Preview

Сахарный диабет

Расширенный поиск

Связь вариабельности ритма сердца, динамики нейропатии вегетативного отдела нервной системы и изменений температурной чувствительности у крыс со стрептозотоциновым сахарным диабетом

https://doi.org/10.14341/DM10069

Содержание

Перейти к:

Аннотация

ОБОСНОВАНИЕ. Развитие сахарного диабета (СД) сопровождается гипергликемией, которая влечет за собой развитие нейропатии. Мы предполагаем, что индивидуальные особенности организации вегетативной нервной системы (ВНС) у людей влияют не только на способность противостоять стрессу, но могут определять течение заболеваний, в том числе СД.


ЦЕЛЬ. Изучение динамики показателей вариабельности ритма сердца (ВРС) и температурной чувствительности у крыс на фоне длительной гипергликемии в зависимости от организации исходной регуляции работы сердца со стороны ВНС.


МЕТОДЫ. 70 самцов крыс рандомизировали по массе и уровню общей ВРС на крыс с исходно низким и высоким уровнем этого показателя. СД моделировали однократной внутрибрюшинной (в/б) инъекцией стрептозотоцина (СТЗ). Контрольная группа получала однократную в/б инъекцию цитратного буфера (ЦБ). До моделирования СД, а также через 21, 42 и 70 сут после инъекции СТЗ проводили комплексное обследование состояния животного: 1) оценку параметров ВРС; 2) анализ температурно-болевой чувствительности; 3) оценку уровней глюкозы и кетоновых тел в крови. Аналогично исследовали животных в группе ЦБ.


РЕЗУЛЬТАТЫ. Изменение ВРС и температурно-болевой чувствительности у крыс зависело от исходного уровня ВРС. У крыс с низкой общей вариабельностью время реакции в болевом тесте увеличилось на 8–32% с 28-х суток опыта, с 21-х суток нарастали брадикардия и снижение отдельных показателей ВРС в состоянии покоя, но не ответ этих параметров на холодовой стресс.


ЗАКЛЮЧЕНИЕ. Развитие поражения ВНС зависит от исходного уровня ВРС. Низковариабельные животные обладают большей устойчивостью к гипергликемии: дольше сохранны нормальные диапазоны реакций на холодовую пробу со стороны ЧСС, параметров общей ВРС и вклада ВНС в нее, но есть потеря температурной чувствительности. Исходно высоковариабельные крысы с развитием СД не теряют температурной чувствительности, но демонстрируют разбалансировку регуляторных контуров ЧСС и ВРС.

Для цитирования:


Морозова М.П., Гаврилова С.А., Иванов Е.В., Ердяков А.К., Ржавина Е.М., Кошелев В.Б., Галстян Г.Р. Связь вариабельности ритма сердца, динамики нейропатии вегетативного отдела нервной системы и изменений температурной чувствительности у крыс со стрептозотоциновым сахарным диабетом. Сахарный диабет. 2019;22(3):233-243. https://doi.org/10.14341/DM10069

For citation:


Morozova M.P., Gavrilova S.A., Ivanov E.V., Erdiakov A.K., Rzhavina E.M., Koshelev V.B., Galstyan G.R. The initial level of heart rate variability determines the dynamics of the neuropathy of the autonomic nervous system and temperature sensitivity in rats with streptozotocin diabetes. Diabetes mellitus. 2019;22(3):233-243. (In Russ.) https://doi.org/10.14341/DM10069

Развитие сахарного диабета (СД) сопровождается хронической стойкой гипергликемией, которая влечет за собой специфические нарушения различных звеньев центральной и периферической нервной системы, изменение метаболизма, а также снижение кровоснабжения, замедление репаративных и других процессов в органах и тканях. Нарушение репарации тканей плюс дополнительные механические воздействия приводят к образованию хронических трофических язв и со временем к формированию синдрома диабетической стопы. До сих пор не ясно выборочное формирование синдрома у некоторых пациентов с СД как 1-го, так и 2-го типов. Не изучено, почему в некоторых случаях развитие диабетической стопы сопровождается ишемией (ишемическая форма), а в некоторых – нейропатией разных отделов нервной системы (нейрогенная форма). Складывается впечатление, что развитие нейропатии как ведущего фактора осложнений СД недооценено и недостаточно изучено [1].

В клинической практике и экспериментальных работах нейропатию рецепторной части периферической нервной системы оценивают по результатам тактильных и болевых тестов, состояние моторного отдела – по скорости проведения импульсов по нервам, поражение вегетативного отдела нервной системы – по изменению показателей вариабельности ритма сердца (ВРС) [2].

На данный момент известно, что здоровые люди неоднородны по организации контроля функций организма вегетативной нервной системой (ВНС), по выраженности влияний симпатического и парасимпатического отделов и обладают разным приспособительным потенциалом в условиях стрессорных нагрузок от способности к достижению результатов в определенных видах спорта до эмоциональной чувствительности к изменению жизненных обстоятельств [3]. Мы предполагаем, что индивидуальные особенности организации ВНС у здоровых людей влияют не только на способность противостоять стрессу, но и во многом могут определять течение заболеваний. В настоящее время в клинических условиях нет возможности проверить данное предположение, поскольку здоровых людей не обследуют с целью охарактеризовать особенности организации нервного контроля функций в организме, поэтому работа выполнена на экспериментальных животных.

Для изучения механизмов развития СД хроническую стойкую гипергликемию у крыс моделируют с помощью внутрибрюшинной (в/б) инъекции стрептозотоцина (СТЗ), который приводит к гибели β-клеток поджелудочной железы и отсутствию инсулина [3]. Эту модель используют для исследования диабетической нейропатии [4].

ЦЕЛЬ

Цель настоящего исследования заключается в изучении динамики показателей ВРС и температурной чувствительности у крыс на фоне длительной гипергликемии в зависимости от организации исходной регуляции работы сердца со стороны ВНС.

МЕТОДЫ

Дизайн исследования

Экспериментальное проспективное исследование выполняли на самцах белых беспородных крыс массой 350±25 г (n=70), которых содержали в условиях вивария с регулируемым световым режимом (12 ч – день, 12 ч – ночь) со свободным доступом к воде и пище (стандартный гранулированный корм для разведения лабораторных животных). Всех животных в течение месяца до начала эксперимента адаптировали к условиям эксперимента и диагностическим манипуляциям. СД моделировали однократной в/б инъекцией СТЗ в дозе 65 мг/кг в холодном 0,1 М цитратном буфере (ЦБ) (pH=4,5, t=+4°С). Контрольная группа получала однократную в/б инъекцию холодного 0,1 М ЦБ (pH=4,5, t=+4°С) эквивалентно.

Критерии соответствия

Через 3 сут после введения СТЗ оценивали уровень глюкозы в крови животных, крыс с уровнем глюкозы ниже 15 ммоль/л из эксперимента исключали. День верификации развития СД считали первым днем эксперимента.

Условия проведения

Исследование проведено на кафедре физиологии и общей патологии факультета фундаментальной медицины МГУ им. М.В. Ломоносова с соблюдением всех правил работы с лабораторными животными. Конфликт интересов при проведении исследования отсутствует.

Продолжительность исследования

Продолжительность исследования составила 70 сут с момента введения СТЗ крысам группы СД или ЦБ крысам группы ЦБ с промежуточными точками на 21-е и 42-е сутки после введения соответствующих веществ.

Описание медицинского вмешательства

В течение всего опыта 1 р/сут утром животные группы СД получали инъекцию инсулина детемира (препарат Левемир®) в дозе 1,5 Ед/кг в физиологическом растворе подкожно, что не влияло на уровень глюкозы в крови, но увеличивало выживаемость крыс. До моделирования СТЗ-индуцированного СД, через 21, 42 и 70 сут после инъекции СТЗ проводили комплексное обследование состояния животного. Комплексный анализ, проводимый в контрольных точках, включал: 1) оценку параметров ВРС до и после холодового воздействия по 5-минутным фрагментам записей ЭКГ у бодрствующих крыс; 2) анализ температурно-болевой чувствительности в тесте с отдергиванием хвоста; 3) оценку уровня глюкозы в крови с помощью глюкометров OneTouch Verio Pro+ (LifeScan, США) и iCheck (Diamedical, Великобритания) и уровня кетоновых тел в крови – с помощью кетометра Optium Xceed (Abbott, США) и тест-полосок к ним. Аналогично обследовали крыс группы ЦБ. У крыс ежедневно оценивали массу тела и рассчитывали суточную дозу инсулина, 1 раз в неделю измеряли уровень глюкозы в крови.

Основной исход исследования

Выявление различий в параметрах ВРС (до и после холодового воздействия) и в значениях температурно-болевой чувствительности между экспериментальными группами.

Дополнительные исходы исследования

Оценка уровня глюкозы и кетоновых тел в крови, изменение массы животных.

Анализ в подгруппах

Экспериментальные группы животных: низковариабельных (НВ)-ЦБ – крысы с исходно низким уровнем ВРС, с инъекцией ЦБ внутрибрюшинно; высоковариабельных (ВВ)-ЦБ – крысы с исходно высоким уровнем ВРС, с инъекцией ЦБ внутрибрюшинно; НВ-СД – крысы с исходно низким уровнем ВРС, с инъекцией СТЗ в ЦБ внутрибрюшинно; ВВ-СД – крысы с исходно высоким уровнем ВРС, с инъекцией СТЗ в ЦБ внутрибрюшинно.

Крыс рандомизировали таким образом, чтобы экспериментальные группы животных были одинаковы по массе и уровню общей ВРС, оцененному по параметру SDRR.Каждая временная точка соответствует отдельной экспериментальной группе, в каждой группе с СД число животных составляло 15, в контрольных группах, с введением ЦБ, – по 10 в каждой.

Методы регистрации исходов

За 1 сут до эксперимента у крыс выбривали шерсть с верхней части спины. В день эксперимента для регистрации ЭКГ кожу обезжиривали, приклеивали электроды Skintact F-301, фиксировали их ременным жилетом, животных адаптировали к эксперименту в стеклянном кубе с затемненными стенками в течение 1 ч. ЭКГ регистрировали в 1-м отведении 20 мин в состоянии спокойного бодрствования и 10 мин после холодовой пробы (ХП). Для выполнения ХП животных переносили в стеклянный куб на пакет со снегом (t=+4°С) на 3 мин.

Сигнал с накожных электродов с помощью многоканальной системы ECGA (Hugo Sachs Elektronik, Германия) через аналогово-цифровой преобразователь E14-140 (L-CARD, Россия) регистрировали и обрабатывали на компьютере в программе PowerGraph (Россия), частота оцифровки 2 кГц. Для обработки полученных записей использовали специальную компьютерную программу, разработанную Е.В. Лукошковой, которая обеспечивает возможность удаления эктопических комплексов и артефактов и последующий расчет необходимых параметров ВРС.

По 5-минутным фрагментам записи определяли медиану значений ЧСС (HR, уд/мин) и медиану длительности среднего RR-интервала (RR, мс). Из параметров ВРС, определяемых во временной области, рассчитывали показатели, характеризующие: 1) общую ВРС – стандартное отклонение для RR-интервалов (SDRR, мс) и для ЧСС (SDHR, уд/мин); 2) наиболее быстрые изменения ритма сердца – квадратный корень из среднего квадрата разностей величин длительности смежных RR-интервалов (RMSSD, мс), процент RR-интервалов, отличающихся от предыдущего более чем на 3 мс – pNN3; 3) относительно медленные изменения ритма – SDARR и SDAHR –стандартные отклонения средних значений RR-интервалов и ЧСС, вычисленных по 1-минутным фрагментам записи за 5 мин (аналоги принятого для человека показателя SDANN).

Состояние сенсорного звена нервной системы оценивали по времени отдергивания хвоста крысы, погруженного на 3 см в горячую воду (+55°С).

Этическая экспертиза

При работе с экспериментальными животными руководствовались приказом Министерства здравоохранения и социального развития Российской Федерации №708н от 23.08.2010 г. «Об утверждении Правил лабораторной практики». На проведение экспериментов было получено разрешение комиссии ФФМ МГУ им. М.В. Ломоносова по биоэтике № БМЭ-02-18/110-03 от 19.01.2018.

Статистический анализ

Принципы расчета размера выборки: выборка рассчитана, исходя из необходимого количества животных для адекватной оценки параметров ВРС.

Методы статистического анализа данных. Данные обрабатывали в программе Statistica 10.0 (StatSoft, США). Нормальность распределения была оценена критерием согласия Пирсона. Для оценки различий между группами применяли непараметрические методы: для сравнения несвязанных выборок – критерий Манна-Уитни, для внутригрупповых сравнений – критерий Вилкоксона. Различия признавались значимыми при p<0,05. Данные представлены в виде среднего±стандартное отклонение при нормальном распределении значений или медианы (первый; третий квартиль) во всех остальных случаях.

РЕЗУЛЬТАТЫ

Объекты (участники) исследования

Исходно популяция крыс была разделена по уровню общей ВРС (параметр SDRR), с помощью кластерного анализа методом k-средних на животных с условно низким уровнем ВРС (НВ; SDRR<6,7 мс) и условно высоким уровнем ВРС (ВВ; SDRR>6,7 мс). Абсолютные значения медиан показателей ВРС у крыс, полученные в начале эксперимента, представлены в табл. 1. Оказалось, что у НВ крыс все показатели ВРС, за исключением SDARR и SDAHR, были значимо меньше по сравнению с животными из группы ВВ.

Таблица 1. Исходные значения параметров вариабельности ритма сердца и их изменение в ответ на холодовую пробу у крыс с исходно высоким и низким уровнем вариабельности ритма сердца

 

Исходный уровень параметров ВРС у крыс в покое, n

Реакция параметров ВРС на холодовую пробу, % от исходного уровня

Параметры

НВ (n=60)

ВВ (n=26)

НВ (n=60)

ВВ (n=26)

RR, мс

173 (162;180)

170 (161;178)

-12 (-21;-8)****

-15 (-22;-10)****

SDRR, мс

4,7 (3,9;5,8)

8,1 (7,4;9,2)####

22 (-4;54)****

-13 (-31;6)*γγγγ

RMSSD, мс

2,9 (2,2;3,5)

3,9 (3,3;5,1)####

-14 (-32;15)*

-23 (-46;5)**

pNN3, %

26 (16;39)

39 (33;51)####

-35 (-70;75)****

-42 (-71;-6)****

SDARR, мс

3,7 (2,7;5,2)

4,4 (3,1;6,0)

152 (70;358)****

111 (47;260)****

HR, уд/мин

348 (335;370)

355 (341;374)

14 (8;27)****

17 (11;25)****

SDHR, уд/мин

9,9 (7,7;12,4)

18,6 (15,2;21,0)####

65 (22;129)****

16 (-12;48)* γγγγ

SDAHR, уд/мин

8,1 (5,3;11,6)

10,2 (6,5;14,2)

270 (99;501)****

193 (119;386)****

Примечания: #### – р<0,00001 – статистически значимые различия между НВ и ВВ группами; * – р<0,05; ** – р<0,01; *** – р<0,001; **** – р<0,00001 – статистически значимое различие по сравнению с исходным уровнем показателя ВРС до и после предъявления ХП; γγγγ – р<0,00001 – статистически значимое отличие в степени реакции показателя ВРС на ХП между группами НВ и ВВ.

Реакция параметров ВРС у животных ВВ и НВ на предъявление ХП существенно различалась. Так, НВ животные реагировали на ХП увеличением показателей общей ВРС SDRR и SDHR, за счет снижения вклада параметров быстрых колебаний ритма сердца – RMSSD и pNN3 на фоне более выраженного увеличения вклада медленных колебаний ритма, SDARR и SDAHR (табл. 1).

Животные с изначально более высоким уровнем ВРС отреагировали на ХП разнонаправленным изменением показателей общей ВРС: снижением показателя SDRR и увеличением SDHR, что значимо отличалось от динамики колебаний параметров общей ВРС у НВ-крыс. Реакция показателей общей ВРС у ВВ-крыс обеспечивалась уменьшением RMSSD и pNN3 в ответ на ХП и увеличением SDARR и SDAHR в меньшей степени, несмотря на то, что статистически реакции показателей у НВ- и ВВ-групп не различались.

В среднем уровень глюкозы в крови животных до моделирования СД составил 6,2±2,4 ммоль/л во всех экспериментальных группах.

Основные результаты исследования

Оценка температурной чувствительности

Исходно НВ и ВВ крысы не отличались по величине температурной чувствительности, латентный период реакции одергивания хвоста составил 2,5 (2,1;3,0) с. В контрольных группах температурная чувствительность не изменялась в течение 70 сут наблюдения (рис. 1) и была одинаковой в обеих группах, поэтому на графике представлены объединенные значения времени отдергивания хвоста для этих групп.

Рис. 1. Динамика температурной чувствительности (время одергивания хвоста) у крыс со стрептозотоцин-индуцированным сахарным диабетом. * – p<0,05, ** – p<0,01 – статистически значимые различия между группами НВ-ЦБ и НВ-СД; # – p<0,05 статистически значимые различия между группами ВВ-ЦБ и ВВ-СД.

Интересно, что у крыс группы НВ-СД показано значимое увеличение на 8–32% времени отдергивания хвоста, начиная с 28-х суток развития СД, по сравнению с группой НВ-ЦБ. В группе ВВ-СД статистически значимое увеличение на 8 и 16% данного параметра по сравнению с группой ВВ-ЦБ выявлено только на 28-е и 42-е сутки опыта соответственно.

Динамика ЧСС и среднего RR-интервала у бодрствующих крыс в покое и в ответ на ХП

До моделирования СД в подгруппах и ВВ, и НВ крыс ЧСС в состоянии спокойного бодрствования составляла в среднем 350 уд/мин, что соответствует длительности среднего RR-интервала 172 мс (рис. 2, см. табл. 1).

Рис. 2. Динамика ЧСС у крыс после моделирования стрептозотоцинового диабета. @ – р<0,00001 – статистически значимые отличия от 0-х суток своей группы; $ – р<0,05 – статистически значимые отличия между группами НВ-СД и ВВ-СД.

ЧСС и длительность RR-интервала у группы НВ-ЦБ не изменялись в течение опыта. В группе ВВ-ЦБ, начиная с 21-х суток эксперимента, выявлено значимое, физиологически незначительное снижение на 5% ЧСС и соответствующее увеличение длительности среднего RR-интервала. Между НВ-ЦБ и ВВ-ЦБ группами в течение эксперимента различий не обнаружено.

Моделирование СД, начиная с 21-х суток эксперимента, приводило к развитию выраженной брадикардии – по сравнению с исходным уровнем ЧСС значимо снизилась на 25 и 33%, а длительность RR-интервала увеличилась на 32% и 48% у НВ-СД и ВВ-СД соответственно. У ВВ-СД животных брадикардия на 21-е сутки наблюдения была более выражена, чем у НВ-СД крыс.

В ответ на ХП до моделирования СД ЧСС увеличивалась на 14–17%, а длительность RR-интервалов снижалась на 12–15% (см. табл. 1) как у НВ-, так и у ВВ-крыс. И у контрольных животных эта реакция сохранялась в течение эксперимента. При моделировании СД в группе НВ-СД реакции ЧСС и длительности RR-интервалов на ХП, как и в контроле, не изменялись (рис. 3, см. табл. 1).

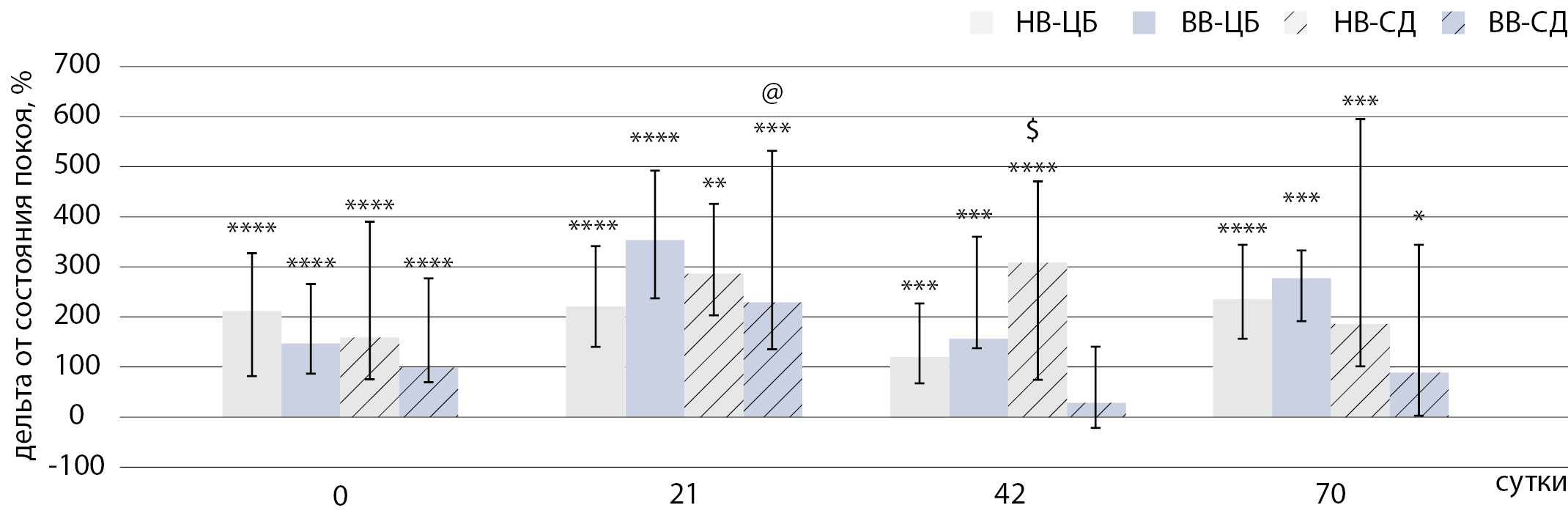
Рис. 3. Динамика реакции частоты сердечных сокращений у крыс сразу после проведения холодовой пробы. ** – р<0,001; *** – р<0,0001; **** – р<0,00001 – статистически значимые отличия от уровня покоя; @ – р<0,05 – статистически значимые отличия внутри высоковариабельной группы на 70-е сутки от 0-х и 21-х суток опыта.

У животных группы ВВ-СД к 42-м суткам эксперимента выполнение ХП не приводило к статистически значимым изменениям ЧСС и длительности RR-интервалов, а к 70-м суткам эксперимента реакции этих параметров были в 3 раза ниже по сравнению со значениями до моделирования СД.

Динамика ВРС у бодрствующих крыс в покое и в ответ на холодовую пробу в течение 70 суток после моделирования сахарного диабета

У контрольных животных групп НВ-ЦБ и ВВ-ЦБ показатели общей ВРС в течение 70 сут эксперимента не изменялись, и различия между НВ- и ВВ-животными сохранялись. Ответы параметров ВРС на ХП в этих группах животных также сохранялись в течение всего срока эксперимента.

У НВ-СД крыс, начиная с 21-х суток после моделирования СД, исследование параметров общей ВРС показало, что индекс SDRR, возрастал, а SDHR снижался, причем статистическая сила уменьшения последнего показателя была более выраженной. Такая динамика общей ВРС происходила за счет увеличения в 1,5 раза параметров RMSSD и почти в 2 раза – pNN3, характеризующих вклад парасимпатической ВНС (пВНС) в общую ВРС, и снижения на 42% параметра SDAHR, интерпретируемого как вклад симпатической ВНС (сВНС) в общую ВРС (табл. 2).

Таблица 2. Динамика параметров вариабельности ритма сердца на протяжении эксперимента в группах низковариабельных с сахарным диабетом и высоковариабельных с сахарным диабетом

Параметры

Группа

Фон

21 сут

42 сут

70 сут

RR, мс

НВ-СД

173 (165;181)

229 (209; 244)****

228 (214;238)****

229 (210;257)

ВВ-СД

171 (156;180)

253 (237;261)****

215 (202;253)****

240 (225;250)****

SDRR, мс

НВ-СД

4,6 (3,9;5,8)

6,0 (3,9;7,1)#

5,6 (4,9;8,3)*

6,5 (4,1;10,2)*

ВВ-СД

8,1 (7,4;9,8)

9,0 (6,3;9,9)

8,1 (7,0;11,4)

7,7 (5,1;8,6)

RMSSD, мс

НВ-СД

3,2 (2,3;3,6)

4,8 (3,8;6,3)****

5,1 (4,2;7,0)****

5,5 (4,2;8,8)****

ВВ-СД

3,8 (3,3;5,1)

6,5 (5,2;8,0)***

5,7 (4,8;8,6)**

6,3 (5,2;8,3)*

pNN3, %

НВ-СД

30 (21;41)

58 (52;67)****

58 (48;71)****

60 (51;73)****

ВВ-СД

40 (34;45)

68 (57;72)****

59 (49;68)**

64(53;69)**

SDARR, мс

НВ-СД

3,4 (2,7;4,8)

2,9 (2,4;4,4)

3,0 (2,4;5,5)

3,3 (2,4;5,5)

ВВ-СД

4,9 (2,7;5,9)

4,6 (3,6;5,9)

6,9 (5,0;8,1)*

4,3 (2,2;5,9)

HR, уд/мин

НВ-СД

348 (331;366)

262 (246;287)****

263 (253;281)****

264 (234;286)****

ВВ-СД

353 (339;385)

238 (230;254)****

292 (237;297)****

250 (240;268)****

SDHR, уд/мин

НВ-СД

9,4 (7,3;12,3)

6,2 (5,0;9,4)**

6,8 (5,5;9,4)*

8,3 (5,5;9,4) #

ВВ-СД

19,2 (15,7;20,9)

8,4 (7,5;8,6)****

10,4 (8,2;14,7)**

6,7 (5,5;12,1)***

SDAHR, уд/мин

НВ-СД

7,3 (5,2;10,8)

4,2 (2,6;5,3)****

3,8 (2,7;6,0)**

4,1 (2,8;5,2)****

ВВ-СД

11,1 (6,3;12,5)

5,5 (3,3;7,1)**

6,8 (5,5;11,4)

4,5 (2,1;7,3)**

Примечания: * – р <0,05; ** – р<0,01; *** – р<0,001; **** – р<0,0001 – статистически значимые отличия по сравнению с фоновым уровнем (до инъекции СТЗ), # – p=0,05 по сравнению с фоновым уровнем.

У ВВ-СД крыс, начиная с 21-х суток после моделирования СД, выявлено постепенное снижение на 56% показателя SDHR без изменения SDRR. Детальное изучение структуры ВРС показало значимое увеличение на 70% параметров RMSSD и pNN3, характеризующих вклад пВНС в общую ВРС, по сравнению с исходным уровнем, и снижение в 2 раза параметра SDAHR, интерпретируемого как вклад сВНС в общую ВРС (см. табл. 2).

Межгрупповые сравнения показали, что на 21-е сутки опыта между НВ-СД и ВВ-СД подгруппами животных сохранялось статистически значимое различие по показателю SDRR, но не по SDHR. К 42-м суткам развития СД различия по показателям общей ВРС между НВ-СД и НВ-СД животными еще сохранялись, однако показатели вклада пВНС в общую ВРС достигли одного уровня и не отличались у НВ- и ВВ-животных. К 70-м суткам развития СД различия между НВ- и ВВ-животными исчезли по всем показателям ВРС.

Реакция ВРС на холодовую пробу у крыс с сахарным диабетом

Оценка ВРС в ответ на ХП во время развития СД показала, что реакции параметров ВРС в группах НВ-СД и ВВ-СД различны.

В НВ-СД группе крыс реакция SDRR и SDHR, характеризующих общую ВРС, на предъявление ХП на протяжении всего срока развития СД сохраняется на исходном уровне, как до инъекции СТЗ (рис. 4, данные представлены для SDRR).

Рис. 4. Изменение общей вариабельности ритма сердца, SDRR, в ответ на холодовую пробу у крыс на фоне развития сахарного диабета: * – р<0,05; ** – р<0,001; **** – р<0,00001 – статистически значимые отличия от уровня покоя; $ – р<0,05, $$$ – р<0,001 – статистически значимые отличия между НВ- и ВВ-крысами внутри одной временной точки; @ – р<0,05; @@ – р<0,01; @@@ – р<0,001– статистически значимые отличия внутри группы высоковариабельных крыс на разных сроках сахарного диабета.

На фоне стабильного ответа SDRR структура ВРС на ХП изменилась: параметр RMSSD на функциональный тест не реагировал, начиная с 21-х суток эксперимента (данные не представлены рисунком), а реакция pNN3 на 21-е сутки начала снижаться до 6% (р=0,055) в ответ на ХП, а на 42-е и 70-е сутки опыта был значимо снижен до 16 и 13% от исходного уровня реакции на тест. То есть у животных с исходно низкой ВРС на фоне развития СД снижен ответ парасимпатического отдела ВНС на ХП (рис. 5).

Рис. 5. Динамика ответа показателя pNN3 на холодовую пробу у крыс с изначально разной вариабельностью ритма сердца на фоне развития сахарного диабета: * – р<0,05; ** – р<0,001; **** – р<0,00001 – статистически значимые отличия амплитуды ответа от уровня покоя; @ – р<0,05 - статистически значимые отличия внутри группы высоковариабельных крыс на разных сроках СД. Пунктирная линия показывает точки сравнения внутри одной группы (ВВ) на разных сроках развития сахарного диабета

Амплитуда ответа показателей SDARR и SDAHR на ХП на всех сроках СД сохранялась на том же уровне, что и до моделирования СД (рис. 6).

Рис. 6. Динамика ответа показателя SDARR на холодовую пробу у крыс с изначально разной вариабельностью ритма сердца на фоне развития сахарного диабета: * – р<0,05; ** – р<0,001; **** – р<0,00001 – статистически значимые отличия от уровня покоя; $ – р<0,05 – статистически значимые отличия между низковариабельными и высоковариабельными крысами внутри одной временной точки; @ – р<0,05 – статистически значимые отличия внутри группы высоковариабельных крыс на разных сроках сахарного диабета

У ВВ-СД крыс на 21-е сутки развития СД выполнение ХП сопровождалось значимым увеличением на 46% и 96% показателей SDRR и SDHR (см. рис. 3, показан результат только для SDRR), к 70-м суткам значимое увеличение реакции составило 22% и 27% соответственно. В этой группе животных, аналогично исходно НВ-животным, реакция RMSSD на ХП отсутствовала (данные не представлены рисунком), показатель рNN3 снижался в ответ на ХП только на 21-е сутки опыта, а затем, к 42-м и 70-м суткам, реакция на тест пропадала (см. рис. 5). Динамика ответа на ХП показателей, отражающих вклад преимущественно симпатического отдела ВНС в ВРС, была сложной: на 21-е сутки развития СД реакции SDARR и SDAHR были увеличены в 2,3 (тенденция, р=0,08) и 1,5 раза по сравнению с уровнем до СД (рис. 6, данные представлены для SDARR).

На 42-е сутки опыта реакция SDAHR в ответ на ХП снижалась ниже контрольных значений (p<0,05), а к 70-м суткам возвращалась к уровню до СД.

Интересно, что на 21-е и 70-е сутки эксперимента различия реакций параметров, характеризующих вклад как симпатического, так и парасимпатического отделов ВНС в ВРС, в ответ на ХП между группами отсутствовали, тогда как на 42-е сутки опыта наблюдали значимое различие между НВ- и ВВ-субпопуляциями крыс по чувствительности к ХП параметров общей ВРС и показателей, характеризующих вклад сВНС.

Дополнительные результаты исследования

Инъекция ЦБ животным из групп НВ-ЦБ и ВВ-ЦБ не приводила к значимым колебаниям уровня глюкозы в крови на протяжении всего срока эксперимента. Однократная в/б инъекция СТЗ приводила к развитию стойкой гипергликемии, через 3 суток у крыс групп НВ-СД и ВВ-СД уровень глюкозы в крови возрастал в 4–7 раз относительно исходного уровня, начиная с 28-х суток эксперимента концентрация глюкозы повысилась до 42±0,1 ммоль/л в обеих группах животных с СД и оставалась таковой в течение всего эксперимента.

Уровень кетоновых тел в крови у животных с СД обеих подгрупп составлял 0,9±0,3 ммоль/л, не изменялся в течение всего эксперимента и не отличался от значений у контрольных крыс – 1,0±0,25 ммоль/л.

Оценка динамики массы показала, что животные групп НВ-ЦБ и ВВ-ЦБ к концу опыта в среднем прибавили 21–24% от массы в начале эксперимента. Общая потеря массы животными групп НВ-СД и ВВ-СД составила 25%, причем более половины этой потери произошло в течение 3 сут после инъекции СТЗ, начиная с 3-х суток крысы получали ежедневно инсулин, и на фоне инсулина похудение крыс замедлилось.

Изменение массы животных, уровня глюкозы и кетоновых тел в крови не зависело от исходного уровня ВРС, динамика этих показателей не различалась между подгруппами внутри контрольных животных и внутри животных с СД.

Нежелательные явления

Нежелательные явления у животных с СД, в том числе потеря массы до 25% от начальных значений, а также стойкая гипергликемия до 42 ммоль/л, связаны непосредственно с развитием и прогрессированием заболевания.

ОБСУЖДЕНИЕ

Резюме основного результата исследования

Развитие поражения ВНС и чувствительного звена нервной системы на фоне стойкой гипергликемии при развитии СТЗ-индуцированного СД зависят от исходного уровня ВРС, т.е. от исходной организации ВНС, а ХП помогает оценить физиологический резерв вклада пВНС и сВНС в структуру ВРС при стрессе.

Обсуждение основного результата исследования

Как в популяции здоровых людей, так и в популяции здоровых крыс удается выделить группы с исходно разным уровнем ВРС. У людей по соотношению вкладов парасимпатического и симпатического отделов ВНС в общую ВРС выделяют ваготоников, симпатикотоников и нормотоников [5, 6]. По оценке выраженности влияний автономного и центрального контуров регуляции ритма сердца [7] и их реактивности можно судить о способности к оптимизации функций в организме человека в обыденной жизни, возможности их мобилизации во время нагрузки и способности к быстрому и полноценному восстановлению после [8]. В свете таких наблюдений мы исследовали популяцию крыс и, не ограничиваясь штучным набором показателей, комплексно оценили все параметры ВРС. Так, для характеристики вегетативной организации регуляции функций мы опирались на несколько параметров, характеризующих общую ВРС: SDRR и SDHR, поскольку их расчетные математические функции обладают разной чувствительностью к изменениям и с разной скоростью набирают статистическую значимость. Несмотря на то что клиницистам более привычны показатели временной области, вычисляемые по изменчивости RR-интервалов, параметры, рассчитываемые по колебаниям ЧСС (SDHR и SDAHR), в нашей работе оказались более чувствительны к воздействию длительной гипергликемии.

Результатами нашего исследования показано, что в популяции крыс по значениям SDRR можно выделить животных с условно низкой и условно высокой ВРС, при этом все показатели общей ВРС и показатели, отражающие вклад пВНС в регуляцию ритма сердца, у НВ-крыс значимо ниже, чем у ВВ-животных, реакции на холодовой стресс у них также отличаются. Важно, что у контрольных животных показатели ВРС остаются стабильными на протяжении длительного промежутка времени, а различия по уровню SDRR между НВ- и ВВ-животными сохраняются на протяжении 70 сут наблюдения. Нами замечено, что уровень ЧСС у НВ-ЦБ животных обладал большей стабильностью на всех исследуемых сроках, чем в ВВ-ЦБ подгруппе. Возможно, что у НВ-животных, как у людей с преобладанием центрального контура регуляции ритма сердца, а у ВВ-крыс, подобно людям с преобладанием автономного контура регуляции, по-разному организованы регуляторные контуры, отвечающие за ЧСС. Поэтому ВВ-животные проявляют большую чувствительность к изменениям окружающей среды.

Исходя из того, что крысы с изначально разной ВРС обладают различной реакцией на мягкое холодовое воздействие, нами выдвинута гипотеза о том, что действие серьезных факторов, например, стойкой длительной гипергликемии в нашей модели, вызовет различные адаптивные изменения ВНС и, возможно, чувствительного звена нервной системы.

Моделирование СД не выявило различий между НВ- и ВВ-животными по уровню развития гипергликемии, скорости потери массы, уровень кетоновых тел оставался в пределах нормы. Однако на фоне СД у НВ-СД крыс наблюдали более явное и стабильное снижение температурной чувствительности, выраженное увеличением времени отдергивания хвоста из воды с t=55°С, по сравнению с ВВ-СД группой. Нами отмечено, что выраженность брадикардии, развивающейся в процессе СД, в ВВ-СД группе на 21-е сутки была больше, чем у НВ-СД крыс. Приближение ритма сердца к базальному уровню свидетельствует о развитии феномена «функциональной» денервации синусного узла сердца крысы и может считаться признаком развития автономной нейропатии. В отличие от крыс в клинической практике «функциональная» денервация сердца у лиц, страдающих СД, проявляется тахикардией, так как ритм изолированного от нервных воздействий сердца приближается к 100 уд./мин.

В процессе исследования сложилось убеждение в том, что ВВ-животные обладают более выраженной чувствительностью к гипергликемии, чем НВ-крысы. Абсолютные значения SDHR, параметра общей ВРС и вклада в нее сВНС в НВ-СД и в ВВ-СД группе снижались к 21-м суткам развития СД и оставались сниженными вплоть до 70-х суток наблюдения. Снижение влияния симпатических нервов на синусный узел сердца крысы объясняет развитие брадикардии у крыс с СД. Результаты исследований на крысах со СТЗ-индуцированным СД согласуются с нашими наблюдениями. Эксперименты на гипергликемических крысах выявили первые факты снижения общей ВРС на основании уменьшения показателя SDRR [9, 10, 11]. В настоящее время снижение ВРС объясняют изменением иннервации сердца при СД, описанном на гистологическом уровне [12, 13, 14]. Показано, что через 3 мес развития СД была повреждена автономная регуляция ритма сердца, в первую очередь пВНС: снижено количество нервных окончаний, содержащих ацетилхолинтрансферазу, а к 6 мес развития СД наблюдали уменьшение числа нервных окончаний, содержащих тирозингидроксилазу, что отражает снижение влияний сВНС [12, 14] и полную денервацию сердца.

Нами отмечено, что между НВ-СД и ВВ-СД группами по уровню общей ВРС по параметру SDRR, но не SDHR, на 21-е сутки опыта сохранялось отличие, видимо, за счет более выраженного роста параметров, характеризующих наиболее быстрые колебания ритма – вклад пВНС в ВРС у ВВ-СД крыс. К 42-м суткам развития СД различия по показателям общей ВРС между НВ-СД и НВ-СД животными также сохранялись, скорее всего, за счет различий в уровне параметров, характеризующих вклад сВНС в общую ВРС, но не показателей вклада пВНС, которые достигли одного уровня и не отличались у НВ- и ВВ-животных. К 70-м суткам развития СД различия между исходно НВ- и ВВ-крысами исчезли по всем показателям ВРС. Данное наблюдение является подтверждением, во-первых, формирования феномена «функциональной» денервации сердца по мере развития осложнений длительной гипергликемии, а во-вторых, свидетельством унификации сигналов «изолированного от нервных влияний» сердца, считываемых методом оценки ВРС. То есть величина показателей ВРС в большей степени зависит не от работы внутрисердечных регуляторных процессов, а от регуляторных влияний нервной системы на них. Такого фокуса исследования и взгляда на проблему индивидуальных различий в чувствительности к развитию патологии в мировой литературе не описано. Постановка эксперимента в таком ключе и попытка проверки нашей гипотезы являются уникальными, нами не выявлено экспериментальных работ на эту тему.

В отличие от большинства исследований, описывающих ВРС у бодрствующих животных в покое, мы использовали мягкий стресс – кратковременное высаживание животных на снег – ХП. ХП направлена на активацию сВНС и оценку функциональных возможностей сердца. По результатам ХП показано, что животные с изначально низкой ВРС на протяжении всего эксперимента сохраняют ответ ЧСС и параметров ВРС, отражающих общую ВРС и вклад сВНС в ее формирование. Реакция параметров вклада пВНС на фоне стойкой хронической гипергликемии в совокупности снижалась. Данные факты являются подтверждением развития «функциональной» изоляции сердца на фоне стойкой гипергликемии и прогрессирующей денервации синусного узла сердца крысы со стороны пВНС [12, 14]. Любопытно, что у НВ-СД животных практически не затронуты функциональные возможности со стороны сВНС: амплитуда реакций показателей SDARR и SDAHR на ХП на всех сроках СД сохранялась на том же уровне, что и до моделирования СД.

Выполнение ХП у ВВ-крыс на фоне развития СД выявило отличные от НВ-крыс реакции – увеличение чувствительности ВРС к тесту на 21-е и 70-е сутки опыта на фоне отсутствия реакций со стороны показателей вклада пВНС в общую ВРС, начиная с 21-х суток наблюдения. Скорее всего, именно ослабление парасимпатических влияний привело к увеличению показателей SDARR и SDAHR, наиболее отражающих симпатические влияния ВНС, так как известно, что оба отдела реципрокно регулируют работу сердца. Эти особенности можно объяснить исходно меньшим влиянием центрального контура регуляции на ритм сердца у ВВ-животных и значительной разбалансировкой регуляторных влияний в результате денервации со стороны пВНС при гипергликемии.

Согласно литературным данным, развитие диабетической нейропатии характеризуется в первую очередь исчезновением чувствительности со стороны показателей, характеризующих вклад пВНС в общую ВРС, что свидетельствует о деградации контуров, отвечающих за быстрые колебания ритма сердца [12, 14], что сопровождается растормаживанием влияний сВНС, реципрокно связанных взаимодействием с пВНС, как мы наблюдали у ВВ-СД крыс на 21-е сутки опыта. В исследованиях S.N. Sanyal и соавт. на крысах линии Kob, склонных к спонтанному развитию диабета, полученных методом биобридинга, состояние диабетической нейропатии изучено в фармакологических тестах с применением атропина и пропранолола [15]. Эти животные в эксперименте демонстрировали развитие брадикардии, снижение показателей общей ВРС, SDRR и TP и показателя вклада пВНС, HF, но не соотношения LF/HF, различия этих данных с нашим экспериментом могут быть объяснены особенностями развития СД у этой линии животных. Применение β-блокатора пропранолола значимо не влияло на ЧСС, TP, LF/HF у крыс линии Kob, хотя исследователи отмечают, что реакция на β-блокатор была очень гетерогенна. Предполагают, что возможной мишенью дисрегуляции являются терминали симпатических нейронов и/или внутриклеточные каскады передачи информации с рецепторов внутрь кардиомиоцитов [15]. Однако, опираясь на результаты нашего исследования, нельзя отрицать, что неоднородность реакции на фармакологическую нагрузку может быть связана и с негомогенностью крыс по исходной организации ВНС.

Ограничения исследования

Особенностью нашего исследования является исходное деление животных по их вегетативному статусу, что привело к обнаружению различий в организации структуры ВРС и функционировании регуляторных контуров сердцебиения у НВ- и ВВ-субпопуляций в ответ на предъявление ХП. Такого фокуса исследований в базах данных научной литературы нет, поэтому сопоставить результаты своих экспериментов с мировым исследовательским опытом невозможно. Однако отдельные результаты нашего эксперимента согласуются с исследованиями других научных групп.

В нашем исследовании как у НВ-, так и у ВВ-животных на всех сроках моделирования СД показано увеличение абсолютных значений показателей RMSSD и pNN3, традиционно характеризующих вклад пВНС в общую ВРС. Интерпретация последнего факта должна быть проведена с осторожностью, так как, учитывая развитие выраженной брадикардии, вероятность появления интервала, превосходящего предыдущий на 3 мс, увеличивается, что и улавливает параметр pNN3, а также откликается в повышении показателя RMSSD и параметра общей ВРС, SDRR, особенно в НВ-СД группе. В тесте с предъявлением ХПотсутствие ответа со стороны показателей RMSSD и pNN3 также указывает на нарушение регуляторных контуров со стороны пВНС.

Отдельное ограничение нашего исследования связано с тем, что считывание параметров ВРС на фоне стойкой гипергликемии происходит с сердца, которое постепенно лишается контроля со стороны ВНС, признаки нейропатии проявляются не только в снижении отдельных параметров ВРС, но и в приближении ритма сердца крыс к базальному (нарастающая брадикардия).

ЗАКЛЮЧЕНИЕ

Нами показано, что животные с исходно низкой ВРС обладают большей устойчивостью к гипергликемии. Несмотря на развитие брадикардии и снижение отдельных показателей ВРС у них сохранен диапазон реакции ЧСС и показателей общей ВРС и вклада сВНС в тесте с ХП, наблюдаются признаки потери температурной чувствительности в течение 70 сут опыта. У животных с изначально высокой ВРС, наоборот, нет потери температурной чувствительности, стойкая гипергликемия сопровождается изменением реакций параметров общей ВРС и вклада сВНС, а также ЧСС в тесте с ХП. То есть у ВВ-крыс на фоне развития СД раньше наблюдается функциональная разбалансировка регуляторных контуров ЧСС и ВРС. С течением времени различия между группами по организации ВНС стираются. Хотя этот факт может быть связан с функциональной денервацией сердца, с которого происходит считывание и анализ параметров ВРС. Результаты нашего исследования показывают сложность изучения патогенеза диабетической нейропатии в эксперименте и в клинической практике, необходимость дополнительных исследований и их важность для формирования новых подходов к оценке рисков развития осложнений, связанных с нейропатией разных отделов нервной системы.

ДОПОЛНИТЕЛЬНАЯ ИНФОРМАЦИЯ

Источник финансирования. Работа поддержана грантом РНФ 16-15-10365.

Конфликт интересов. Авторы декларируют отсутствие явных и потенциальных конфликтов интересов.

Участие авторов. Морозова М.П. – экспериментальная работа по оценке болевой чувствительности и ВРС, обработка данных ВРС и анализ результатов, написание текста статьи; Гаврилова С.А. – разработка концепции и дизайна исследования, координация эксперимента, участие в написании текста статьи; Иванов Е.В. – экспериментальная работа по взвешиванию крыс, измерению уровня глюкозы и болевой чувствительности, участие в написании текста статьи; Ердяков А.К. – экспериментальная работа по взвешиванию крыс, измерению уровня глюкозы и болевой чувствительности, участие в написании текста статьи, подготовка статьи к публикации; Ржавина Е.М. – экспериментальная работа по взвешиванию крыс, измерению уровня глюкозы и болевой чувствительности, написание текста статьи; Кошелев В.Б. –координация эксперимента, концепция исследования, участие в написании текста статьи; Галстян Г.Р. – концепция исследования, участие в написании текста статьи. Все авторы внесли значимый вклад в проведение исследования и подготовку статьи, прочли и одобрили финальную версию статьи перед публикацией.

Список литературы

1. Дедов И.И., Шестакова М.В., Андреева Е.Н., и др. Сахарный диабет: диагностика, лечение, профилактика. / Под ред. Дедова И.И., Шестковой М.В. — М.; 2011. [Dedov II, Shestakova MV, Andreeva EN, et al. Dedov II, Shestakova MV, editors. Sakharnyy diabet: diagnostika, lechenie, profilaktika. Moscow; 2011. (In Russ.)]

2. Галстян Г.Р. Диабетическая нейропатия: особенности клинического течения, современные возможности терапии // Эффективная фармакотерапия. — 2009. — №6. — С. 20-27. [Galstyan GR. Diabeticheskaya neyropatiya: osobennosti klinicheskogo techeniya, sovremennye vozmozhnosti terapii. Effektivnaya farmakoterapiya. 2009;(6):20-27. (In Russ.)]

3. Онучина Е.Л., Соловьев О.В., Чапурных А.В., и др. Нарушения ритма сердца у пациентов с сахарным диабетом 2 типа // Сахарный диабет. — 2008. — Т. 11.— №1. — С. 25-27. [Onuchina LL, Solov’ev OV, Chapurnykh AV, et al. Narusheniya ritma serdtsa u patsientov s sakharnym diabetom 2 tipa. Diabetes Mellitus. 2008;11(1):25-27. (In Russ.)] doi: https://doi.org/10.14341/2072-0351-5940

4. Мухарямова Р.Р., Маянская С.Д., Валеева Ф.В., и др. Диагностика нарушений вариабельности сердечного ритма у пациентов, страдающих сахарным диабетом 1-го типа // Практическая медицина. — 2014. — №4-1. — С. 83-87. [Mukharyamova RR, Mayanskaya SD, Valeyeva FV, et al. Diagnosing of heart rate variability disorders in patients with diabetes mellitus of type 1. Prakticheskaya meditsina. 2014;(4-1):83-87. (In Russ.)]

5. Болеева Г.С., Мочалов С.В., Тарасова О.С. Функциональные изменения артериальных сосудов при экспериментальном сахарном диабете 1 типа // Успехи физиологических наук. — 2014. — Т. 45. — №2. — С. 20-36. [Boleeva GS, Mochalov SM, Tarasova OS. Functional Alterations of Arterial Vessels in Experimental Models of Type l Diabetes Mellitus. Usp Fiziol Nauk. 2014;45(5):20-36. (In Russ.)]

6. Schmidt RE, Dorsey DA, Beaudet LN, et al. Experimental rat models of types 1 and 2 diabetes differ in sympathetic neuroaxonal dystrophy. J Neuropathol Exp Neurol. 2004;63(5):450-460. doi: https://doi.org/10.1093/jnen/63.5.450

7. Головин Н.Л., Гущин А.Г. Психофизиологический статус юношей и девушек с разным вегетативным тонусом // Ярославский педагогический вестник. — 2010. — Т. 3. — №3. — С. 85-88. [Golovin NL, Gushchin AG. The Psychophysiological Status of Young Men and Girls with a Different Vegetative Tonus. Yaroslavskiy pedagogicheskiy vestnik. 2010;3(3):85-88. (In Russ.)]

8. Ilyakhinskiy AV, Pakhomov PA, Anufriev MA, et al. Informational and Statistical Analysis of Heart Rate Variability in the Assessment of the Human Vegetative Nervous System Functional State. Sovremennye tehnologii v medicine. 2015;7(3):67-72. doi: https://doi.org/10.17691/stm2015.7.3.09

9. Баевский Р.М., Иванов Г.Г., Гаврилушкин А.П., и др. Анализ вариабельности сердечного ритма при использовании различных электрокардиографических систем (часть 1) // Вестник аритмологии. — 2002. — №24. — С. 65-86. [Baevsky RM, Ivanov GG, Chireikin LV et al. Analysis of the heart rate variability using various electrocardiographic systems. Journal of arrhythmology. 2002;(24):65-86. (In Russ.)]

10. Гаврилова Е.А. Использование вариабельности ритма сердца в оценке успешности спортивной деятельности // Практическая медицина. — 2015. — №3-1 — С. 52-58. [Gavrilova EA. Ispol’zovanie variabel’nosti ritma serdtsa v otsenke uspeshnosti sportivnoy deyatel’nosti. Prakticheskaya meditsina. 2015;(3-1):52-57. (In Russ.)]

11. McEwen TA, Sima AA. Autonomic neuropathy in BB rat. Assessment by improved method for measuring heart-rate variability. Diabetes. 1987;36(3):251-255. doi: https://doi.org/10.2337/diab.36.3.251

12. Zhang WX, Chakrabarti S, Greene DA, Sima AA. Diabetic autonomic neuropathy in BB rats and effect of ARI treatment on heart-rate variability and vagus nerve structure. Diabetes. 1990;39(5):613-618. doi: https://doi.org/10.2337/diab.39.5.613

13. Fazan R, Ballejo G, Salgado MCO, et al. Heart Rate Variability and Baroreceptor Function in Chronic Diabetic Rats. Hypertension. 1997;30(3):632-635. doi: https://doi.org/10.1161/01.hyp.30.3.632

14. Sanyal SN, Wada T, Yamabe M, et al. Synaptic degradation of cardiac autonomic nerves in streptozotocin-induced diabetic rats. Pathophysiology. 2012;19(4):299-307. doi: https://doi.org/10.1016/j.pathophys.2012.08.002

15. Li X, Jiang YH, Jiang P, et al. Analysis of Heart Rate Variability and Cardiac Autonomic Nerve Remodeling in Streptozotocin-induced Diabetic Rats. Exp Clin Endocrinol Diabetes. 2015;123(5):272-281. doi: https://doi.org/10.1055/s-0035-1547258

16. Xuan YL, Wang Y, Xue M, et al. In rats the duration of diabetes influences its impact on cardiac autonomic innervations and electrophysiology. Auton Neurosci. 2015;189:31-36. doi: https://doi.org/10.1016/j.autneu.2015.01.003

17. Nath Sanyal S, Arita M, Ono K. Inhomogeneous Derangement of Cardiac Autonomic Nerve Control in Diabetic Rats. Circ J. 2002;66(3):283-283. doi: https://doi.org/10.1253/circj.66.283


Об авторах

Мария Павловна Морозова

Московский государственный университет имени М.В. Ломоносова


Россия

к.б.н., ассистент кафедры физиологии и общей патологии



Светлана Анатольевна Гаврилова

Московский государственный университет имени М.В. Ломоносова


Россия

к.б.н., доцент кафедры физиологии и общей патологии



Евгений Викторович Иванов

Московский государственный университет имени М.В. Ломоносова


Россия

аспирант кафедры физиологии и общей патологии



Алексей Константинович Ердяков

Московский государственный университет имени М.В. Ломоносова


Россия

кандидат биологических наук, старший научный сотрудник



Екатерина Михайловна Ржавина

Московский государственный университет имени М.В. Ломоносова


Россия

аспирант кафедры физиологии и общей патологии



Владимир Борисович Кошелев

Московский государственный университет имени М.В. Ломоносова


Россия

доктор биологических наук, профессор, зав. кафедрой физиологии и общей патологии



Гагик Радикович Галстян

Национальный медицинский исследовательский центр эндокринологии


Россия

д.м.н., профессор



Дополнительные файлы

1. Рис. 1. Динамика температурной чувствительности (время одергивания хвоста) у крыс со стрептозотоцин-индуцированным сахарным диабетом. * – p<0,05, ** – p<0,01 – статистически значимые различия между группами НВ-ЦБ и НВ-СД; # – p<0,05 статистически значимые различия между группами ВВ-ЦБ и ВВ-СД.
Тема
Тип Исследовательские инструменты
Посмотреть (142KB)    
Метаданные ▾
2. Рис. 2. Динамика ЧСС у крыс после моделирования стрептозотоцинового диабета. @ – р<0,00001 – статистически значимые отличия от 0-х суток своей группы; $ – р<0,05 – статистически значимые отличия между группами НВ-СД и ВВ-СД.
Тема
Тип Исследовательские инструменты
Посмотреть (254KB)    
Метаданные ▾
3. Рис. 3. Динамика реакции частоты сердечных сокращений у крыс сразу после проведения холодовой пробы. ** – р<0,001; *** – р<0,0001; **** – р<0,00001 – статистически значимые отличия от уровня покоя; @ – р<0,05 – статистически значимые отличия внутри высоковариабельной группы на 70-е сутки от 0-х и 21-х суток опыта.
Тема
Тип Исследовательские инструменты
Посмотреть (187KB)    
Метаданные ▾
4. Рис. 4. Изменение общей вариабельности ритма сердца, SDRR, в ответ на холодовую пробу у крыс на фоне развития сахарного диабета: * – р<0,05; ** – р<0,001; **** – р<0,00001 – статистически значимые отличия от уровня покоя; $ – р<0,05, $$$ – р<0,001 – статистически значимые отличия между НВ- и ВВ-крысами внутри одной временной точки; @ – р<0,05; @@ – р<0,01; @@@ – р<0,001– статистически значимые отличия внутри группы высоковариабельных крыс на разных сроках сахарного диабета.
Тема
Тип Исследовательские инструменты
Посмотреть (156KB)    
Метаданные ▾
5. Рис. 5. Динамика ответа показателя pNN3 на холодовую пробу у крыс с изначально разной вариабельностью ритма сердца на фоне развития сахарного диабета: * – р<0,05; ** – р<0,001; **** – р<0,00001 – статистически значимые отличия амплитуды ответа от уровня покоя; @ – р<0,05 - статистически значимые отличия внутри группы высоковариабельных крыс на разных сроках СД. Пунктирная линия показывает точки сравнения внутри одной группы (ВВ) на разных сроках развития сахарного диабета
Тема
Тип Исследовательские инструменты
Посмотреть (179KB)    
Метаданные ▾
6. Рис. 6. Динамика ответа показателя SDARR на холодовую пробу у крыс с изначально разной вариабельностью ритма сердца на фоне развития сахарного диабета: * – р<0,05; ** – р<0,001; **** – р<0,00001 – статистически значимые отличия от уровня покоя; $ – р<0,05 – статистически значимые отличия между низковариабельными и высоковариабельными крысами внутри одной временной точки; @ – р<0,05 – статистически значимые отличия внутри группы высоковариабельных крыс на разных сроках сахарного диабета
Тема
Тип Исследовательские инструменты
Посмотреть (166KB)    
Метаданные ▾

Рецензия

Для цитирования:


Морозова М.П., Гаврилова С.А., Иванов Е.В., Ердяков А.К., Ржавина Е.М., Кошелев В.Б., Галстян Г.Р. Связь вариабельности ритма сердца, динамики нейропатии вегетативного отдела нервной системы и изменений температурной чувствительности у крыс со стрептозотоциновым сахарным диабетом. Сахарный диабет. 2019;22(3):233-243. https://doi.org/10.14341/DM10069

For citation:


Morozova M.P., Gavrilova S.A., Ivanov E.V., Erdiakov A.K., Rzhavina E.M., Koshelev V.B., Galstyan G.R. The initial level of heart rate variability determines the dynamics of the neuropathy of the autonomic nervous system and temperature sensitivity in rats with streptozotocin diabetes. Diabetes mellitus. 2019;22(3):233-243. (In Russ.) https://doi.org/10.14341/DM10069

Просмотров: 1482


ISSN 2072-0351 (Print)
ISSN 2072-0378 (Online)