Перейти к:
Биомаркеры сыворотки крови, ассоциированные с фиброзом печени, у больных сахарным диабетом 2 типа
https://doi.org/10.14341/DM13059
Аннотация
ОБОСНОВАНИЕ. Диагностика фиброза печени является важной задачей в ведении пациентов с неалкогольной жировой болезнью печени (НАЖБП) и сахарным диабетом 2 типа (СД2). Применяемые сегодня методы диагностики имеют ряд недостатков, связанных с инвазивностью, высокой стоимостью либо недостаточной чувствительностью и специфичностью. В связи с этим поиск новых неинвазивных маркеров фиброза печени остается актуальной задачей.
ЦЕЛЬ. Установить диагностическую значимость определения в сыворотке крови ростового фактора дифференцировки-15 (GDF-15), ассоциированного с микрофибриллами белка-4 (MFAP-4), альфа1 цепи коллагена IV типа (COL4alpha1), Mac-2 связывающего белка (M2BPGI) и хрящевого гликопротеина-40 (YKL-40) как потенциальных биомаркеров фиброза печени у больных СД2 с НАЖБП.
МАТЕРИАЛЫ И МЕТОДЫ. Проведено одноцентровое поперечное наблюдательное исследование. Обследовано 74 пациента, 23 мужчины и 51 женщина в возрасте от 18 до 74 лет. В качестве референсного метода диагностики фиброза печени применялась фиброэластометрия. Проводилась оценка неинвазивных индексов фиброза APRI и fib-4. Концентрации GDF-15, MFAP-4, COL4alpha1, M2BPGI и YKL-40 в сыворотке крови определяли методом иммуноферментного анализа. Для оценки чувствительности и специфичности сывороточных маркеров в диагностике фиброза печени применяли ROC-анализ.
РЕЗУЛЬТАТЫ. Фиброз печени 1-й стадии верифицирован у 16 человек, 2-й стадии — у 12, 3-й стадии — у 7, 4-й стадии — у 19 человек. Больные с выраженным фиброзом печени (стадии 3–4) по сравнению с больными без выраженного фиброза (стадии 0–2) имели более высокие уровни GDF-15 (p=0,003), COL4alpha1 (p=0,007) и YKL-40 (p=0,04). У больных с фиброзом печени стадии 1–2 выявлены более высокие уровни COL4alpha по сравнению с больными без признаков фиброза (p=0,02). Значимых различий в уровне MFAP-4 и M2BPGI между больными с различной выраженностью фиброза не установлено. По данным ROC-анализа, GDF-15, COL4alpha1 и YKL-40 обладают диагностической ценностью в выявлении выраженного фиброза печени, сопоставимой с таковой индексов APRI и fib-4.
ЗАКЛЮЧЕНИЕ. GDF-15, COL4alpha1 и YKL-40 могут рассматриваться как перспективные неинвазивные маркеры фиброза печени у больных СД2 с НАЖБП.
Ключевые слова
Для цитирования:
Краснер Я.А., Романов В.В., Фазуллина О.Н., Осипенко М.Ф., Климонтов В.В. Биомаркеры сыворотки крови, ассоциированные с фиброзом печени, у больных сахарным диабетом 2 типа. Сахарный диабет. 2024;27(1):25-32. https://doi.org/10.14341/DM13059
For citation:
Krasner Y.A., Romanov V.V., Fazullina O.N., Osipenko M.F., Klimontov V.V. Serum biomarkers associated with liver fibrosis in patients with type 2 diabetes. Diabetes mellitus. 2024;27(1):25-32. (In Russ.) https://doi.org/10.14341/DM13059
ОБОСНОВАНИЕ
Неалкогольная жировая болезнь печени (НАЖБП) — одно из наиболее распространенных заболеваний, ассоциированных с сахарным диабетом 2 типа (СД2). По данным метаанализа Z.M. Younussi и соавт., распространенность НАЖБП среди больных СД2 достигает 55,5%, при этом у части пациентов имеется выраженный фиброз печени [1]. Также отмечается, что НАЖБП может стать одной из лидирующих причин развития цирроза и рака печени [2]. Поскольку прогноз течения НАЖБП в значительной степени определяется стадией фиброза, его верификация является важной клинической задачей [3].
На сегодняшний день в диагностике фиброза печени имеются объективные сложности. Исследование биоптатов печени считается «золотым стандартом» диагностики, однако данное исследование имеет ряд существенных недостатков, в числе которых — инвазивность, высокая стоимость, ограниченная доступность и возможность получения нерепрезентативных результатов [4][5]. Альтернативой морфологическому методу является фиброэластометрия, которая, несмотря на высокую диагностическую ценность, тоже имеет ряд ограничений: метод требует специального оборудования и наличия квалифицированного специалиста; результаты, полученные на разном оборудовании, не всегда сопоставимы [6]. В качестве решения проблемы зачастую предлагается применение расчетных индексов фиброза, таких как APRI и fib-4 [7][8]. Однако эти методы обладают невысокой чувствительностью, особенно в отношении начальных стадий фиброза, что также ограничивает их диагностические возможности [9]. Поскольку прогноз в отношении течения НАЖБП определяется в том числе стадией фиброза, своевременная его диагностика, как и оценка динамики его прогрессирования с развитием цирроза, является важной задачей. Однако здесь клиницисты сталкиваются с рядом сложностей, описанных выше. Поскольку проблема своевременного выявления у больных НАЖБП фиброза печени и его прогрессирования стала достаточно очевидной, в последние годы ведется активный поиск новых диагностических методов. В последние годы большой интерес вызывают прямые сывороточные маркеры фиброза печени. Среди них считаются перспективными ростовой фактор дифференцировки-15 (GDF-15) [11][12], ассоциированный с микрофибриллами белок-4 (MFAP-4) [13], альфа1 цепь коллагена IV типа (COL4alpha1) [14], Mac-2 связывающий белок (M2BPGI) [15] и хрящевой гликопротеин-40 (YKL-40) [16]. В ряде исследований была продемонстрирована ассоциация перечисленных молекул с фиброзом печени, а также с риском развития гепатоцелюллярного рака. Однако до настоящего времени не ясно, какой ценностью в отношении диагностики фиброза печени обладают данные маркеры. В связи с этим представляет интерес их сравнение как между собой, так и с традиционно применяемыми сывороточными маркерами фиброза печени. Указанные соображения послужили обоснованием для проведения данного исследования.
ЦЕЛЬ ИССЛЕДОВАНИЯ
Установить диагностическую значимость определения в сыворотке крови GDF-15, MFAP-4, COL4alpha1, M2BPGI и YKL-40 как биомаркеров фиброза печени у больных СД2 c НАЖБП.
МАТЕРИАЛЫ И МЕТОДЫ
Место и время проведения исследования
Исследование проводилось на базе клиники НИИКЭЛ — филиал ИЦиГ СО РАН в период с 2022 по 2023 гг.
Изучаемая популяция
В исследование были включены пациенты с СД2, получавшие плановую специализированную или высокотехнологичную помощь в условиях эндокринологического отделения клиники.
Критерии включения: возраст от 18 до 74 лет; СД2; любая сахароснижающая терапия; диагноз «НАЖБП», верифицированный данными ультразвукового исследования и фиброэластометрии печени; наличие письменного информированного согласия на участие в исследовании.
Критерии исключения: иные диагностированные заболевания печени, в том числе вирусные гепатиты В и С; алкогольная болезнь печени; гемохроматоз; аутоиммунный гепатит; болезнь Вильсона-Коновалова; дефицит альфа-1-антитрипсина; беременность; терминальная стадия хронической болезни почек; тяжелые инфекции; интоксикации; злокачественные новообразования; аутоиммунные и воспалительные заболевания.
Способ формирования выборки из изучаемой популяции
В исследование включались все пациенты, соответствовавшие критериям включения и не имевшие критериев исключения, наблюдавшиеся в течение указанного периода.
Дизайн исследования
Одноцентровое одномоментное (поперечное) исследование.
Методы
Всем участникам исследования после подписания информированного согласия проводился сбор анамнеза, физикальное, лабораторное, инструментальное обследования, направленные на оценку качества контроля СД2, скрининг/мониторинг осложнений и ассоциированных состояний. Обследования проводились в соответствии с текущей версией Алгоритмов оказания специализированной медицинской помощи больным СД [17]. Диагноз «НАЖБП» верифицировался по данным ультразвукового исследования печени в соответствии с клиническими рекомендацимями Росийской гастроэнтерологической ассоциации [18]. Определение потребления алкоголя оценивали по опроснику AUDIT.
Биохимические исследования, включая определение уровня гликированного гемоглобина (HbA1c), трансаминаз, щелочной фосфатазы (ЩФ), гаммаглутамилтранспептидазы (ГГТП), показателей липидограммы проводили на аппарате “Beckman-Coulter AU-480” (Япония) с использованием тест-систем производителя аппарата. Образцы крови для определения биомаркеров брали из локтевой вены натощак, полученную сыворотку замораживали и хранили при -30 °С до проведения исследования. Концентрации GDF-15, MFAP-4, COL4alpha1, M2BPGI и YKL-40 определяли методом иммуноферментного анализа на 8-канальном микропланшетном фотометре «Реал Р» («Вектор-Бест-Балтика», Россия) с помощью тест-систем фирмы “Cloud Clone Corp.” (Китай) в соответствии с инструкциями фирмы-производителя.
Фиброэластометрия выполнялась в качестве референсного метода для оценки наличия и стадии фиброза печени. Исследование выполнялось на аппарате ECHOSENS “FibroScan 502 Touch” (Франция) в ФГБНУ Научно-исследовательский институт нейронаук и медицины (Новосибирск). У пациентов с ожирением при проведении фиброэластометрии использовали датчик Probe XL. Стадии фиброза печени оценивались по классификации Metavir. Для сопоставления данных фиброэластометрии со степенями фиброза использовались референтные значения L. Castera [19].
Проводился подсчет неинвазивных индексов фиброза печени fib-4 и APRI в соответствии со следующими формулами [7][8]:

Клинические данные не были доступны операторам, выполнявшим фиброэластометрию и иммуноферментный анализ уровня маркеров фиброза.
Определение объема выборки
Поскольку достаточный объем предварительных данных по исследуемой проблеме отсутствовал, минимальный объем выборки рассчитывался в соответствии с методом К.А. Отдельновой [20]. В качестве критического уровня статистической значимости было выбрано значение p<0,05. Для данного значения р для пилотных исследований минимальный объем выборки n=44.
Статистический анализ
Статистический анализ данных проводился с помощью пакетов программ Statistica 12 (StatSoft Inc, CША) и SPSS (IBM, CША). Распределение значений количественных показателей оценивалось на нормальность. При характере распределения, отличном от нормального, количественные показатели представлены в виде M [Q1; Q3], где M — медиана, а Q1–Q3 — межквартильный размах. Для сравнения количественных показателей в разных группах больных применялся критерий Манна-Уитни. Различия считали статистически значимыми при р<0,05. Для оценки связи количественных показателей применялся корреляционный анализ Спирмена. Ассоциация двух качественных показателей оценивалась при помощи четырехпольных таблиц сопряженности с подсчетом отношения шансов (OR) и доверительных интервалов (95% CI), а также критерия Пирсона. Доверительные интервалы (CI), приводимые в работе, строились для доверительной вероятности р=95%. Для оценки чувствительности и специфичности сывороточных маркеров в отношении диагностики фиброза печени применялось построение ROC-кривых с определением площади под кривой (AUC).
Этическая экспертиза
Исследование одобрено Этическим комитетом НИИКЭЛ — филиал ИЦиГ СО РАН (протокол №172 от 28.04.2022).
РЕЗУЛЬТАТЫ
Клиническая характеристика больных
В исследование было включено 74 больных СД2 в возрасте от 18 до 74 лет (медиана — 56 лет), 23 мужчины и 51 женщина. Длительность СД2 с момента установления диагноза варьировала от 1-го до 41-го года (медиана — 11 лет). Все больные на момент включения в исследование получали сахароснижающую терапию: 12 человек — только инсулин, 28 — инсулин и пероральные сахароснижающие препараты, 34 — только пероральные сахароснижающие препараты. Терапию метформином получали 64 пациента, препаратами сульфонилмочевины — 20, ингибиторами натрий-глюкозного котраспортера-2 — 18, ингибиторами дипептидилпептидазы-4 — 7, аналогами глюкагоноподобного пептида-1 — 3. Уровень HbA1c варьировал от 5,4 до 13,6% (медиана — 8,3%).
У всех больных отмечалась избыточная масса тела (n=7) или ожирение (n=67). Кроме того, имелись следующие осложнения и ассоциированные состояния: диабетическая ретинопатия (n=18), хроническая болезнь почек (n=44), диабетическая нейропатия (n=54), артериальная гипертензия (n=67), ишемическая болезнь сердца (n=17), атеросклероз сосудов нижних конечностей (n=11), дислипидемия (n=73).
Ни у одного пациента, включенного в исследование, не отмечалось признаков клинически значимой портальной гипертензии (варикозного расширения вен пищевода, дилатации воротной и/или селезеночной вен, спленомегалии, расширения вен передней брюшной стенки), желтухи или асцита.
Данные фиброэластометрии печени
У 20 больных, включенных в исследование, не выявлено признаков фиброза печени по данным фиброэластометрии. Фиброз 1 стадии верифицирован у 16 человек, фиброз 2 стадии — у 12, фиброз 3 стадии — у 7, фиброз 4 стадии — у 19 человек.
Между группами больных без выраженного фиброза печени (0, 1 и 2 стадии) и с выраженным фиброзом (3 и 4 стадии) не выявлено значимых различий по возрасту, индексу массы тела (ИМТ), соотношению окружности талии к окружности бедер (ОТ/ОБ), длительности СД, уровню HbA1c, показателям липидного обмена и мочевой кислоты (табл. 1). Уровень аланинаминотрансферазы (АЛТ), аспартатаминотрансферазы (АСТ), ЩФ, ГГПТ был значимо выше у больных с фиброзом.
Таблица 1. Клиническая характеристика больных сахарным диабетом 2 типа
и неалкогольной жировой болезнью печени с различной выраженностью фиброза печени
|
Параметр |
Больные с выраженным фиброзом (n=26) |
Больные без выраженного фиброза (n=48) |
р |
|
Возраст, годы |
53 [ 44; 61] |
57 [ 52; 63] |
0,12 |
|
ИМТ, кг/м² |
39,4 [ 33,8; 49,1] |
37,1 [ 31,9; 44,23] |
0,18 |
|
ОТ/ОБ |
0,9 [ 0,9; 0,98] |
0,98 [ 0,9; 1,04] |
0,26 |
|
Длительность СД2, годы |
8,5 [ 2,0; 15,0] |
12,5 [ 6,0; 16,0] |
0,28 |
|
HbA1c, % |
7,9 [ 7,2; 9,4] |
8,3 [ 6,5; 10,0] |
0,76 |
|
Общий холестерин, ммоль/л |
4,8 [ 4,15; 5,69] |
4,9 [ 3,8; 6,0] |
0,44 |
|
Холестерин ЛПНП, ммоль/л |
3,1 [ 2,7; 4,1] |
3,3 [ 2,5; 4,0] |
0,8 |
|
Холестерин ЛПВП, ммоль/л |
1,11 [ 0,88; 1,36] |
1,1 [ 0,96; 1,31] |
0,6 |
|
Триглицериды, ммоль/л |
2,4 [ 1,8; 3,4] |
1,8 [ 1,2; 3,2] |
0,17 |
|
Мочевая кислота, мкмоль/л |
389 [ 246; 442] |
336 [ 286; 426] |
0,8 |
|
рСКФ, мл/мин/1,73 м² |
86 [ 61; 97] |
72 [ 58; 91] |
0,24 |
|
АЛТ, ЕД/л |
52 [ 24; 102] |
27 [ 17; 45] |
0,006 |
|
АСТ, ЕД/л |
45 [ 27; 97] |
25 [ 19; 36] |
0,0002 |
|
ЩФ, ЕД/л |
90 [ 75; 144] |
72 [ 62; 91] |
0,003 |
|
ГГТП, ЕД/л |
60 [ 49; 112] |
33 [ 19; 47] |
0,0001 |
|
Билирубин общий, мкмоль/л |
13,7 [ 11,0; 21,5] |
12,3 [ 10,2; 18,6] |
0,14 |
|
APRI |
0,53 [ 0,31; 1,41] |
0,23 [ 0,17; 0,40] |
0,0007 |
|
FIB4 |
1,80 [ 1,03; 3,80] |
1,13 [ 0,84; 1,51] |
0,004 |
Примечания (здесь и в табл. 2): данные представлены как медианы [ 25; 75 процентили].
ИМТ — индекс массы тела; СД2 — сахарный диабет 2 типа;
ОТ — окружность талии; ОБ — окружность бедер;
HbA1c — гликированный гемоглобин A1;
ЛПНП — липопротеины низкой плотности;
ЛПВП — липопротеины высокой плотности;
рСКФ — расчетная скорость клубочковой фильтрации (по CKD-EPI);
АЛТ — аланинаминотрансфераза; АСТ — аспартатаминотрансфераза;
ЩФ — щелочная фосфатаза; ГГТП — гаммаглутамилтранспептидаза;
APRI (Aspartate-aminotransferase-to-Platelet Ratio Index),
FIB4 — непрямые индексы фиброза печени.
Результаты исследования биомаркеров
В сыворотке больных с выраженным фиброзом печени, по сравнению с больными без выраженного фиброза, отмечались более высокие уровни GDF-15, COL4alpha1, MAP1LC3alpha и YKL-40 (табл. 2). Статистически значимых различий в уровне MFAP-4 и M2BPGI не наблюдалось. У больных с фиброзом печени стадии 1–2 отмечались статистически более высокие уровни COL4alpha по сравнению с больными без признаков фиброза: 190 [ 176,5–214,5] нг/мл против 177,5 [ 162–189] нг/мл, p=0,02.
Таблица 2. Уровень биомаркеров в сыворотке крови у больных сахарным диабетом 2 типа
и неалкогольной жировой болезнью печени с различной выраженностью фиброза печени
|
Параметр |
Больные с выраженным фиброзом (n=26) |
Больные без выраженного фиброза (n=48) |
р |
|
GDF-15, нг/мл |
122,5 [ 96,2; 146,5] |
97,75 [ 84,85; 117,5] |
0,003 |
|
COL4alpha1, нг/мл |
208 [ 190,5; 227,5] |
185 [ 173; 200] |
0,007 |
|
YKL-40, нг/мл |
193,5 [ 156,5; 275,5] |
165,5 [ 129,5; 204,5] |
0,04 |
|
M2BPGI, нг/мл |
64,4 [ 54,7; 76,8] |
64,6 [ 53,1; 76,3] |
0,99 |
|
MFAP-4, нг/мл |
3,54 [ 3,13; 3,91] |
3,35 [ 2,85; 3,88] |
0,16 |
Примечание. GDF-15 — ростовой фактор дифференцировки-15;
MFAP-4 — ассоциированный с микрофибриллами белок-4;
COL4alpha1 — коллаген-4 альфа1;
M2BPGI — Mac-2 связывающий белок;
YKL-40 — хрящевой гликопротеин-40.
В ранговом корреляционном анализе выявлена корреляция GDF-15 с уровнями COL4-alpha1 (r=0,5, р<0,0001), YKL-40 (r=0,37, р=0,001), АСТ (r=0,35, р=0,002), значениями индекса fib-4 (r=0,62, р<0,0001) и APRI (r=0,41, р=0,0003). Уровень COL4-alpha1 слабо, но статистически значимо коррелировал с уровнем АСТ (r=0,29, р=0,01), значениями индексов фиброза APRI (r=0,29, р=0,01) и fib-4 (r=0,46, р<0,0001). Уровень YKL-40 коррелировал с индексом fib-4 (r=0,35, р=0,002), но не коррелировал с уровнем трансаминаз и APRI. Две другие молекулы (M2BPGI, MFAP-4) не демонстрировали значимых связей с уровнем ферментов и индексами фиброза. Концентрации GDF-15, COL4-alpha1 и fib-4 положительно коррелировали с длительностью СД (все r=0,36, р=0,002). Связей с уровнем HbA1c, С-реактивного белка, наличием и стадией хронической болезни почек, наличием и стадией или степенью артериальной гипертензии все изученные сывороточные маркеры не показали.
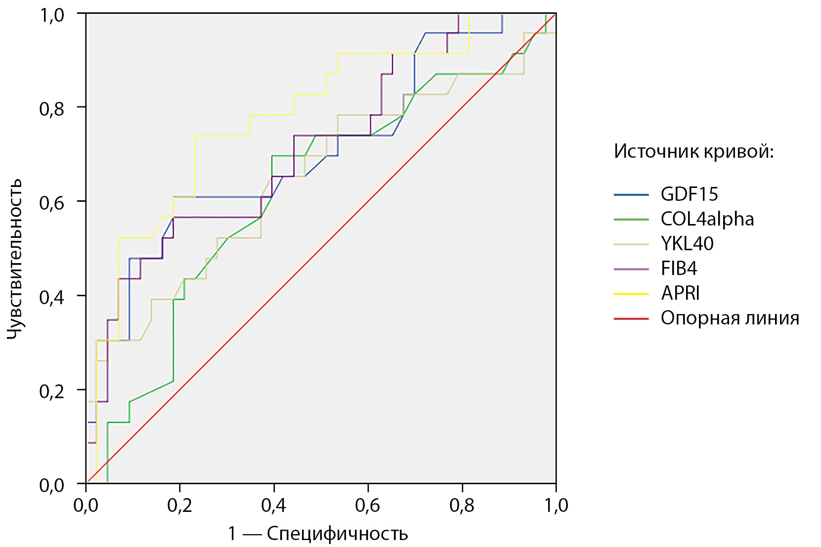
В анализе ROC-кривых (табл. 3, рис. 1), GDF-15, COL4alpha1 и YKL-40 демонстрировали чувствительность и специфичность, сопоставимую с таковой у неинвазивных маркеров фиброза печени APRI и fib-4.
Таблица 3. Ценность прямых и непрямых сывороточных маркеров
в диагностике выраженного фиброза печени
у больных сахарным диабетом 2 типа с неалкогольной жировой болезнью печени
|
Фактор |
Значение |
Se |
Sp |
AUC±SE |
95% ДИ |
|
GDF-15 |
103,5 нг/мл |
0,6 |
0,6 |
0,707±0,070 |
0,569–0,845 |
|
COL4alpha1 |
191 нг/мл |
0,7 |
0,6 |
0,621±0,074 |
0,476–0,766 |
|
YKL-40 |
181,5 нг/мл |
0,65 |
0,6 |
0,650±0,076 |
0,502–0,798 |
|
APRI |
0,38 |
0,73 |
0,68 |
0,782±0,061 |
0,663–0,902 |
|
FIB4 |
1,21 |
0,73 |
0,56 |
0,715±0,068 |
0,582–0,847 |
Примечание: представлены результаты ROC-анализа.
GDF-15 — ростовой фактор дифференцировки-15;
MFAP-4 — ассоциированный с микрофибриллами белок-4;
COL4alpha1 — коллаген-4 альфа1; M2BPGI — Mac-2 связывающий белок;
YKL-40 — хрящевой гликопротеин-40; ОШ — отношение шансов;
AUC — площадь под ROC-кривой; Se — чувствительность;
Sp — специфичность; ДИ — доверительный интервал.

Рисунок 1. ROC-анализ прямых и непрямых сывороточных маркеров
в диагностике выраженного фиброза печени
у больных сахарным диабетом 2 типа с неалкогольной жировой болезнью печени.
Примечание: GDF-15 — ростовой фактор дифференцировки-15;
COL4alpha1 — коллаген-4 альфа1; YKL-40 — хрящевой гликопротеин-40;
APRI, FIB4 — непрямые индексы фиброза печени.
Нежелательные явления
Не зафиксированы.
ОБСУЖДЕНИЕ
В данном пилотном исследовании мы сопоставили диагностическую значимость ряда молекул (GDF-15, MFAP-4, COL4alpha1, M2BPGI и YKL-40) как потенциальных биомаркеров фиброза печени у больных СД2 с НАЖБП. Среди изученных молекул GDF-15, COL4alpha1 и YKL-40 показали наиболее тесную ассоциацию с выраженностью фиброза по данным фиброэластометрии. Результаты исследования не позволяют достоверно установить причинно-следственную взаимосвязь между наличием фиброза печени и повышением уровня изучаемых молекул. Вместе с тем мы не выявили ассоциаций изученных маркеров с показателями, отражающими вовлечение почек и сердечно-сосудистой системы, а также с показателями нарушений углеводного обмена. В связи с этим можно предположить, что изменения уровня изучаемых маркеров связаны с выраженностью фиброза печени.
Репрезентативность выборок
С учетом критериев включения и исключения, применявшихся в нашем исследовании, можно считать, что выборка пациентов является достаточно репрезентативной в отношении больных СД2 с НАЖБП.
Сопоставление с другими публикациями
Полученные результаты в целом соответствуют данным литературы и согласуются с фундаментальными представлениями о патогенетической роли изучаемых молекул.
На основании анализа ROC-кривых среди исследованных цитокинов наибольшую диагностическую ценность в нашем исследовании продемонстрировал GDF-15. Цитокин относится к семейству трансформирующего фактора роста β (TGF-β), представители которого способны активировать пролиферацию фибробластов и, соответственно, обладают фиброгенным потенциалом. В настоящее время активно обсуждается роль GDF-15 в патогенезе идиопатического легочного фиброза и хронической обструктивной болезни легких [21]. При этом механизм профибротического эффекта GDF-15 остается неясным, так как единственный известный рецептор данного цитокина экспрессируется лишь в головном мозге. Описано влияние GDF-15 на пищевое поведение, что весьма интересно в контексте связи цитокина с метаболической патологией. Известно, что GDF-15 способен подавлять аппетит при искусственном введении цитокина, а физические нагрузки приводят к повышению уровня GDF-15 в сыворотке [22]. Также показано, что GDF-15 способен увеличивать потребление энергии мускулатурой и уменьшать выраженность стеатоза печени [23]. Это позволяет предположить, что повышение уровня GDF-15 у больных НАЖБП с фиброзом печени на самом деле может иметь компенсаторный характер.
Коллаген IV типа является одним из ключевых компонентов базальных мембран. Известно, что данная молекула синтезируется фибробластами, клетками эндотелия и звездчатыми клетками в ответ на повреждение печени, в том числе играя существенную роль в процессах регенерации и фиброгенеза печени при НАЖБП [24]. В связи с этим в последние годы активно изучается возможность использования коллагена IV типа в качестве маркера фиброза. Данная молекула является гетеродимером, состоящим из двух цепей: альфа-1 (COL4alpha1) и альфа-2. В контексте заболеваний печени внимание исследователей сосредоточено именно на цепи альфа-1, поскольку гиперэкспрессия гена COL4alpha1 наблюдается при гепатоцеллюлярном раке и закономерно рассматривается и как прогностический маркер, и как потенциальная терапевтическая мишень [25]. Представляется перспективным изучение прогностической роли данного маркера в отношении риска прогрессирования НАЖБП с развитием выраженного фиброза и гепатоцеллюлярной карциномы.
Хрящевой гликопротеин YKL-40 также рассматривается в качестве потенциального маркера фиброза и воспаления. Данная молекула синтезируется макрофагами, нейтрофилами и гладкомышечными клетками сосудов. Известно, что YKL-40 участвует в процессах воспаления, тканевого повреждения и ангиогенеза, а также является ростовым фактором для фибробластов [26]. Показано, что в участках печени с выраженным фиброзом наблюдается повышенная экспрессия гена YKL-40 [27]. Кроме того предполагается, что гиперэкспрессия YKL-40 нарушает работу инсулинового сигнального пути. На мышиных моделях было показано, что нокаут гена YKL-40 приводит к уменьшению выраженности стеатоза и снижению инсулинорезистентности в тканях печени [28]. В нашей работе продемонстрированы различия в уровнях YKL-40 в сыворотке крови больных НАЖБП с выраженным фиброзом и без него. Поскольку данный маркер ассоциирован не только с фиброзом, но и с процессом воспаления, перспективно его изучение в качестве маркера стеатогепатита.
Клиническая значимость результатов
Полученные результаты позволяют предположить потенциальную пользу GDF15, COL4alpha1 и YKL-40 для диагностики фиброза печени. Кроме того, нами продемонстрирована сопоставимость диагностической ценности перечисленных показателей. У больных НАЖБП с фиброзом печени стадии 1–2 отмечались статистически более высокие уровни COL4alpha по сравнению с больными НАЖБП без признаков фиброза. Последний результат особенно интересен, поскольку неинвазивные сывороточные тесты зачастую не позволяют дифференцировать отсутствие фиброза печени с фиброзом 1–2 стадии. Вместе с тем неспецифичность исследованных маркеров диктует определенную осторожность при интерпретации их клинической значимости. В то же время следует отметить, что в настоящем исследовании прямые сывороточные маркеры не продемонстрировали существенных преимуществ в диагностике фиброза 3–4 стадий по сравнению с традиционно применяемыми непрямыми сывороточными маркерами APRI и fib-4, которые являются гораздо более дешевыми и простыми с точки зрения применения в клинической практике.
Ограничения исследования
К числу ограничений исследования следует отнести одномоментный дизайн, относительно небольшой объем выборки, набор больных в одном клиническом центре. Мы не сравнивали уровень биомаркеров у людей с СД2 и у так называемых здоровых людей (без ожирения, СД, НАЖБП). Выраженность фиброза печени не оценивалась морфологически. Фиброэластометрия у пациентов с ожирением может демонстрировать завышенные значения плотности печени, поэтому истинный уровень фиброза у пациентов в нашем исследовании может быть переоценен. В связи с этим представляет интерес продолжение исследования с использованием морфологических методов верификации фиброза.
Направления дальнейших исследований
Для дальнейшей валидизации данных маркеров и последующего внедрения их в практику необходимо проведение исследований с большей выборкой, а также сопоставление уровней данных молекул не только с результатами фиброэластометрии, но и с результатами гистологического исследования печени. Это позволит определить, имеют ли какие-либо преимущества данные маркеры по сравнению с традиционно используемыми неинвазивными индексами фиброза. Перспективна оценка прогностической значимости изученных маркеров как предикторов прогрессирования и исходов НАЖБП.
ЗАКЛЮЧЕНИЕ
Результаты исследования свидетельствуют, что GDF-15, COL4alpha1 и YKL-40 могут рассматриваться как перспективные биомаркеры фиброза печени у больных СД2 с НАЖБП.
ДОПОЛНИТЕЛЬНАЯ ИНФОРМАЦИЯ
Источники финансирования. Исследование выполнено за счет средств госзадания НИИКЭЛ — филиал ИЦиГ СО РАН.
Конфликт интересов. Авторы декларируют отсутствие явных и потенциальных конфликтов интересов, связанных с публикацией настоящей статьи.
Участие авторов. Краснер Я.А. — концепция и дизайн исследования, сбор материала, статистический анализ, написание текста; Романов В.В. — выполнение лабораторных исследований, написание текста; Фазуллина О.Н. — сбор материала, формирование базы данных, написание текста; Осипенко М.Ф. — концепция и дизайн исследования, анализ данных, написание текста; Климонтов В.В. — концепция и дизайн исследования, анализ данных, написание текста. Все авторы одобрили финальную версию статьи перед публикацией, выразили согласие нести ответственность за все аспекты работы, подразумевающую надлежащее изучение и решение вопросов, связанных с точностью или добросовестностью любой части работы.
Список литературы
1. Younossi ZM, Golabi P, de Avila L, et al. The global epidemiology of NAFLD and NASH in patients with type 2 diabetes: A systematic review and meta-analysis. J Hepatol. 2019;71(4):793-801. https://doi.org/10.1016/j.jhep.2019.06.021
2. Chalasani N, Younossi Z, Lavine JE, et al. The diagnosis and management of nonalcoholic fatty liver disease: Practice guidance from the American Association for the Study of Liver Diseases. Hepatology. 2018 Jan;67(1):328-357. https://doi.org/10.1002/hep.29367
3. Кулебина Е.А., Сурков А.Н., Усольцева О.В. Неинвазивная диагностика фиброза печени: возможности инструментальных методик на современном этапе // Русский медицинский журнал Медицинское обозрение. — 2020. — Т. 4. — №5. — С. 297–301. https://doi.org/10.32364/2587-6821-2020-4-5-297-301
4. Lai M, Afdhal NH. Liver Fibrosis Determination. Gastroenterol Clin North Am. 2019;48(2):281-289. https://doi.org/10.1016/j.gtc.2019.02.002
5. Poynard T, Lenaour G, Vaillant JC, et al. Liver biopsy analysis has a low level of performance for diagnosis of intermediate stages of fibrosis. Clin Gastroenterol Hepatol. 2012;10(6):657–663 e7. https://doi.org/10.1016/j.cgh.2012.01.023
6. Vuorenmaa AS, Siitama EMK, Mäkelä KS. Inter-operator and inter-device reproducibility of shear wave elastography in healthy muscle tissues. J Appl Clin Med Phys. 202;23(9):e13717. https://doi.org/10.1002/acm2.13717
7. Vallet-Pichard A, Mallet V, Nalpas B, et al. FIB-4: an inexpensive and accurate marker of fibrosis in HCV infection. Comparison with liver biopsy and fibrotest. Hepatology. 2007; 46:32–36. https://doi.org/10.1002/hep.21669
8. Wai CT, Greenson JK, Fontana RJ, et al. A simple noninvasive index can predict both significant fibrosis and cirrhosis in patients with chronic hepatitis C. Hepatology, 2003; 38:518–526. https://doi.org/10.1053/jhep.2003.50346
9. Bhat M, Tazari M, Sebastiani G. Performance of transient elastography and serum fibrosis biomarkers for non-invasive evaluation of recurrent fibrosis after liver transplantation: A meta-analysis. PLoS One. 2017;12(9):e0185192. https://doi.org/10.1371/journal.pone.0185192
10. Agbim U, Asrani SK. Non-invasive assessment of liver fibrosis and prognosis: an update on serum and elastography markers. Expert Rev Gastroenterol Hepatol. 2019;13(4):361-374. https://doi.org/10.1080/17474124.2019.1579641
11. Bilson J, Scorletti E, Bindels LB, et al. Growth differentiation factor-15 and the association between type 2 diabetes and liver fibrosis in NAFLD. Nutr Diabetes. 2021;11(1):32. https://doi.org/10.1038/s41387-021-00170-3
12. Abou Zaghla HMA, El Sebai AA, Ahmed OA, et al. Growth differentiation factor 15: an emerging diagnostic biomarker of liver fibrosis in chronic hepatitis C patients. Egypt Liver J. 2021;11(1):6. https://doi.org/10.1186/s43066-021-00075-x
13. Sækmose SG, Mössner B, Christensen PB, et al. Microfibrillar-Associated Protein 4: A Potential Biomarker for Screening for Liver Fibrosis in a Mixed Patient Cohort. PLoS One. 2015;10(10):e0140418. https://doi.org/10.1371/journal.pone.0140418
14. Stefano JT, Guedes LV, de Souza AAA et al. Usefulness of collagen type IV in the detection of significant liver fibrosis in nonalcoholic fatty liver disease. Ann Hepatol. 2021;20:100253. https://doi.org/10.1016/j.aohep.2020.08.070
15. Kostadinova L, Shive CL, Zebrowski E, et al. Soluble markers of immune activation differentially normalize and selectively associate with improvement in AST, ALT, albumin, and transient elastography during FN-Free HCV therapy. Pathog Immun. 2018;3(1):149-163. https://doi.org/10.20411/pai.v3i1.242
16. Liu Y, Zhang J, Chen Y, et al. The correlation and role analysis of COL4A1 and COL4A2 in hepatocarcinogenesis. Aging (Albany NY). 2020;12(1):204-223. https://doi.org/10.18632/aging.102610
17. Дедов И.И., Шестакова М.В., Майоров А.Ю. и соавт. Алгоритмы специализированной медицинской помощи больным сахарным диабетом Под редакцией И.И. Дедова, М.В. Шестаковой, А.Ю. Майорова. 10-й выпуск // Сахарный диабет. — 2021. — Т. 24. — №1s. — С. 1–148. https://doi.org/10.14341/DM12802
18. Ивашкин В.Т., Драпкина О.М., Шульпекова Ю.О. и соавт. Клинические рекомендации по диагностике и лечению неалкогольной жировой болезни печени Российского общества по изучению печени и Российской гастроэнтерологической ассоциации // Российский журнал гастроэнтерологии. Гепатологии, колопроктологии. — 2016. — №2. — С. 24–42. 2016; 2:24-42 (In Russ). https://doi.org/10.22416/1382-4376-2016-26-2-24-42
19. Castéra L, Vergniol J, Foucher J. Prospective comparison of transient elastography, Fibrotest, APRI, and liver biopsy for the assessment of fibrosis in chronic hepatitis C. Gastroenterology.2005;128(2):343-350 https://doi.org/10.1053/j.gastro.2004.11.018
20. Наркевич А.Н., Виноградов К.А. Методы определения минимально необходимого объема выборки в медицинских исследованиях // Социальные аспекты здоровья населения. — 2019. — Т. 6. — №65. — C.1–10 https://doi.org/10.21045/2071-5021-2019-65-6-10
21. Radwanska A, Cottage CT, Piras A, et al. Increased expression and accumulation of GDF15 in IPF extracellular matrix contribute to fibrosis. JCI Insight. 2022; 7(16):e153058. https://doi.org/10.1172/jci.insight.153058
22. Yang L, Chang CC, Sun Z, et al. GFRAL is the receptor for GDF15 and is required for the anti-obesity effects of the ligand. Nat Med. 2017;23(10):1158-1166. https://doi.org/10.1038/nm.4394
23. Wang D, Townsend LK, DesOrmeaux GJ, et al. GDF15 promotes weight loss by enhancing energy expenditure in muscle. Nature. 2023;619(7968):143-150. https://doi.org/10.1038/s41586-023-06249-4
24. Li T, Leng XS, Zhu JY, et al. Suppression of hedgehog signaling regulates hepatic stellate cell activation and collagen secretion. Int J Clin Exp Pathol. 2015;8:14574–9
25. Wang T, Jin H, Hu J, et al. COL4A1 promotes the growth and metastasis of hepatocellular carcinoma cells by activating FAK-Src signaling. J Exp Clin Cancer Res. 2020;39(1):148. https://doi.org/10.1186/s13046-020-01650-7
26. Yan L, Deng Y, Zhou J, et al. Serum YKL-40 as a biomarker for liver fibrosis in chronic hepatitis B patients with normal and mildly elevated ALT. Infection. 2018;46(3):385-393. https://doi.org/10.1007/s15010-018-1136-2
27. Johansen JS, Christoffersen P, Moller S, et al. Serum YKL-40 is increased in patients with hepatic fibrosis. J Hepatol. 2000;32:911–920. https://doi.org/10.1016/S0168-8278(00)80095-1
28. Zhang S, Sousa A, Lin M et al. Role of Chitinase 3-Like 1 Protein in the Pathogenesis of Hepatic Insulin Resistance in Nonalcoholic Fatty Liver Disease. Cells. 2021;10(2):201. https://doi.org/10.3390/cells10020201
Об авторах
Я. А. КраснерРоссия
Краснер Яков Аркадьевич - к.м.н., н.с.
Новосибирск
Конфликт интересов:
Авторы декларируют отсутствие явных и потенциальных конфликтов интересов, связанных с публикацией настоящей статьи
В. В. Романов
Россия
Романов Вячеслав Витальевич - н.с.; Scopus Author ID: 56810492000.
Новосибирск
Конфликт интересов:
Авторы декларируют отсутствие явных и потенциальных конфликтов интересов, связанных с публикацией настоящей статьи
О. Н. Фазуллина
Россия
Фазуллина Ольга Николаевна - к.м.н., с.н.с.; Researcher ID: R-9382-2017; Scopus Author ID: 55554348400.
Новосибирск
Конфликт интересов:
Авторы декларируют отсутствие явных и потенциальных конфликтов интересов, связанных с публикацией настоящей статьи
М. Ф. Осипенко
Россия
Осипенко Марина Федоровна - д.м.н., профессор; Scopus Author ID: 6701825144.
Новосибирск
Конфликт интересов:
Авторы декларируют отсутствие явных и потенциальных конфликтов интересов, связанных с публикацией настоящей статьи
В. В. Климонтов
Россия
Климонтов Вадим Валерьевич - д.м.н., профессор; Researcher ID: R-7689-2017; Scopus Author ID: 8295977000.
630060, Новосибирск, ул. Тимакова, 2
Конфликт интересов:
Авторы декларируют отсутствие явных и потенциальных конфликтов интересов, связанных с публикацией настоящей статьи
Дополнительные файлы
|
|
1. Рисунок 1. ROC-анализ прямых и непрямых сывороточных маркеров в диагностике выраженного фиброза печени у больных сахарным диабетом 2 типа с неалкогольной жировой болезнью печени. | |
| Тема | ||
| Тип | Исследовательские инструменты | |
Посмотреть
(156KB)
|
Метаданные ▾ | |
Рецензия
Для цитирования:
Краснер Я.А., Романов В.В., Фазуллина О.Н., Осипенко М.Ф., Климонтов В.В. Биомаркеры сыворотки крови, ассоциированные с фиброзом печени, у больных сахарным диабетом 2 типа. Сахарный диабет. 2024;27(1):25-32. https://doi.org/10.14341/DM13059
For citation:
Krasner Y.A., Romanov V.V., Fazullina O.N., Osipenko M.F., Klimontov V.V. Serum biomarkers associated with liver fibrosis in patients with type 2 diabetes. Diabetes mellitus. 2024;27(1):25-32. (In Russ.) https://doi.org/10.14341/DM13059
Контент доступен под лицензией Creative Commons Attribution-NonCommercial-NoDerivatives 4.0 International License (CC BY-NC-ND 4.0).









































