Перейти к:
Влияние эмпаглифлозина на развитие хронической сердечной недостаточности после инфаркта миокарда у пациентов с сахарным диабетом 2 типа по данным 12-месячного проспективного исследования
https://doi.org/10.14341/DM10099
Аннотация
ОБОСНОВАНИЕ. Хотя позитивные сердечно-сосудистые эффекты эмпаглифлозина доказаны, его влияние на формирование сердечной недостаточности (СН) после инфаркта миокарда (ИМ) у пациентов с сахарным диабетом 2 типа (СД2) остается неизученным.
ЦЕЛЬ. Изучить влияние эмпаглифлозина на формирование хронической СН у лиц, перенесших ИМ и имеющих сопутствующий СД2, при 12-месячном наблюдении.
МЕТОДЫ. В исследование включили 47 больных с ИМ и СД2, из которых 21 получал стандартную терапию ИМ и диабета (группа 1), а 26 больным в дополнение назначали эмпаглифлозин (группа 2). Пациентов обследовали через 3 и 12 мес для оценки динамики гликемии, показателей теста с 6-минутной ходьбой, Эхо-КГ.
РЕЗУЛЬТАТЫ. В постинфарктном периоде показатели теста с 6-минутной ходьбой увеличились у всех больных, но в 1-й группе – в меньшей степени (р=0,18), чем во 2-й (на 49,5%, р=0,0004). Фракция выброса левого желудочка возросла в большей степени в группе 2 (р=0,002). Исходно доли больных СН со сниженной и промежуточной фракцией выброса в 1-й и 2-й группах составляли 85,7% и 82,4% (р=0,56), но к 12-му месяцу постинфарктного периода уменьшились до 71,4% и 29,4% соответственно (р=0,012). Прием эмпаглифлозина в комбинации с другими препаратами в течение года обеспечил улучшение диастолической функции более чем у трети больных (р=0,041). В динамике, через 12 мес наблюдения, систолическое давление в легочной артерии в контрольной группе возросло на 10,4% (р=0,041), а в группе 2 – снизилось на 24,0% (р=0,019). Показатели гликемии в динамике были лучше в основной группе.
ЗАКЛЮЧЕНИЕ. По данным 12-месячного наблюдения, эмпаглифлозин оказывает корригирующее воздействие на формирование хронической СН и тяжесть ее клинических проявлений у больных, перенесших ИМ и страдающих СД2. В его основе лежит способность препарата улучшать состояние сердца, включая улучшение гемодинамики малого круга, систолической и диастолической функции, снижение риска хронической СН со сниженной и промежуточной фракцией выброса.
Для цитирования:
Некрасов А.А., Тимощенко Е.С., Стронгин Л.Г., Некрасова Т.А., Баранова А.А., Ботова С.Н., Тимощенко М.В., Ярославцева М.А. Влияние эмпаглифлозина на развитие хронической сердечной недостаточности после инфаркта миокарда у пациентов с сахарным диабетом 2 типа по данным 12-месячного проспективного исследования. Сахарный диабет. 2019;22(4):348-357. https://doi.org/10.14341/DM10099
For citation:
Nekrasov A.A., Timoschenko E.S., Strongin L.G., Nekrasova T.A., Baranova A.A., Botova S.N., Timoschenko M.V., Yaroslavtseva M.A. The effect of empagliflozin on the development of chronic heart failure after myocardial infarction according to a 12-month prospective study. Diabetes mellitus. 2019;22(4):348-357. (In Russ.) https://doi.org/10.14341/DM10099
Несмотря на достигнутые в последние годы успехи в профилактике сердечно-сосудистых осложнений у больных СД2, кардиоваскулярные нарушения по-прежнему относятся к главным причинам госпитализаций, инвалидизации и смертности пациентов с данной патологией.
В том числе, СД2 ассоциируется с высоким риском развития хронической сердечной недостаточности (ХСН) как за счет большей распространенности и тяжести сердечно-сосудистых заболеваний (ССЗ) на фоне диабета, так и независимо от них, за счет кардиоваскулярной нейропатии [1].
С точки зрения риска формирования ХСН при сочетании ССЗ и СД2 особое место занимает негативное влияние нарушений углеводного обмена на течение инфаркта миокарда (ИМ) и постинфарктного периода: так, по данным одного из отечественных регистров, СД выявляется у 25,8% больных ИМ, причем их госпитальная летальность в 1,5 раза превышает аналогичные показатели среди больных без СД [2].
Очевидно, что для минимизации негативного влияния СД на течение ИМ и постинфарктного периода необходимо эффективное лечение диабета, что подразумевает использование препаратов, отвечающих следующим требованиям:
- способность обеспечивать стойкий гликемический контроль;
- отсутствие высокой вариабельности гликемии (минимальный риск гипогликемий);
- отсутствие негативного влияния на массу тела и другие факторы, связанные с сердечно-сосудистым риском;
- доказанная способность замедлять развитие ХСН;
- возможные дополнительные положительные эффекты на состояние сердца и сосудистого русла.
Перечисленным критериям соответствуют ингибиторы натрий-глюкозного котранспортера 2 типа (иНГЛТ-2), особенно эмпаглифлозин, назначение которого является приоритетным при наличии сердечной недостаточности [3, 4, 5], что отражено как в алгоритмах ведения больных СД [1], так и в рекомендациях Европейского общества кардиологов (класс IIa, уровень В) [6].
В настоящее время зарегистрировано дополнительное показание к назначению эмпаглифлозина, которым стало снижение риска сердечно-сосудистой смерти у взрослых больных СД2 с высоким сердечно-сосудистым риском. Таким образом, эмпаглифлозин стал первым препаратом для лечения СД2 с дополнительным сердечно-сосудистым назначением, отраженным в инструкции по его применению [7]. О практической пользе эмпаглифлозина для этой категории больных говорит и промежуточный анализ результатов лечения 35 000 пациентов в исследовании EMPRISE, подтвердивший, что эмпаглифлозин снижает риск госпитализаций по поводу ХСН на 44% по сравнению с терапией ингибиторами дипептидилпептидазы 4 типа (иДПП4), по данным реальной клинической практики [8].
Данный препарат эффективен, не способствует гипогликемиям, ведет к снижению массы тела [1, 9–11], уменьшает риск госпитализаций по причине сердечной недостаточности на 35% (в том числе у больных, исходно не имевших ХСН) [3, 4], характеризуется такими позитивными плейотропными эффектами, как уменьшение артериального давления без роста частоты сердечных сокращений [4, 12], снижение уровня мочевой кислоты в крови [4, 13], нефропротективное действие с улучшением тубуло-интерстициальных взаимодействий, уменьшением воспалительных изменений в почках и микроальбуминурии [9, 14, 15], снижение потребности в инсулине [9], симпатической активности сердца и риска аритмий [16].
При этом позитивный эффект эмпаглифлозина на сердечно-сосудистые риски оказался столь значительным, что его трудно объяснить даже комбинированным воздействием всех перечисленных факторов. Механизмы, опосредующие эти эффекты, остаются предметом научного интереса как эндокринологов, так и кардиологов [17–19]; предполагается важная патогенетическая роль и гемодинамических [19, 20], и метаболических воздействий [21, 22]. В том числе, замедлению прогрессирования ХСН на фоне терапии эмпаглифлозином могут способствовать связанные с усилением натрийуреза и осмотического диуреза гемодинамические изменения, включая уменьшение преднагрузки (за счет снижения застоя и объема циркулирующей крови) и постнагрузки (за счет уменьшения артериального давления, общего периферического сопротивления, повышения эластичности сосудистых стенок, с последующим улучшением кровотока в субэндокардиальных артериях) [23, 24].
Данные эффекты эмпаглифлозина могли бы быть крайне полезными в раннем постинфарктном периоде: в это время особенно активно происходит сердечно-сосудистое ремоделирование с формированием ХСН, и корригирующее влияние терапии на указанные процессы может быть максимальным.
Даже при опоре на современные алгоритмы ведения постинфарктных больных (с применением ингибиторов АПФ, сартанов, антагонистов минералокортикоидных рецепторов, бета-блокаторов, двойной антитромбоцитарной терапии), перенесенный ИМ остается в числе главных причин прогрессирования ХСН, что отчасти может быть связано с множественностью ее патогенетических механизмов (включая иммуновоспалительные, нейрогормональные, эндотелиальные, микроваскулярные, коморбидные и другие факторы) [25–28]. Очевидно, что даже перечисленные выше эффективные препараты из арсенала кардиолога не могут воздействовать на все многочисленные звенья патогенеза ХСН, и в этом смысле их потенциал по улучшению клинических исходов после ИМ ограничен.
Дополнительное снижение резидуального риска ХСН после ИМ может быть достигнуто при внедрении новых препаратов, с иными точками приложения, к которым может относиться и эмпаглифлозин.
Однако, несмотря на наличие столь весомых теоретических предпосылок, опыт применения эмпаглифлозина после перенесенного ИМ ограничен, а его воздействие на процессы формирования ХСН в постинфарктном периоде требует изучения, что и определило цель настоящего исследования.
ЦЕЛЬ
Изучить влияние эмпаглифлозина на формирование ХСН у больных, перенесших ИМ и имеющих сопутствующий СД2, в ходе 12-месячного проспективного исследования.
МЕТОДЫ
Дизайн работы
Открытое сравнительное проспективное исследование с параллельными группами.
Критерии соответствия
В исследование включались больные, госпитализированные в кардиологическое отделение с ИМ, имеющие установленный ранее диагноз сопутствующего СД2 и получавшие терапию сахароснижающими препаратами (кроме иНГЛТ-2; эмпаглифлозин пациентам основной группы назначали на госпитальном или в самом начале амбулаторного периода, на 10–30-й день после ИМ). Критериями исключения были лимфопролиферативные, онкологические и тяжелые декомпенсированные соматические болезни, беременность, лактация, наркотическая и алкогольная зависимость, отказ от проведения визитов динамического наблюдения через 3 и 12 мес после включения в исследование.
Условия проведения
Исследование проводилось на клинических базах ГБУЗ НО «ГКБ №5» и ГБУЗ НО «ГКБ №13» Нижнего Новгорода. В него включались все больные, соответствующие критериям включения и не имеющие критериев исключения, проходившие лечение в профильном отделении ГБУЗ НО «ГКБ №13» (декабрь 2016-февраль 2017) или ГБУЗ НО «ГКБ №5» (апрель-май 2017).
Продолжительность исследования
Исследование проведено в период с декабря 2016 г. по май 2018 г.; набор пациентов происходил с декабря 2016 г. по май 2017 г. Больные были обследованы на 10–30-й день, через 3 мес и через 1 год после ИМ.
Описание медицинского вмешательства
В фокусе исследования были показатели, характеризующие состояние сердечно-сосудистой системы (прежде всего, тяжесть ХСН), а также гликемический контроль. На этапе проспективного наблюдения отслеживали динамику клинических данных, показателей гликемии в течение суток, гликированного гемоглобина и результатов теста 6-минутной ходьбы (исходно, через 3 и 12 мес). Помимо этого, у 38 больных (21 пациент в контрольной группе и 17 – в основной) на 10-й день и через 1 год после развития ИМ проводили Эхо-кардиографическое исследование (Эхо-КГ) для оценки морфофункционального состояния миокарда, а также 24-часовое ЭКГ-мониторирование (ЭКГ-МТ).
Основной исход исследования
В динамике оценивали дистанцию 6-минутной ходьбы. С помощью Эхо-КГ определяли толщину межжелудочковой перегородки (ТМЖП), размер левого предсердия (ЛП), фракцию выброса левого желудочка (ФВ), его конечный диастолический и систолический объемы (КДО и КСО), систолическое давление в легочной артерии (СДЛА). Рассчитывали разницу между значениями СДЛА в начале и конце исследования (∆ СДЛА). На основании индивидуальной оценки комплекса параметров трансмитрального кровотока (скорости раннего и позднего заполнения левого желудочка и их отношение, время замедления скорости раннего заполнения и изоволюметрического расслабления) делали заключение о наличии или отсутствии признаков диастолической дисфункции (ДД) левого желудочка (ЛЖ); ее типы отдельно не анализировались в связи с относительно небольшим числом пациентов. Посредством ЭКГ-МТ оценивали суточные показатели количества наджелудочковых и желудочковых экстрасистол (НЖЭС и ЖЭС), длительность наджелудочковых и желудочковых тахиаритмий (НЖТ и ЖТ).
Методы регистрации исходов
Наряду с применением стандартных клинических, лабораторных и инструментальных методик проводилось Эхо-КГ-исследование с помощью сканера Toshiba Aplio MX (Япония). Диагностика кардиоваскулярной автономной нейропатии (КАН) проводилась в начале постгоспитального периода с помощью «классических» тестов, включая пробу Вальсальвы, оценку реакции частоты сердечных сокращений и систолического артериального давления на ортостатическую пробу, тест с динамометром. Параметры углеводного обмена оценивались по гликемии капиллярной крови и уровню HbA1c. Гликемия капиллярной крови во время госпитализации оценивалась с помощью стационарных лабораторных анализаторов, через 3 и 12 мес после ИМ – с помощью индивидуальных глюкометров по данным самоконтроля. HbA1c определялся количественным методом иммуноингибирования на аппарате Olympus AU 400 (Япония), с применением реактивов той же фирмы.
Анализ в подгруппах
Всех участников исследования разделили на две группы наблюдения. При формировании групп учитывали особенности развития сопутствующего СД2 и наличие другой коморбидной патологии; все пациенты были консультированы эндокринологом. В результате 21 больной получал стандартную терапию ИМ и диабета (группа 1, контроль), а оставшиеся 26 больных, в дополнение к ней, на 10–30-й день после развития ИМ начинали длительный прием эмпаглифлозина в дозе 25 мг (группа 2, основная). При выборе дозировки препарата учитывали важность быстрого достижения гликемического контроля для больных СД2, перенесших ИМ (по данным EMPA-REG Outcome, снижение гликемии на фоне эмпаглифлозина носит дозозависимый характер, хотя обе его стандартные дозы (10 и 25 мг) имеют сходное действие на сердечно-сосудистые исходы [4]).
Обе группы были сопоставлены по исходным показателям и наблюдались в течение года, с проведением контрольных визитов через 3 и 12 мес наблюдения.
Этическая экспертиза
Исследование было одобрено локальным этическим комитетом ГБУЗ НО «ГКБ №5» Нижнего Новгорода (протокол №7 от 18.05.2016). Все пациенты, включенные в исследование, подписывали информированное согласие.
Статистический анализ
Для статистической обработки применяли пакет программ Statistica 7.0. При сравнении выборок использовали метод Манна-Уитни для количественных показателей, критерии Фишера и χ2 для качественных параметров. При оценке динамики количественных данных применялась ANOVA Фридмана (для множественных измерений) и критерий Вилкоксона (для парных измерений). При оценке динамики качественных показателей использовали критерий Мак-Немара. При проведении корреляционного анализа использовали метод Спирмена. Для описания выборок применяли среднее и стандартное отклонение (M±SD). Различия считали статистически значимыми при p<0,05.
РЕЗУЛЬТАТЫ
Объекты (участники) исследования
Обследовано 47 больных с ИМ и сопутствующим СД2, из которых 21 получал стандартную терапию ССЗ и диабета (группа 1), а 26 больным в дополнение к ней на 10–30-й день после ИМ назначали эмпаглифлозин в дозе 25 мг (группа 2).
Основные результаты исследования
Исходно 1-я и 2-я группы были сопоставимы по основным демографическим, клиническим и лабораторным характеристикам (табл. 1), включая пол, возраст, клинический вариант ИМ, наличие и выраженность осложнений раннего постинфарктного периода, функциональный класс (ФК) недостаточности кровообращения, наличие в анамнезе острого нарушения мозгового кровообращения (ОНМК), постинфарктного кардиосклероза (ПИКС), КАН, длительность СД2, число коронарных артерий (КА) с гемодинамически значимыми стенозами по данным селективной коронарографии, доли больных, подвергнутых чрескожным коронарным вмешательством (ЧКВ), а также индекс массы тела (в контроле – 32,0±5,96 кг/м2, в основной группе – 32,0±4,62 кг/м2) и другие параметры (р>0,05 по всем показателям).
Таблица 1. Клиническая характеристика больных основной и контрольной групп наблюдения (на момент госпитализации).
|
Показатель |
Группа 1 (контроль) n=21 |
Группа 2 (эмпаглифлозин) n=26 |
р |
|
Возраст, лет |
62,4±6,80 |
65,1±6,05 |
0,28 |
|
Мужской пол, % |
9 (42,8%) |
9 (34,6%) |
0,56 |
|
Q-ИМ, % |
14 (66,7%) |
12 (46,1%) |
0,27 |
|
Отек легких, % |
6 (28,6%) |
4 (15,4%) |
0,46 |
|
ФК по Killip |
1,8±1,08 |
1,6±0,72 |
0,78 |
|
ОНМК в анамнезе, % |
3 (14,3%) |
3 (11,5%) |
0,87 |
|
ПИКС в анамнезе, % |
3 (14,3%) |
2 (7,6%) |
0,64 |
|
КАН, % |
13 (61,9%) |
17 (65,3%) |
0,95 |
|
Длительность СД, лет |
9,1±6,03 |
10,1±6,46 |
0,71 |
|
КА с гемодинамически значимыми стенозами |
2,7±0,53 |
2,6±0,58 |
0,63 |
|
ЧКВ, % |
17 (80,9%) |
20 (76,9%) |
0,98 |
|
Креатинин, мкмоль/л. |
99,9±37,52 |
90,2±18,09 |
0,71 |
|
АлАТ, Ед/л |
52,6±33,74 |
44,5±28,33 |
0,49 |
|
АсАТ, Ед/л |
186,5±217,48 |
135,3±121,49 |
0,64 |
|
Тропонин I, нг/мл |
23,0±17,39 |
20,1±13,90 |
0,67 |
|
ХС ЛПНП, ммоль/л |
3,6±0,89 |
3,0±0,58 |
0,13 |
|
НbА1c,% |
8,8±0,86 |
9,3±1,60 |
0,49 |
Примечания: ИМ – инфаркт миокарда; ФК – функциональный класс; ОНМК – острое нарушение мозгового кровообращения; ПИКС – постинфарктный кардиосклероз; КАН – кардиоваскулярная автономная нейропатия; КА – коронарные артерии; ЧКВ – чрескожное коронарное вмешательство.
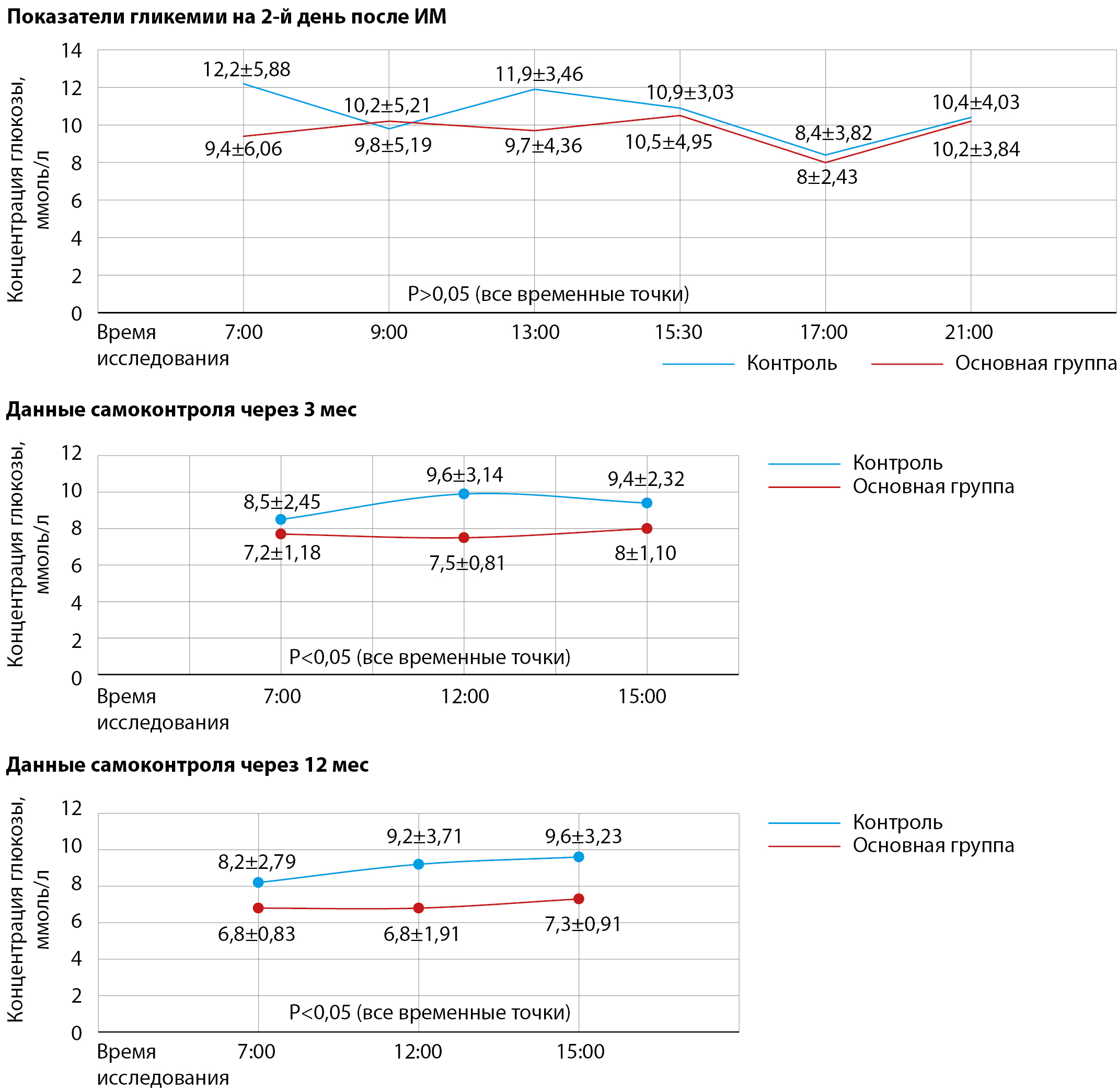
Кроме того, исходно группы не различались по показателям гликемического контроля, включая данные мониторирования уровня глюкозы и гликированный гемоглобин (НbА1c) (см. табл. 1, рис. 1, 2).
Рис. 1. Сравнительная характеристика показателей гликемии в изучаемых группах на разных сроках наблюдения: время определения уровня глюкозы, день 2: 7:00, 9:00, 13:00, 15:30, 17:00, 21:00. Время определения уровня глюкозы, день через 3 и 12 мес по данным самоконтроля: 7:00, 12:00, 15:00.
Рис. 2. Гликированный гемоглобин в контрольной (группа 1) и основной (группа 2) группах (%) в динамике: Рдин. контр.=0,012, Рдин. осн. гр.=0,0001, Р1–2 гр. исходно = 0,49; Р1–2 гр. 3 мес = 0,086; Р1–2 гр. 12 мес = 0,001
В обеих группах было сходным лечение СД и ишемической болезни сердца на момент включения в исследование. Метформин получали 11 (52,4%) и 18 (69,2%) больных контрольной и основной группы соответственно, препараты сульфонилмочевины – 14 (66,7%) и 13 (50,0%), инсулинотерапию – 4 (19,0%) и 7 (26,9%). Антагонисты минералокортикоидных рецепторов получали по 16 (76,2% и 61,5%) пациентов в 1-й и 2-й группах наблюдения (р>0,05 по всем показателям). Все получали статины, ингибиторы АПФ или сартаны, бета-блокаторы, двойную антитромбоцитарную терапию. При этом из статинов чаще всего назначался аторвастатин в дозе 40 мг в сутки, который получали 16 больных группы 1 (76,2%) и 21 больной группы 2 (80,8%). При проведении двойной антитромбоцитарной терапии самым часто назначаемым ингибитором Р2Y12-рецепторов тромбоцитов был клопидогрел (18 больных в контрольной группе (85,7%) и 22 – в основной (84,6%)); в остальных случаях использовали тикагрелор.
Тактика ведения больных в остром периоде ИМ также была сходной в обеих группах. ЧКВ было проведено 17 больным в 1-й (80,9%) и 20 – во 2-й группе (76,9%, р=0,98). Среди больных с Q-ИМ первичное ЧКВ применялось у 6 (28,6%) и 4 (15,4%) пациентов соответственно; ранняя фармакоинвазивная стратегия – у 7 и 6 человек (33,3% и 23,1%); госпитализация в поздние сроки с последующей консервативной терапией имела место у 1 (4,7 %) и 2 (7,6%) больных (р>0,05 по всем показателям).
В клиническом плане точной и надежной характеристикой процесса формирования и прогрессирования ХСН (в том числе в постинфарктном периоде) является оценка динамики теста 6-минутной ходьбы.
Как видно из представленных в табл. 2 данных, в ходе проспективной фазы исследования дистанция 6-минутной ходьбы увеличилась в обеих группах наблюдения, что можно считать закономерным в свете постепенного восстановления функции миокарда после перенесенной острой сердечно-сосудистой катастрофы. В то же время у лиц контрольной группы ее улучшение было незначимым (р=0,18), а на фоне приема эмпаглифлозина – существенным и статистически значимым (возрастание на 49,5%, р=0,0004). В результате, к концу первого года наблюдения, появились прежде отсутствовавшие значимые межгрупповые различия по данному показателю в пользу основной группы больных (р=0,015). Характерно, что однонаправленные благоприятные тенденции выявлялись уже к 3-му месяцу наблюдения, хотя и не достигали порога статистической значимости (р=0,10).
Таблица 2. Динамика показателей теста 6-минутной ходьбы и эхокардиографии у больных основной и контрольной группы.
|
Показатель |
Группа 1 (контроль) |
Группа 2 (эмпаглифлозин) |
Р 1-2 |
|
Тест 6-минутной ходьбы, м - 10-й день - 3 мес - 12 мес Р дин исх-3 мес-12 мес |
317,8±93,01 333,7±113,5 336,5±124,23 0,18 |
315,2±62,32 384,1±64,43 459,9±220,57 0,0004 |
0,82 0,10 0,015 |
|
ТМЖП, см - исходно - 12 мес Р дин исх-12 мес |
1,3±0,18 1,3±0,19 0,071 |
1,3±0,27 1,3±0,22 0,061 |
0,71 0,72 |
|
СДЛА, мм рт.ст. - исходно - 12 мес Р дин исх-12 мес |
30,9±9,24 34,1±11,48 0,041 |
37,9±17,18 28,8±7,06 0,019 |
0,12 0,11 |
|
∆ СДЛА, мм рт.ст. |
4,7±8,62 |
-9,85±14,79 |
0,001 |
|
ФВ, % - исходно - 12 мес Р дин исх-12 мес |
44,3±7,33 48,9±7,03 0,006 |
47,8±5,71 53,9±4,67 0,002 |
0,076 0,038 |
|
ЛП, см - исходно - 12 мес Р дин исх-12 мес |
5,0±0,55 5,2±0,55 0,067 |
5,1±0,56 5,0±0,62 0,53 |
0,68 0,28 |
|
КДО, мл - исходно - 12 мес Р дин исх-12 мес |
116,3±37,33 110,8±28,43 0,75 |
128,5±40,57 113,5±22,25 0,078 |
0,34 0,75 |
|
КСО, мл - исходно - 12 мес Р дин исх-12 мес |
66,3±26,33 62,9±19,70 0,96 |
65,4±24,12 54,1±15,27 0,17 |
0,91 0,15 |
|
ДД, n (%) - исходно - 12 мес Р дин исх-12 мес |
19 (90,5%) 20 (95,2%) 1,0 |
16 (94,1%) 10 (58,8%) 0,041 |
0,84 0,020 |
Примечания: ТМЖП – толщина межжелудочковой перегородки; СДЛА – систолическое давление в легочной артерии; ∆ СДЛА – разница между значениями СДЛА в начале и конце исследования; ФВ – фракция выброса левого желудочка; ЛП – размер левого предсердия; КДО и КСО – конечные диастолический и систолический объемы левого желудочка, ДД – диастолическая дисфункция.
В целом полученные данные свидетельствуют о корригирующем воздействии эмпаглифлозина на выраженность клинических проявлений ХСН у больных, перенесших ИМ и страдающих СД2.
Динамика морфофункционального состояния миокарда по Эхо-КГ оценивалась по ряду показателей, в том числе по параметрам, прямо или косвенно отражавшим состояние сократительной функции ЛЖ. ФВ ЛЖ ожидаемо увеличилась в обеих группах наблюдения, но более значимо – на фоне приема эмпаглифлозина (р=0,002), чем и было обусловлено появление значимых межгрупповых различий через 12 мес после ИМ (в пользу основной группы, р=0,015). Если исходно доли больных сердечной недостаточностью со сниженной и промежуточной ФВ в контрольной и основной группах составляли 85,7% и 82,4% (р=0,56), то к 12-му месяцу постинфарктного периода они уменьшились до 71,4% и 29,4% соответственно (р=0,012).
Диастолическая дисфункция выявлялась у большинства пациентов (табл. 2), отражая характерные для постинфарктного периода изменения в виде нарушений активной релаксации, растяжимости и наполнения ЛЖ, также сопряженные с риском ухудшения системной гемодинамики и прогрессирования ХСН. Прием эмпаглифлозина в течение года обеспечил улучшение диастолической функции более чем у трети больных (р=0,041), что выгодно отличало основную группу от контрольной (р=0,020).
Изменения диастолической функции и сократимости ЛЖ (по ФВ) были логично взаимосвязаны с динамикой другого параметра, СДЛА, что, по-видимому, отражало развитие пассивной легочной гипертензии (ЛГ) у части больных на фоне снижения насосной функции ЛЖ и появления застоя по малому кругу кровообращения. В динамике СДЛА в контроле возросло (р=0,041), а в основной группе – значимо снизилось (р=0,019); число больных ЛГ в 1-й группе имело тенденцию к возрастанию (38,1% и 47,6%, р=0,48), во 2-й – стало меньше (58,8% и 23,5%, р=0,042). Особенно показательными оказались различия 1-й и 2-й групп по среднему показателю ∆ СДЛА за время исследования (4,7±8,62 и -9,85±14,79 мм рт. ст., р=0,001, см. табл. 2).
Вероятно, именно улучшение диастолической функции ЛЖ на фоне приема эмпаглифлозина обеспечивало большее снижение давления в системе легочной артерии и улучшение показателей теста 6-минутной ходьбы, учитывая, что фракция выброса ЛЖ увеличилась в обеих группах наблюдения, хоть и более существенно на фоне приема эмпаглифлозина.
При оценке структурно-геометрических особенностей камер сердца существенных межгрупповых различий выявлено не было, при наличии слабых, приближающихся к порогу статистической значимости тенденций к увеличению ЛП в контрольной группе (р=0,067) и к снижению КДО в основной группе (р=0,078). Это подтверждает благоприятное влияние эмпаглифлозина на течение сердечно-сосудистого ремоделирования и хорошо согласуется с описанными ранее функциональными особенностями миокарда в разных группах.
Позитивное влияние эмпаглифлозина на морфофункциональное состояние миокарда дает патогенетическое обоснование его корригирующего эффекта в отношении клинических проявлений ХСН при сочетанной патологии (по тесту 6-минутной ходьбы, см. выше).
В свою очередь, механизмы позитивного влияния эмпаглифлозина на морфофункциональную перестройку сердца в постинфарктном периоде требуют уточнения; не исключен определенный патогенетический вклад в них таких факторов, как устойчивый контроль гликемии при ее минимальной вариабельности, коррекция некоторых факторов сердечно-сосудистого риска (особенно ИМТ), снижение активности симпатических влияний на сердце (что, помимо возможного влияния на структурно-геометрическую перестройку сердца, может также снижать риски аритмий).
Действительно, применение эмпаглифлозина в составе комплексной терапии способствовало лучшему контролю уровня гликемии при снижении ее суточной вариабельности, что наглядно представлено на рис. 1. При этом поддержание целевого уровня гликемии носило устойчивый характер, о чем говорит более выраженное и статистически значимое снижение НbА1c в постинфарктном периоде у больных основной группы наблюдения (р=0,001, см. рис. 2).
Лечение СД2 в основной группе к концу года также претерпело существенные изменения по сравнению с контролем: помимо продолжения приема эмпаглифлозина в дозе 25 мг, данная группа отличалась большей долей больных, получавших метформин (61,9% и 88,5%, р=0,043), и меньшими долями лиц, находившихся на терапии препаратами сульфонилмочевины (52,4% и 19,2%, р=0,034) и инсулина (47,6% и 19,2%, р=0,039).
ИМТ в контроле менялся неоднозначно, при общей тенденции к увеличению относительно исходного значения (при включении в исследование – 32,0±5,96, через 3 мес – 32,8±5,89, через год – 32,3±5,99 кг/м2), в основной же группе он достоверно снизился (32,0±4,62, 31,6±4,70 и 31,5±4,26 кг/м2 соответственно, р=0,04). При этом статистически значимых межгрупповых различий не выявлялось (р1-2 гр >0,05 на всех визитах). Динамика ИМТ, скорее всего, отражает меньшую степень гемодинамических нарушений и застоя на фоне длительного приема эмпаглифлозина. Следует учитывать и возможное негативное влияние увеличенного ИМТ на течение ССЗ.
Косвенным подтверждением снижения симпатической активности на фоне лечения эмпаглифлозином может служить меньшее, по сравнению с контролем, число экстрасистол и средней продолжительности эпизодов тахиаритмий к концу периода наблюдения, что потенциально должно способствовать снижению разнообразных сердечно-сосудистых рисков (включая возможность развития ургентных аритмий и негативного влияния на гемодинамику). Так, при сопоставлении показателей ЭКГ-МТ через 10 дней и 12 мес после ИМ в контроле было отмечено увеличение среднего количества НЖЭС в 7 раз (с 78,4±91,49 до 555,8±1114,31 в сутки, р=0,001), ЖЭС – в 1,5 раза (с 345,0±841,30 до 545,8±1042,02 в сутки, р=0,013), средней продолжительности НЖТ – в 1,6 раза (с 2,4±3,69 до 3,85±3,57 минут, р=0,008), ЖТ – в 4,2 раза (с 0,4±1,02 до 1,7±2,20 минут, р=0,028). При этом динамические изменения аналогичных показателей ЭКГ-МГ в основной группе не были значимыми (p>0,05 во всех случаях).
В то же время, по данным корреляционного анализа, не имелось значимых взаимосвязей между фактом развития в постинфарктном периоде ХСН со сниженной или промежуточной ФВ, с одной стороны, и перечисленными выше факторами – с другой (показатели гликемического контроля, ИМТ и его увеличение, наличие тахиаритмий по ЭКГ-МТ). Однако имелась статистически значимая обратная корреляционная связь между развитием ХСН со сниженной или промежуточной ФВ и фактом назначения эмпаглифлозина (R=-0,40, р=0,022).
При наблюдении за пациентами в течение года, в основной группе не было зафиксировано случаев госпитализации в кардиологические отделения и повторных ИМ; в контроле число таких больных составило соответственно 3 (14,3%) и 2 (9,5%) человека.
Нежелательные явления
У включенных в исследование больных за время наблюдения не возникало нежелательных явлений, которые, по мнению их лечащих врачей, могли быть связаны с проведенными в рамках данной работы медицинскими манипуляциями.
ОБСУЖДЕНИЕ
Резюме основного результата исследования
В группе пациентов с ИМ и сопутствующим СД2, получавших эмпаглифлозин, отмечалась меньшая, по сравнению с контролем, тяжесть формирующейся в постинфарктном периоде ХСН, что подтверждалось клиническими данными (большие показатели теста 6-минутной ходьбы через 3 и 12 мес после ИМ) и динамикой Эхо-КГ (лучшие показатели систолической, диастолической функции миокарда и легочной гемодинамики).
Обсуждение основного результата исследования
Полученные данные свидетельствуют о корригирующем воздействии эмпаглифлозина на выраженность клинических проявлений ХСН у больных, перенесших ИМ и страдающих СД2. Судя по динамике показателей теста 6-минутной ходьбы, положительное влияние эмпаглифлозина на тяжесть формирующейся в постинфарктном периоде ХСН сохраняется как минимум на протяжении года после ИМ, при том, что начальные благоприятные сдвиги, на уровне тенденций, могут возникать в значительно более ранние сроки.
Динамика показателей морфофункционального состояния миокарда по Эхо-КГ подтверждает кардиопротективные свойства эмпаглифлозина: препарат благоприятно влияет на течение постинфарктного ремоделирования миокарда у больных с сопутствующим СД2, препятствует ухудшению систолической функции сердца, улучшает релаксацию ЛЖ, гемодинамику малого круга, ограничивает ЛГ. Лучшее, по сравнению с контролем, структурно-функциональное состояние миокарда во многом объясняет корригирующее действие эмпаглифлозина в отношении клинических проявлений ХСН в постинфарктном периоде.
В свою очередь, механизмы реализации благоприятного воздействия эмпаглифлозина на постинфарктный миокард могут иметь сложный и многокомпонентный характер.
Так, определенный вклад в торможение структурно-функциональной перестройки миокарда могло внести улучшение гликемического контроля, отмечавшееся в основной группе на протяжении всего периода наблюдения. Однако отрицательные результаты корреляционного анализа, а также значительная выраженность клинико-функциональных отличий основной группы от контрольной при сравнительном анализе предполагали существование и других, не связанных с гликемией, механизмов реализации корригирующего эффекта препарата на постинфарктное ремоделирование.
В пользу существования таких механизмов говорят и результаты недавних экспериментальных исследований, согласно которым, использование эмпаглифлозина после ИМ у недиабетических животных способствовало торможению постинфарктного ремоделирования по Эхо-КГ, а также снижению степени гипертрофии кардиомиоцитов и фиброза [29, 30].
Помимо улучшения показателей гликемии, на фоне 12-месячного применения эмпаглифлозина мы наблюдали снижение ИМТ и частоты нарушений ритма по данным ЭКГ-мониторирования (что косвенно говорит о коррекции избыточных симпатических влияний на миокард у пациентов основной группы наблюдения). Нельзя исключить, что эти, благоприятные с точки зрения сердечно-сосудистого риска, изменения вносили свой вклад в поддержание приемлемого структурно-функционального статуса миокарда и способствовали более благоприятному клиническому течению постинфарктного периода. В то же время, судя по данным корреляционного анализа, роль этих механизмов в рамках общего позитивного влияния эмпаглифлозина на развитие ХСН в постинфарктном периоде была ограниченной.
Итак, кардиопротективные эффекты эмпаглифлозина у больных СД2, перенесших ИМ, могут быть отчасти опосредованы такими факторами, как улучшение гликемического контроля, снижение вариабельности гликемии, коррекция симпатических влияний на миокард и других факторов сердечно-сосудистого риска (ИМТ), но не исчерпываются ими.
Механизмы реализации благоприятного влияния эмпаглифлозина на сердечно-сосудистую систему, по-видимому, носят более сложный многофакторный характер и требуют дальнейшего уточнения. Судя по литературным данным, не исключена значительная роль способности эмпаглифлозина подавлять оксидативный стресс и вести к более эффективному метаболизму миокарда за счет повышенной утилизации кетоновых тел, в том числе в постинфарктном периоде [30].
В то же время необходимость изучения этих механизмов не должна ограничивать применение эмпаглифлозина у пациентов с СД2 и ССЗ, особенно при наличии ИБС. В том числе, результаты нашего проспективного исследования подтверждают целесообразность возможно более раннего назначения эмпаглифлозина больным с ИМ, имеющим сопутствующий СД2.
Ограничения исследования
К ограничениям настоящего исследования относятся сравнительно небольшое число участников (47 человек) и не превышающая 12 мес длительность периода динамического наблюдения.
ЗАКЛЮЧЕНИЕ
По данным 12-месячного наблюдения, эмпаглифлозин оказывает корригирующее воздействие на формирование ХСН и тяжесть ее клинических проявлений у больных, перенесших ИМ и страдающих СД2.
В его основе лежит способность препарата улучшать морфофункциональное состояние сердца, замедлять процессы постинфарктного ремоделирования, улучшать гемодинамику малого круга, функциональное состояние ЛЖ.
Кардиопротективные эффекты эмпаглифлозина у больных СД2, перенесших ИМ, могут быть отчасти опосредованы улучшением гликемического контроля, коррекцией ИМТ и симпатических влияний на миокард, но не исчерпываются этими факторами и требуют дальнейшего уточнения.
ДОПОЛНИТЕЛЬНАЯ ИНФОРМАЦИЯ
Источник финансирования. Исследование проведено при поддержке ГБУЗ НО «ГКБ №5» и ГБУЗ НО «ГКБ №13» Нижнего Новгорода.
Конфликт интересов. Авторы декларируют отсутствие явных и потенциальных конфликтов интересов, связанных с публикацией настоящей статьи.
Участие авторов. Некрасов А.А. – участие в разработке дизайна и организации исследования, сборе материала, анализе данных; Тимощенко Е.С. – участие в разработке дизайна, организации исследования, наборе материала; Стронгин Л.Г. – участие в разработке дизайна и организации исследования, сборе материала, анализе данных; Некрасова Т.А. – участие в сборе материала, анализе данных, статистическая обработка материала; Баранова А.А. – участие в разработке плана исследования, сборе материала, анализе данных; Ботова С.Н. – участие в организации исследования, сборе клинического материала; Тимощенко М.В. – участие в сборе клинического материала и анализе результатов; Ярославцева М.А. – участие в сборе клинического материала и анализе результатов. Все авторы внесли существенный вклад в проведение исследования и подготовку статьи, прочили и одобрили её финальную версию до публикации.
Список литературы
1. Дедов И.И., Шестакова М.В., Майоров А.Ю., и др. Алгоритмы специализированной медицинской помощи больным сахарным диабетом. / Под ред. Дедова И.И., Шестаковой М.В., Майорова А.Ю. – 8-й выпуск // Сахарный диабет. — 2017. — Т. 20. — №1S. — С. 1-121. [Dedov II, Shestakova MV, Mayorov AY, et al. Dedov II, Shestakova MV, Mayorova AY, editors. Algorithms of specialized medical care for patients with diabetes mellitus. 8th ed. Diabetes mellitus. 2017;20(1S):1-121. (In Russ.)] doi: https://doi.org/10.14341/DM20171S8
2. Стронгин Л.Г., Бушуева А.В., Починка И.Г., Ботова С.Н. Сахарный диабет и госпитальная летальность при инфаркте миокарда. Данные госпитального регистра острого коронарного синдрома // Медицинский альманах. — 2018. — №4. — С. 174-177. [Strongin LG, Bushueva AV, Pochinka IG, Botova SN. Diabetes mellitus and hospital mortality in myocardial infarction. The data of the hospital registry of acute coronary syndrome. Medical Almanac. 2018;(4):174-177. (In Russ.)] doi: https://doi.org/10.21145/2499-9954-2018-4-174-177
3. Fitchett D, Zinman B, Wanner C, et al. Heart failure outcomes with empagliflozin in patients with type 2 diabetes at high cardiovascular risk: results of the EMPA-REG OUTCOME(R) trial. Eur Heart J. 2016;37(19):1526-1534. doi: https://doi.org/10.1093/eurheartj/ehv728
4. Zinman B, Wanner C, Lachin JM, et al. Empagliflozin, Cardiovascular Outcomes, and Mortality in Type 2 Diabetes. N Engl J Med. 2015;373(22):2117-2128. doi: https://doi.org/10.1056/NEJMoa1504720
5. Balijepalli C, Shirali R, Kandaswamy P, et al. Cardiovascular Safety of Empagliflozin Versus Dipeptidyl Peptidase-4 (DPP-4) Inhibitors in Type 2 Diabetes: Systematic Literature Review and Indirect Comparisons. Diabetes Ther. 2018;9(4):1491-1500. doi: https://doi.org/10.1007/s13300-018-0456-7
6. Vettor R, Inzucchi SE, Fioretto P. The cardiovascular benefits of empagliflozin: SGLT2-dependent and -independent effects. Diabetologia. 2017;60(3):395-398. doi: https://doi.org/10.1007/s00125-016-4194-y
7. Инструкция по медицинскому применению лекарственного препарата Джардинс®. https://www.boehringer-ingelheim.ru/sites/ru/files/files/jardiance_22-10-2018.pdf [Instructions for the medical use of Jardiance® https://www.boehringer-ingelheim.ru/sites/ru/files/files/jardiance_22-10-2018.pdf]
8. Patorno E, Pawar A, Franklin J, et al. Empagliflozin and the risk of heart failure hospitalization in routine clinical care: a first analysis from the empagliflozin comparative effectiveness and safety (emprise) study. In: Poceedings of the American Heart Association Scientific Sessions 2018; 2018 Nov 10-12; Chicago, IL.
9. Vallon V, Thomson SC. Targeting renal glucose reabsorption to treat hyperglycaemia: the pleiotropic effects of SGLT2 inhibition. Diabetologia. 2017;60(2):215-225. doi: https://doi.org/10.1007/s00125-016-4157-3
10. Kuo S, Ye W, Duong J, Herman WH. Are the favorable cardiovascular outcomes of empagliflozin treatment explained by its effects on multiple cardiometabolic risk factors? A simulation of the results of the EMPA-REG OUTCOME trial. Diabetes Res Clin Pract. 2018;141:181-189. doi: https://doi.org/10.1016/j.diabres.2018.04.040
11. Cai X, Ji L, Chen Y, et al. Comparisons of weight changes between sodium-glucose cotransporter 2 inhibitors treatment and glucagon-like peptide-1 analogs treatment in type 2 diabetes patients: A meta-analysis. J Diabetes Investig. 2017;8(4):510-517. doi: https://doi.org/10.1111/jdi.12625
12. Scheen AJ. Effects of reducing blood pressure on cardiovascular outcomes and mortality in patients with type 2 diabetes: Focus on SGLT2 inhibitors and EMPA-REG OUTCOME. Diabetes Res Clin Pract. 2016;121:204-214. doi: https://doi.org/10.1016/j.diabres.2016.09.016
13. Zhao Y, Xu L, Tian D, et al. Effects of sodium-glucose co-transporter 2 (SGLT2) inhibitors on serum uric acid level: A meta-analysis of randomized controlled trials. Diabetes Obes Metab. 2018;20(2):458-462. doi: https://doi.org/10.1111/dom.13101
14. Sano M, Takei M, Shiraishi Y, Suzuki Y. Increased Hematocrit During Sodium-Glucose Cotransporter 2 Inhibitor Therapy Indicates Recovery of Tubulointerstitial Function in Diabetic Kidneys. J Clin Med Res. 2016;8(12):844-847. doi: https://doi.org/10.14740/jocmr2760w
15. Fioretto P, Zambon A, Rossato M, et al. SGLT2 Inhibitors and the Diabetic Kidney. Diabetes Care. 2016;39 Suppl 2:S165-171. doi: https://doi.org/10.2337/dcS15-3006
16. Kubota Y, Yamamoto T, Tara S, et al. Effect of Empagliflozin Versus Placebo on Cardiac Sympathetic Activity in Acute Myocardial Infarction Patients with Type 2 Diabetes Mellitus: Rationale. Diabetes Ther. 2018;9(5):2107-2116. doi: https://doi.org/10.1007/s13300-018-0480-7
17. Sattar N, McLaren J, Kristensen SL, et al. SGLT2 Inhibition and cardiovascular events: why did EMPA-REG Outcomes surprise and what were the likely mechanisms? Diabetologia. 2016;59(7):1333-1339. doi: https://doi.org/10.1007/s00125-016-3956-x
18. Scheen AJ. Diabetes: Time for reconciliation between cardiologists and diabetologists. Nat Rev Cardiol. 2016;13(9):509-510. doi: https://doi.org/10.1038/nrcardio.2016.113
19. Pham SV, Chilton R. EMPA-REG OUTCOME: The Cardiologist’s Point of View. Am J Med. 2017;130(6S):S57-S62. doi: https://doi.org/10.1016/j.amjmed.2017.04.006
20. Heerspink HJ, Perkins BA, Fitchett DH, et al. Sodium Glucose Cotransporter 2 Inhibitors in the Treatment of Diabetes Mellitus: Cardiovascular and Kidney Effects, Potential Mechanisms, and Clinical Applications. Circulation. 2016;134(10):752-772. doi: https://doi.org/10.1161/CIRCULATIONAHA.116.021887
21. Perreault L. EMPA-REG OUTCOME: The Endocrinologist’s Point of View. Am J Cardiol. 2017;120(1S):S48-S52. doi: https://doi.org/10.1016/j.amjcard.2017.05.010
22. Mudaliar S, Alloju S, Henry RR. Can a Shift in Fuel Energetics Explain the Beneficial Cardiorenal Outcomes in the EMPA-REG OUTCOME Study? A Unifying Hypothesis. Diabetes Care. 2016;39(7):1115-1122. doi: https://doi.org/10.2337/dc16-0542
23. Hallow KM, Helmlinger G, Greasley PJ, et al. Why do SGLT2 inhibitors reduce heart failure hospitalization? A differential volume regulation hypothesis. Diabetes Obes Metab. 2018;20(3):479-487. doi: https://doi.org/10.1111/dom.13126
24. Lytvyn Y, Bjornstad P, Udell JA, et al. Sodium Glucose Cotransporter-2 Inhibition in Heart Failure: Potential Mechanisms, Clinical Applications, and Summary of Clinical Trials. Circulation. 2017;136(17):1643-1658. doi: https://doi.org/10.1161/CIRCULATIONAHA.117.030012
25. Ponikowski P, Voors AA, Anker SD, et al. 2016 ESC Guidelines for the diagnosis and treatment of acute and chronic heart failure: The Task Force for the diagnosis and treatment of acute and chronic heart failure of the European Society of Cardiology (ESC)Developed with the special contribution of the Heart Failure Association (HFA) of the ESC. Eur Heart J. 2016;37(27):2129-2200. doi: https://doi.org/10.1093/eurheartj/ehw128
26. Некрасов А.А. Иммуновоспалительные механизмы в ремоделировании сердца у больных хронической обструктивной болезнью легких. // Журнал Сердечная недостаточность. — 2011. — Т. 12. — №1. — С. 42-46. [Nekrasov AA. Immunovospalitel’nye mekhanizmy v remodelirovanii serdtsa u bol’nykh khronicheskoy obstruktivnoy bolezn’yu legkikh. Zhurnal serdechnaia nedostatochnost`. 2011;12(1):42-46. (In Russ.)]
27. Хроническая сердечная недостаточность. Клинические рекомендации Общества специалистов по сердечной недостаточности и Российского кардиологического общества. — 2016. [Khronicheskaya serdechnaya nedostatochnost’. Klinicheskie rekomendatsii Obshchestva spetsialistov po serdechnoy nedostatochnosti i Rossiyskogo kardiologicheskogo obshchestva. 2016. (In Russ.)]
28. Некрасов А.А., Тимощенко Е.С., Карпухина Е.В., Мельниченко О.В. Сердечная недостаточность с сохраненной и незначительно нарушенной фракцией выброса и сердечно-сосудистые события: патогенетические взаимосвязи как часть сердечно-сосудистого континуума // Кардиология. — 2017. — Т. 57. — №S2. — С. 337-342. [Nekrasov AA, Timoshchenko ES, Karpukhina EV, Melnichenko OV. Heart failure with preserved and slightly impaired ejection fraction and cardiovascular events: Pathogenetic interrelations as a part of the cardiovascular continuum. Cardiology. 2017;57(S2):337-342. (In Russ.)] doi: https://doi.org/10.18087/cardio.2404
29. Santos-Gallego CG, Requena-Ibanez JA, San Antonio R, et al. Empagliflozin Ameliorates Adverse Left Ventricular Remodeling in Nondiabetic Heart Failure by Enhancing Myocardial Energetics. J Am Coll Cardiol. 2019;73(15):1931-1944. doi: https://doi.org/10.1016/j.jacc.2019.01.056
30. Yurista SR, Sillje HHW, Oberdorf-Maass SU, et al. Sodium-glucose co-transporter 2 inhibition with empagliflozin improves cardiac function in non-diabetic rats with left ventricular dysfunction after myocardial infarction. Eur J Heart Fail. 2019;21(7):862-873. doi: https://doi.org/10.1002/ejhf.1473
Об авторах
Алексей Анатольевич НекрасовРоссия
д.м.н., профессор
Елена Сергеевна Тимощенко
Россия
Заведующая городским кардиологическим диспансером
Леонид Григорьевич Стронгин
Россия
доктор медицинских наук, профессор, заведующий кафедрой эндокринологии и внутренних болезней
Татьяна Анатольевна Некрасова
Россия
доктор медицинских наук, доцент кафедры эндокринологии и внутренних болезней
Анастасия Андреевна Баранова
Россия
ассистент кафедры эндокринологии и внутренних болезней
Светлана Николаевна Ботова
Россия
кандидат медицинских наук, доцент кафедры эндокринологии и внутренних болезней
Михаил Владимирович Тимощенко
Россия
медицинский работник городского кардиологического диспансера
Мария Алексеевна Ярославцева
Россия
медицинский сотрудник городского кардиологического диспансера
Дополнительные файлы
|
|
1. Рис. 1. Сравнительная характеристика показателей гликемии в изучаемых группах на разных сроках наблюдения: время определения уровня глюкозы, день 2: 7:00, 9:00, 13:00, 15:30, 17:00, 21:00. Время определения уровня глюкозы, день через 3 и 12 мес по данным самоконтроля: 7:00, 12:00, 15:00. | |
| Тема | ||
| Тип | Прочее | |
Посмотреть
(834KB)
|
Метаданные ▾ | |
|
|
2. Рис. 2. Гликированный гемоглобин в контрольной (группа 1) и основной (группа 2) группах (%) в динамике: Рдин. контр.=0,012, Рдин. осн. гр.=0,0001, Р1–2 гр. исходно = 0,49; Р1–2 гр. 3 мес = 0,086; Р1–2 гр. 12 мес = 0,001 | |
| Тема | ||
| Тип | Прочее | |
Посмотреть
(199KB)
|
Метаданные ▾ | |
Рецензия
Для цитирования:
Некрасов А.А., Тимощенко Е.С., Стронгин Л.Г., Некрасова Т.А., Баранова А.А., Ботова С.Н., Тимощенко М.В., Ярославцева М.А. Влияние эмпаглифлозина на развитие хронической сердечной недостаточности после инфаркта миокарда у пациентов с сахарным диабетом 2 типа по данным 12-месячного проспективного исследования. Сахарный диабет. 2019;22(4):348-357. https://doi.org/10.14341/DM10099
For citation:
Nekrasov A.A., Timoschenko E.S., Strongin L.G., Nekrasova T.A., Baranova A.A., Botova S.N., Timoschenko M.V., Yaroslavtseva M.A. The effect of empagliflozin on the development of chronic heart failure after myocardial infarction according to a 12-month prospective study. Diabetes mellitus. 2019;22(4):348-357. (In Russ.) https://doi.org/10.14341/DM10099
Контент доступен под лицензией Creative Commons Attribution-NonCommercial-NoDerivatives 4.0 International License (CC BY-NC-ND 4.0).









































