования
В исследование включены пациенты с СД1 преимущественно молодого возраста с достаточно длительным анамнезом. Данные НМГ, вошедшие в анализ, получены преимущественно в стационарных условиях, в связи с чем выборка настоящего исследования содержала данные пациентов с более нестабильными показателями гликемического контроля, чем в общей популяции СД1. Также значимым ограничением настоящего исследования являлось использование гипотетических моделей СМГК для разработки алгоритмов прогноза TIR. С помощью отбора хорошо калиброванных по уровню ГК данных НМГ и специально разработанного алгоритма генерации профилей СМГК мы постарались минимизировать влияние этого фактора. Тем не менее требуется дополнительная клиническая валидация разработанных прогностических моделей на реальных данных СМГК.
Направления дальнейших исследований
В продолжение проведенной работы планируется дальнейшая разработка алгоритмов прогноза данных, полученных с помощью НМГ на основании различных методов МО и искусственного интеллекта. Планируется интеграция разработанных моделей прогноза в МП и их клиническая валидация в рамках проспективного исследования, а также работы с целью преодоления приведенных ранее ограничений. Ввиду использования общепризнанных методов расчета параметров гликемического контроля в разработанном МП, созданные модели прогноза доступны для внешней валидации.
ЗАКЛЮЧЕНИЕ
В результате проведенного исследования с применением методов линейной регрессии и МО нами разработаны 4 модели прогноза TIR на основании данных СМГК и специализированного МП для анализа данных. В процессе предварительной оценки эффективности на тестовой выборке наиболее перспективными оказались модель ИНС с двумя полносвязными слоями, а также модель МЛР с параметрами dTIR, dTBR, SD в качестве предикторов. Требуются дальнейшие исследования разработанных моделей с целью их клинической валидации. Интегральный параметр dTIR имеет сильную взаимосвязь с TIR(НМГ), однако прогнозирование TIR(НМГ) с помощью показателя eTIR может оказаться более перспективным методом оценки суточного гликемического статуса пациента без необходимости использования НМГ. Такой подход может дать расширенную информацию о состоянии гликемического контроля пациента, использующего СМГК, оптимизировать режим инсулинотерапии при СД1, что в конечном итоге приведет к достижению индивидуальных целевых показателей гликемического контроля, уменьшению риска развития диабетических осложнений, улучшению качества жизни пациента.
ДОПОЛНИТЕЛЬНАЯ ИНФОРМАЦИЯ
Источники финансирования. Работа выполнена по инициативе авторов без привлечения финансирования.
Конфликт интересов. Авторы декларируют отсутствие явных и потенциальных конфликтов интересов, связанных с содержанием настоящей статьи.
Участие авторов. Русанов А.Н. — разработка дизайна исследования, сбор и анализ данных, интерпретация результатов, написание текста статьи; Родионова Т.И. — разработка дизайна исследования, финальный анализ данных и интерпретация результатов, редактирование текста статьи. Все авторы одобрили финальную версию статьи перед публикацией, выразили согласие нести ответственность за все аспекты работы, подразумевающую надлежащее изучение и решение вопросов, связанных с точностью или добросовестностью любой части работы.
Список литературы
1. Battelino T, Danne T, Bergenstal RM, et al. Clinical Targets for Continuous Glucose Monitoring Data Interpretation: Recommendations From the International Consensus on Time in Range. Diabetes Care. 2019;42(8):1593-1603. https://doi.org/10.2337/dci19-0028
2. Суплотова Л.А., Судницына А.С., Романова Н.В., Шестакова М.В. Время нахождения в целевом диапазоне гликемии — инструмент оценки качества гликемического контроля при сахарном диабете // Сахарный диабет. — 2021. — Т. 24. — №3. — С. 282-290. https://doi.org/10.14341/DM12703
3. Janapala RN, Jayaraj JS, Fathima N, et al. Continuous Glucose Monitoring Versus Self-monitoring of Blood Glucose in Type 2 Diabetes Mellitus: A Systematic Review with Meta-analysis. Cureus. 2019;11(9):e5634. https://doi.org/10.7759/cureus.5634
4. Shan R, Sarkar S, Martin SS. Digital health technology and mobile devices for the management of diabetes mellitus: state of the art. Diabetologia. 2019;62(6):877-887. https://doi.org/10.1007/s00125-019-4864-7
5. Bergenstal RM, Hachmann-Nielsen E, Kvist K, et al. Increased Derived Time in Range Is Associated with Reduced Risk of Major Adverse Cardiovascular Events, Severe Hypoglycemia, and Microvascular Events in Type 2 Diabetes: A Post Hoc Analysis of DEVOTE. Diabetes Technol Ther. 2023;25(6):378-383. https://doi.org/10.1089/dia.2022.0447
6. Sun R, Duan Y, Zhang Y, et al. Time in Range Estimation in Patients with Type 2 Diabetes is Improved by Incorporating Fasting and Postprandial Glucose Levels. Diabetes Ther. 2023;14(8):1373-1386. https://doi.org/10.1007/s13300-023-01432-2
7. Beck RW, Bergenstal RM, Cheng P, et al. The Relationships Between Time in Range, Hyperglycemia Metrics, and HbA1c. J Diabetes Sci Technol. 2019;13(4):614-626. https://doi.org/10.1177/1932296818822496
8. Климонтов В.В., Бериков В.Б., Сайк О.В. Искусственный интеллект в диабетологии // Сахарный диабет. — 2021. — Т. 24. — №2. — С. 156-166. https://doi.org/10.14341/DM12665
9. Li K, Daniels J, Liu C, Herrero P, Georgiou P. Convolutional Recurrent Neural Networks for Glucose Prediction. IEEE J Biomed Health Inform. 2020;24(2):603-613. https://doi.org/10.1109/JBHI.2019.2908488
10. Yapanis M, James S, Craig ME, O’Neal D, Ekinci EI. Complications of Diabetes and Metrics of Glycemic Management Derived From Continuous Glucose Monitoring. J Clin Endocrinol Metab. 2022;107(6):e2221-e2236. https://doi.org/10.1210/clinem/dgac034
11. Bergenstal RM, Beck RW, Close KL, et al. Glucose Management Indicator (GMI): A New Term for Estimating A1C From Continuous Glucose Monitoring. Diabetes Care. 2018;41(11):2275-2280. https://doi.org/10.2337/dc18-158
Об авторах
А. Н. РусановРоссия
Русанов Арсений Николаевич - ассистент кафедры эндокринологии.
410031, Саратов, улица Большая Горная, д. 43А
Конфликт интересов:
Авторы декларируют отсутствие явных и потенциальных конфликтов интересов, связанных с содержанием настоящей статьи
Т. И. Родионова
Россия
Родионова Татьяна Игоревна - д.м.н., профессор; ResearcherID: ABC-2921-2020; Scopus Author ID: 7004712772.
Саратов
Конфликт интересов:
Авторы декларируют отсутствие явных и потенциальных конфликтов интересов, связанных с содержанием настоящей статьи
Дополнительные файлы
|
|
1. Рисунок 1. Пользовательский интерфейс разработанного мобильного приложения. | |
| Тема | ||
| Тип | Исследовательские инструменты | |
Посмотреть
(246KB)
|
Метаданные ▾ | |
|
|
2. Рисунок 2. Потоковая диаграмма проведенного исследования. | |
| Тема | ||
| Тип | Исследовательские инструменты | |
Посмотреть
(318KB)
|
Метаданные ▾ | |
|
|
3. Рисунок 3. Корреляционная матрица параметров, полученных с помощью непрерывного мониторинга глюкозы и мобильного приложения DiaLogGM. | |
| Тема | ||
| Тип | Исследовательские инструменты | |
Посмотреть
(879KB)
|
Метаданные ▾ | |
|
|
4. Рисунок 4. Архитектура разработанных моделей искусственных нейронных сетей. | |
| Тема | ||
| Тип | Исследовательские инструменты | |
Посмотреть
(431KB)
|
Метаданные ▾ | |
|
|
5. Рисунок 5. Графики Блэнда-Альтмана для разработанных прогностических моделей. | |
| Тема | ||
| Тип | Исследовательские инструменты | |
Посмотреть
(577KB)
|
Метаданные ▾ | |
Рецензия
Для цитирования:
Русанов А.Н., Родионова Т.И. Прогнозирование времени в целевом диапазоне глюкозы с помощью экспериментального мобильного приложения при сахарном диабете 1 типа. Сахарный диабет. 2024;27(2):130-141. https://doi.org/10.14341/DM13111
For citation:
Rusanov A.N., Rodionova T.I. Time in range prediction using the experimental mobile application in type 1 diabetes. Diabetes mellitus. 2024;27(2):130-141. (In Russ.) https://doi.org/10.14341/DM13111
Контент доступен под лицензией Creative Commons Attribution-NonCommercial-NoDerivatives 4.0 International License (CC BY-NC-ND 4.0).









































